Toán lớp 5 VNEN bài 6: Hỗn số (tiếp theo)
Nằm trong bộ tài liệu Giải SGK Toán lớp 5 VNEN theo từng bài học, Giải Toán lớp 5 VNEN bài Hỗn số (tiếp theo) - Sách VNEN toán 5 tập 1 bao gồm chi tiết lời giải cho từng bài tập giúp các em học sinh củng cố, rèn kỹ năng giải Toán về phân số. Mời các em học sinh tham khảo lời giải hay về Toán lớp 5 VNEN Hỗn số sau đây:
Toán lớp 5 VNEN Hỗn số trang 18, 19, 20 (tiếp theo)
A. Hoạt động cơ bản Hỗn số Toán lớp 5
1. Chơi trò chơi “ghép thẻ”
Trả lời:
a) Ghép thẻ hình vẽ và thẻ hỗn số tương ứng.

b) Cách em ghép thẻ:
Để tìm hỗn số tương ứng với mỗi hình ta quan sát hình vẽ, số hình tròn được tô màu toàn bộ chính là phần nguyên của hỗn số, phần phân số của hỗn số có tử số là số phần được tô màu và mẫu số là tổng số phần bằng nhau của một hình tròn.
2. Thực hiện lần lượt các hoạt động
Quan sát hình vẽ: (sgk)
Trả lời:
a. Hỗn số chỉ phần đã tô màu của hình vẽ là:
\(2\frac{3}{4}\)
Tính: ![]()
b. Em đọc kĩ nội dung và giải thích cho bạn nghe.
3. Chuyển các hỗn số sau thành phân số và giải thích cho bạn nghe cách làm của em

Cách làm: Ta tính phân số bằng cách: Tử số bằng phần nguyên nhân với mẫu số rồi cộng với tử số phần phân số. Mẫu số bằng mẫu số ở phần phân số.
B. Hoạt động thực hành Hỗn số Toán lớp 5
Câu 1 Trang 18 VNEN toán 5 tập 1
Chuyển các hỗn số sau thành phân số:

Phương pháp giải:
Có thể viết hỗn số thành một phân số có :
• Tử số bằng phần nguyên nhân với mẫu số rồi cộng với tử số ở phần phân số.
• Mẫu số bằng mẫu số ở phần phân số.
Đáp án

Câu 2: Trang 19 VNEN toán 5 tập 1
Chuyển các hỗn số sau thành phân số thập phân:
![]()
Phương pháp giải:
Có thể viết hỗn số thành một phân số có :
• Tử số bằng phần nguyên nhân với mẫu số rồi cộng với tử số ở phần phân số.
• Mẫu số bằng mẫu số ở phần phân số.
Lưu ý : Phân số thập phân là phân số có mẫu số là 10;100;1000;...
Đáp án

Câu 3: Trang 19 VNEN toán 5 tập 1
Chuyển các hỗn số sau thành phân số rồi thực hiện phép tình (theo mẫu):

Đáp án

Câu 4: Trang 19 VNEN toán 5 tập 1
So sánh các hỗn số:
![]()
Đáp án

Câu 5: Trang 19 VNEN toán 5 tập 1
Đúng ghi Đ, sai ghi S:

Phương pháp giải:
- Chuyển hỗn số thành phân số sau đó xác định tính đúng – sai của mỗi khẳng định.
Đáp án

C. Hoạt động ứng dụng Hỗn số lớp 5
Câu 1: Trang 19 VNEN toán 5 tập 1
Viết các hỗn số và phân số tương ứng trong các tình huống sau:
a. Có 2 quả dưa và một nửa quả dưa
b. Có 3 chai sữa và 1/4 chai sữa
c. Có 1 cái bánh và 2/5 cái bánh
Đáp án

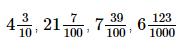
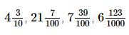
Câu 2: Trang 20 VNEN toán 5 tập 1
Em đọc mỗi hỗn số trên cho người lớn nghe và chỉ ra phần nguyên, phần phân số trong mỗi hỗn số đó
Đáp án
|
Hỗn số |
Đọc |
Phần nguyên |
Phần phân số |
|
Hai và một phần hai |
2 |
1/2 |
|
|
Ba và một phần tư |
3 |
1/4 |
|
| Một và hai phần năm |
1 |
2/5 |
Giải Toán lớp 5 VNEN: Hỗn số (tiếp theo) có phương pháp giải cho từng bài 1, 2, 3, 4, 5. Sau khi làm xong, các em nhớ xem lại để củng cố kiến thức và nắm được các dạng bài liên quan tới hỗn số. Thông qua tài liệu này, các em sẽ nhanh chóng nắm bắt được cách làm, củng cố kiến thức.
- Toán lớp 5 trang 12, 13, 14: Hỗn số
- Toán lớp 5 trang 13, 14 Hỗn số (tiếp theo)
- Vở bài tập Toán lớp 5 bài 9: Hỗn số
- Bài tập Toán lớp 5: Hỗn số
- Bài tập nâng cao Toán lớp 5: Hỗn số
Ngoài giải bài tập Toán 5 VNEN, VnDoc còn giúp các bạn giải toán lớp 5 sách giáo khoa. Mời các bạn xem thêm bài: Giải bài tập 1, 2, 3 trang 12, 13, 14 SGK Toán 5: Hỗn số.
>> Bài tiếp theo: Giải Toán lớp 5 VNEN bài 7: Em ôn lại những gì đã học