Giải Toán lớp 5 VNEN bài 98: Ôn tập về phân số
Giải Toán lớp 5 VNEN bài 98: Ôn tập về phân số là lời giải Sách VNEN toán 5 tập 2 trang 97, 98, 99 bao gồm chi tiết lời giải cho từng bài tập giúp các em học sinh củng cố, rèn kỹ năng giải Toán Chương 4 lớp 5. Mời các em học sinh tham khảo lời giải hay sau đây.
Bài 98: Ôn tập về phân số
- A. Hoạt động thực hành bài 98 Toán VNEN lớp 5
- Câu 1: Trang 97 toán VNEN lớp 5 tập 2
- Câu 2: Trang 98 toán VNEN lớp 5 tập 2
- Câu 3: Trang 98 toán VNEN lớp 5 tập 2
- Câu 4: Trang 98 toán VNEN lớp 5 tập 2
- Câu 5: Trang 99 toán VNEN lớp 5 tập 2
- Câu 6: Trang 99 toán VNEN lớp 5 tập 2
- Câu 7: Trang 99 toán VNEN lớp 5 tập 2
- Câu 8: Trang 99 toán VNEN lớp 5 tập 2
- Câu 9: Trang 99 toán VNEN lớp 5 tập 2
- B. Hoạt động ứng dụng bài 98 Toán VNEN lớp 5
- C. Bài ôn tập về phân số lớp 5
- D. Trắc nghiệm Ôn tập về phân số lớp 5
A. Hoạt động thực hành bài 98 Toán VNEN lớp 5
Câu 1: Trang 97 toán VNEN lớp 5 tập 2
Chơi trò chơi "đố bạn"
a. Mỗi bạn viết một phân số rồi đọc phân số vừa viết
b. Ghi lại các phân số nhóm em vừa viết.
c. Trong các phân số đó, phân số nào lớn nhất, phân số nào bé nhất.
Ví dụ mẫu:
a)
|
Phân số |
Đọc |
|
|
Ba lăm phần bốn mươi |
|
|
Tám phần hai tám |
|
|
mười lăm phần mười sáu |
|
|
hai phần chín |
|
|
năm phần ba |
|
|
tám phần tư |
c. Trong các phân số trên:
· Phân số nhỏ nhất là:
\(\frac{2}{9}\)
· Phân số lớn nhất là:
\(\frac{8}{4}\)
Câu 2: Trang 98 toán VNEN lớp 5 tập 2
a. Viết phân số chỉ phần đã tô màu của mỗi hình dưới đây:

Hướng dẫn giải:
Quan sát hình vẽ để viết phân số hoặc hỗn số tương ứng của mỗi hình.
Đáp án
a. Phân số chỉ phần đã tô của các hình là:
Hình 1:
\(\frac{3}{4}\)
Hình 2:
\(\frac{2}{5}\)
Hình 3:
\(\frac{5}{8}\)
Hình 4:
\(\frac{3}{8}\)
b. Hỗn số chỉ phần đã tô màu của mỗi hình là:
Hình 1:
\(1\frac{1}{4}\)
Hình 2:
\(2\frac{3}{4}\)
Hình 3:
\(3\frac{2}{3}\)
Hình 4:
\(4\frac{1}{2}\)
Câu 3: Trang 98 toán VNEN lớp 5 tập 2
Chơi trò chơi "ghép đôi" - Tìm các phân số bằng nhau trong các phân số":
a) Mỗi nhóm có một tấm bìa ghi phân số, mỗi bạn lấy một tấm bìa, hai bạn có tấm bìa ghi hai phân số bằng nhau ghép thành một cặp

