Toán lớp 5 VNEN bài 60: Em ôn lại những gì đã học
Giải Toán lớp 5 VNEN bài 60: Em ôn lại những gì đã học - Sách VNEN toán 5 tập 2 trang 9 bao gồm chi tiết lời giải cho từng bài tập giúp các em học sinh củng cố, rèn kỹ năng giải Toán Chương 3 lớp 5. Mời các em học sinh tham khảo lời giải hay sau đây.
Toán 5 VNEN Bài 60: Em ôn lại những gì đã học
A. Hoạt động thực hành bài 60 Toán VNEN lớp 5
Câu 1 trang 9 sách VNEN toán 5
Chơi trò chơi "Đố bạn":
a. Em viết công thức tính diện tích hình tam giác, diện tích hình thang và nói cho bạn nghe cách tính
b. Em lấy ví dụ rồi đố các bạn thực hiện tính, chẳng hạn:
· Tính diện tích hình tam giác có độ dài đáy 5 cm, chiều cao 7cm
· Tính diện tích hình thang có độ dài hai đáy lần lượt là 8cm và 7cm, chiều cao 4cm
Đáp án
Chơi trò chơi "Đố bạn":
a. Viết công thức tính diện tích hình tam giác, diện tích hình thang và nói cho bạn nghe cách tính
Công thức tính diện tích tam giác:
· Muốn tính diện tích hình tam giác ta lấy độ dài đáy nhân với chiều cao (cùng đơn vị đo) rồi chia cho 2.
S =
\(\frac{a \times h}{2}\)
Công thức tính diện tích hình thang:
· Diện tích hình thang bằng tổng độ dài hai đáy nhân với chiều cao (cùng một đơn vị đo) rồi chia cho 2
S =
\(\frac{(a + b) \times h}{2}\)
b. Thực hiện ví dụ:
· Diện tích hình tam giác là:
S=
\(\frac{5 \times 7}{2}\)= 17,5 cm2
· Diện tích hình thang là:
S =
\(\frac{(7+8) × 4}{2}\) =30 (cm2)
Câu 2 trang 10 sách VNEN toán 5
Tính diện tích hình tam giác vuông có độ dài cạnh góc vuông là:
a. 5cm và 6cm
b. 3,2m và 2,5m
c. 5/6m và 3/8 m
Đáp án
a. 5cm và 6cm
- Diện tích hình tam giác là:
S =
\(\frac{a \times h}{2}\) =
\(\frac{5 \times 6}{2}\) = 15 (cm2)
b. 3,2m và 2,5m
- Diện tích hình tam giác là:
S =
\(\frac{a \times h}{2}\) =
\(\frac{3,2 \times 2,5}{2}\) = 4 (m2)
c.
\(\frac{5}{6}\)m và
\(\frac{3}{8}\)m
- Diện tích hình tam giác là:
S =
\(\frac{a \times h}{2}\) =
\(\frac{\frac{5}{6} \times \frac{3}{8} }{2}\) =
\(\frac{30}{48}\) (m2)
Câu 3 trang 10 sách VNEN toán 5
Diện tích hình thang ABED lớn hơn diện tích của hình tam giác BEC bao nhiêu đề -xi-mét vuông?

Đáp án
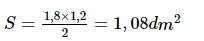
Diện tích của hình thang ABED là:
![]()
Diện tích của hình tam giác BEC là:
![]()
Vậy diện tích hình thang ABED lớn hơn diện tích của hình tam giác BEC số dm là:
2,34 - 1,08 = 1,26 (dm2)
Đáp số: 1,26 dm2
Câu 4 trang 10 sách VNEN toán 5
Giải bài toán sau: Trên một mảnh vườn hình thang (như hình vẽ), người ta sử dụng 30% diện tích để trồng rau cải và 25% diện tích để trồng su hào.

Hỏi:
a. Diện tích trồng rau cải là bao nhiêu mét vuông
b. Diện tích trồng su hào là bao nhiêu mét vuông
Đáp án
Diện tích của mảnh vườn hình thang là:

Vậy, diện tích trồng rau cải là:
(1650 : 100) x 30 = 495 (m2)
Diện tích trồng su hào là:
(1650 : 100) x 25= 412,5 (m2)
Đáp số: Rau cải 495 m2
Su hào 412,5 m2
C. Hoạt động ứng dụng bài 60 Toán VNEN lớp 5
Trả lời câu hỏi và viết vào vở:
Tâm làm chiếc thuyền bằng giấy màu như hình vẽ:

Em hãy giúp Tâm tính diện tích mẩu giấy màu để làm chiếc thuyền đó
Đáp án

Diện tích hình tam giác là:
S=(4 × 3) : 2 = 6cm2
Diện tích hình thang là:
S=(6 + 4) × 2 : 2 = 10cm2
Vậy, diện tích mẩu giấy màu để làm chiếc thuyền đó là:
6 + 10 = 16 (cm2)
Đáp số: 16 cm2
Trên đây là Giải Toán 5 VNEN bài 60 Em ôn lại những gì đã học trang 9, 10. VnDoc.com hy vọng rằng tài liệu Giải Toán lớp 5 chương trình VNEN theo từng bài học trên đây sẽ giúp các em học sinh lớp 5 nắm được trọng tâm kiến thức về Tam giác và Hình thang cũng như cách tính Diện tích hai hình trên hiệu quả.
>> Bài tiếp theo: Giải Toán lớp 5 VNEN bài 61: Hình tròn, đường tròn