b) Ghi các cặp phân số bằng nhau vào vở.
Hướng dẫn giải
Áp dụng tính chất cơ bản của phân số :
- Nếu nhân cả tử số và mẫu số của một phân số với cùng một số tự nhiên khác 0 thì được một phân số bằng phân số đã cho.
- Nếu chia hết cả tử và mẫu số của một phân số cho cùng một số tự nhiên khác 0 thì được một phân số bằng phân số đã cho.
Đáp án
Ta có:
\(\dfrac{4}{7} = \dfrac{{4 \times 5}}{{7 \times 5}} = \dfrac{{20}}{{35}}\);
\(\dfrac{2}{5} = \dfrac{{2 \times 7}}{{5 \times 7}} = \dfrac{{14}}{{35}}\) ;
\(\dfrac{3}{8} = \dfrac{{3 \times 6}}{{8 \times 6}} = \dfrac{{18}}{{48}}\).
Vậy các cặp phân số bằng nhau trong các phân số trên là:
\(\dfrac{4}{7}\) và
\(\dfrac{{20}}{{35}}\) ;
\(\dfrac{2}{5}\) và
\(\dfrac{{14}}{{35}}\);
\(\dfrac{3}{8}\)và
\(\dfrac{{18}}{{48}}\).
Câu 4: Trang 98 toán VNEN lớp 5 tập 2
Viết phân số thích hợp tương ứng với vạch chỉ trung điểm của đoạn thẳng AB trên tia số:

Hướng dẫn giải:
Ta thấy: từ vạch 0 đến vạch 1 được chia thành 10 phần bằng nhau. Quy đồng hai phân số
\(\frac{1}{5}\) và
\(\frac{2}{5}\) với mẫu số chung là 10 rồi tìm phân số ở giữa hai phân số đó.
Đáp án

Vì: Ta có trung điểm của đoạn AB chính là trung bình cộng của hai phân số trên :
![]()
Hoặc giải thích như sau
Ta thấy: từ vạch 0 đến vạch 1 được chia thành 10 bằng nhau. Quy đồng hai phân số
\(\dfrac {1}{5}\) và
\(\dfrac {2}{5}\)với mẫu số chung là 10 ta có:
\(\dfrac {1}{5} = \dfrac{1 \times 2}{5\times 2 }= \dfrac {2}{1}\) ;
\(\dfrac {2}{5} = \dfrac{2 \times 2}{5\times 2 }= \dfrac {4}{10}\).
Mà:
\(\dfrac {2}{10} < \dfrac{3}{10}< \dfrac {4}{10}\)
Do đó vạch ở giữa
\(\dfrac {1}{5}\) và
\(\dfrac {2}{5}\) ứng với phân số
\(\dfrac {3}{10}\).
Câu 5: Trang 99 toán VNEN lớp 5 tập 2
Khoanh tròn vào chữ đặt trước câu trả lời đúng:
a. Phân số chỉ phần đã tô màu của băng giấy sau là:

A.
\(\frac{4}{3}\)
B.
\(\frac{4}{7}\)
C.
\(\frac{3}{4}\)
D.
\(\frac{3}{7}\)
b. Có 24 viên bi, trong đó có 5 viên bi xanh, 9 viên bi đỏ, 6 viên bi vàng và 4 viên bi nâu. Như vậy
\(\frac{1}{4}\) số viên bi có màu:
A. Xanh
B. Đỏ
C. Vàng
D. Nâu
Hướng dẫn giải:
a) Phân số chỉ phần tô màu có tử số là số ô được tô màu và mẫu số là tổng số ô của băng giấy đó.
b) Tìm
\(\frac{1}{4}\) số viên bi ta lấy 24 chia cho 4, từ đó biết được
\(\frac{1}{4}\) số viên bi có màu gì.
Đáp án
a. Ta thấy phần tô màu chiếm 4 ô trong tất cả 7 ô
Vậy đáp án đúng là: B.
b. Đáp án đúng là: C. Vàng
Câu 6: Trang 99 toán VNEN lớp 5 tập 2
Rút gọn các phân số:
\(\dfrac{5}{{10}}\,\,; \dfrac{3}{{15}}\,\,; \dfrac{{40}}{{70}}\,\,; \dfrac{{24}}{{36}}\,\,; \dfrac{{70}}{{42}}.\)
Hướng dẫn giải:
Khi rút gọn phân số có thể làm như sau :
- Xét xem tử số và mẫu số cùng chia hết cho số tự nhiên nào lớn hơn 1
- Chia tử số và mẫu số cho số đó.
Cứ làm như thế cho đến khi nhận được phân số tối giản.
Đáp án
\(\dfrac{5}{{10}} = \dfrac{{5:5}}{{10:5}} = \dfrac{1}{2}\,\,\);
\(\dfrac{3}{{15}} = \dfrac{{3:3}}{{15:3}} = \dfrac{1}{5}\,\);
\(\dfrac{{40}}{{70}} = \dfrac{{40:10}}{{70:10}} = \dfrac{4}{7}\,\);
\(\dfrac{{24}}{{36}} = \dfrac{{24:12}}{{36:12}} = \dfrac{2}{3}\,\);
\(\dfrac{{70}}{{42}} = \dfrac{{70:14}}{{42:14}} = \dfrac{5}{3}.\)
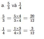
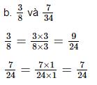
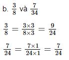
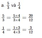
Câu 7: Trang 99 toán VNEN lớp 5 tập 2
Quy đồng mẫu số các phân số:
a)
\(\dfrac{5}{3} và \dfrac{1}{4};\)
b)
\(\dfrac{3}{8} và \dfrac{7}{{24}};\)
c)
\(\dfrac{1}{2}\,;\,\,\dfrac{2}{3} và \dfrac{3}{5}.\)
Hướng dẫn giải:
Khi quy đồng mẫu số hai phân số có thể làm như sau:
- Lấy tử số và mẫu số của phân số thứ nhất nhân với mẫu số của phân số thứ hai.
- Lấy tử số và mẫu số của phân số thứ hai nhân với mẫu số của phân số thứ nhất.
Đáp án



Câu 8: Trang 99 toán VNEN lớp 5 tập 2
Điền dấu < => thích hợp vào chỗ chấm:
a)
\(\dfrac{{11}}{8}\,\,...\,\,\dfrac{{11}}{9}\);
b)
\(\dfrac{4}{9}\,\,...\,\,\dfrac{3}{5}\);
c)
\(\dfrac{6}{5}\,\,...\,\,\dfrac{5}{6}\).
Hướng dẫn giải:
- Trong hai phân số có cùng tử số, phân số nào có mẫu số lớn hơn thì phân số đó bé hơn và ngược lại.
- So sánh hai phân số không cùng mẫu số, ta có thể quy đồng mẫu số rồi so sánh hai phân số sau khi quy đồng.
- So sánh phân số với 1: phân số có tử số lớn hơn mẫu số thì phân số đó lớn hơn 1; phân số có tử số bé hơn mẫu số thì phân số đó bé hơn 1.
Đáp án
![]()
Vì: phân số có cùng tử số phân số nào có mẫu số bé hơn thì phân số đó lớn hơn

![]()
Vì hai phân số nghịch đảo bằng nhau
Câu 9: Trang 99 toán VNEN lớp 5 tập 2
a. Viết các phân số:
\(\dfrac{7}{{10}};\dfrac{{27}}{{40}};\dfrac{4}{5}\)theo thứ tự từ bé đến lớn
b. Viết các phân số:
\(\dfrac{9}{{10}};\dfrac{9}{{11}};\dfrac{{10}}{9}\) theo thứ tự từ lớn đến bé
Hướng dẫn giải:
Áp dụng các quy tắc phân số đã học để so sánh các phân số đã cho, sau đó sắp xếp các phân số theo thứ tự từ bé đến lớn hoặc theo thứ tự từ lớn đến bé.
Đáp án
a) Ta có :
\(\dfrac{7}{{10}} = \dfrac{{7 \times 4}}{{10 \times 4}} = \dfrac{{28}}{{40}}\,\,;\)
\(\dfrac{4}{5} = \dfrac{{4 \times 8}}{{5 \times 8}} = \dfrac{{32}}{{40}}\,\,;\)
Giữ nguyên phân số
\(\dfrac{{27}}{{40}}.\)
Vì
\(\dfrac{{27}}{{40}} < \dfrac{{28}}{{40}} < \dfrac{{32}}{{40}}\) nên
\(\dfrac{{27}}{{40}} < \dfrac{7}{{10}} < \dfrac{4}{5}\).
Vậy các phân số đã cho được viết theo thứ tự từ bé đến lớn là :
\(\dfrac{{27}}{{40}}\,\, ; \dfrac{7}{{10}}\,\,\,; \dfrac{4}{5}\).
b) Ta có :
\(\dfrac{9}{{10}} < 1\,\,;\,\,\,\dfrac{9}{{11}} < 1\,\,\,;\,\,\,\,\dfrac{{10}}{9} > 1\).
So sánh hai phân số
\(\dfrac{9}{{10}}\) và
\(\dfrac{9}{{11}}\) ta được
\(\dfrac{9}{{10}} > \,\,\dfrac{9}{{11}}\)(Vì hai phân số cùng có tử số là 9 và 10 < 11).
Do đó ta có :
\(\dfrac{{10}}{9} > \dfrac{9}{{10}} > \,\,\dfrac{9}{{11}}\).
Vậy các phân số đã cho được viết theo thứ tự từ lớn đến bé là :
\(\dfrac{{10}}{9}\,\,; \dfrac{9}{{10}}\,\,; \,\dfrac{9}{{11}}\).
B. Hoạt động ứng dụng bài 98 Toán VNEN lớp 5
Câu 1: Trang 99 toán VNEN lớp 5 tập 2
Có thể dùng phân số để chỉ số bạn nữ (nam) trong lớp em, chẳng hạn:
\(\dfrac{1}{2}\)số bạn lớp em là nữ (nam) hay
\(\dfrac{1}{3}\)số bạn lớp em biết bơi, … Em hãy tìm ví dụ trong thực tế tương tự trên để có thể viết được một phân số.
Ví dụ:
•
\(\dfrac{2}{3}\) số bạn nam lớp em thích môn bóng đá ;
•
\(\dfrac{3}{4}\)số gạo mẹ em mua là gạo tẻ ;
•
\(\dfrac{1}{2}\) số truyện tranh bạn An có là truyện Thần đồng đất Việt ; ….
Câu 2: Trang 99 toán VNEN lớp 5 tập 2
Em viết 5 phân số. Sau đó, em viết 5 phân số đó theo thứ tự từ lớn đến bé hoặc từ bé đến lớn.
Năm phân số đó là:
\(\frac{1}{2} ; \frac{1}{3} ; \frac{1}{4} ; \frac{1}{6} ; \frac{1}{12}\)
Ta có:
\(\frac{1}{2}=\frac{1 \times 6}{2 \times 6}=\frac{6}{12}\)
\(\frac{1}{3}=\frac{1 \times 4}{3 \times 4}=\frac{4}{12}\)
\(\frac{1}{4}=\frac{1 \times 3}{4 \times 3}=\frac{3}{12}\)
\(\frac{1}{6}=\frac{1 \times 2}{6 \times 2}=\frac{2}{12}\)
=> Thứ tự các phân số từ bé đến lớn là:
\(\frac{1}{12} ; \frac{1}{6} ; \frac{1}{4} ; \frac{1}{3} ; \frac{1}{2}\)
>> Bài tiếp theo: Giải Toán lớp 5 VNEN bài 99: Ôn tập về số thập phân
C. Bài ôn tập về phân số lớp 5
- Bài tập Ôn tập về phân số lớp 5
- Toán lớp 5 trang 148, 149: Ôn tập về phân số
- Toán lớp 5 trang 149, 150: Ôn tập về phân số (tiếp theo)
- Giải vở bài tập Toán 5 bài 140: Ôn tập về phân số
D. Trắc nghiệm Ôn tập về phân số lớp 5
Ngoài các dạng bài tập SGK Toán lớp 5, giải Vở bài tập Toán lớp 5. Các em học sinh có thể tham khảo thêm: Bài tập Toán lớp 5; Trắc nghiệm Toán lớp 5.