Toán lớp 5 VNEN bài 18: Em ôn lại những gì đã học
Nằm trong bộ tài liệu Giải SGK Toán lớp 5 VNEN năm 2023 - 2024, Giải Toán 5 VNEN bài 18: Em ôn lại những gì đã học - Sách VNEN toán 5 tập 1 bao gồm chi tiết lời giải cho từng bài tập Hoạt động thực hành & Hoạt động ứng dụng trang 47 SGK Toán 5 VNEN giúp các em học sinh lớp 5 củng cố, rèn kỹ năng giải Toán Chương 1 lớp 5 hiệu quả. Mời các em học sinh tham khảo lời giải hay sau đây.
Giải Toán lớp 5 VNEN bài 18 Em ôn lại những gì đã học trang 47
A. Hoạt động thực hành bài 18 Toán lớp 5 VNEN lớp 5
Câu 1: Trang 47 VNEN toán 5 tập 1
Trả lời câu hỏi và giải thích cho bạn nghe cách làm:
a. 1 gấp bao nhiêu lần
\(\frac{1}{10}\)?
b.
\(\frac{1}{10}\) gấp bao nhiêu lần
\(\frac{1}{100}\)?
c.
\(\frac{1}{100}\) gấp bao nhiêu lần
\(\frac{1}{1000}\)?
Phương pháp giải:
Muốn biết số thứ nhất gấp số thứ hai bao nhiêu lần ta lấy số thứ nhất chia cho số thứ hai.
Đáp án
a. 1 gấp 10 lần
\(\frac{1}{10}\)
b.
\(\frac{1}{10}\) gấp 10 lần
\(\frac{1}{100}\)
c.
\(\frac{1}{100}\) gấp 10 lần
\(\frac{1}{1000}\)
Cách làm:

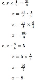
Câu 2: Trang 47 VNEN toán 5 tập 1
Tìm x:

Phương pháp giải:
Xác định vị trí và vai trò của x trong phép tính rồi áp dụng các quy tắc tìm thành phần trong phép cộng, trừ, nhân, chia đã học.
Đáp án


Câu 3: Trang 47 VNEN toán 5 tập 1
Một vòi nước chảy vào bể. Giờ thứ nhất chảy được
\(\frac{2}{5}\) bể, giờ thứ hai chảy được
\(\frac{1}{3}\) bể. Hỏi trung bình mỗi giờ vòi nước đó chảy được bao nhiêu phần bể nước.
Phương pháp giải:
- Tính tổng số phần bể nước mà vòi nước chảy vào bể trong hai giờ.
- Tìm trung bình mỗi giờ vòi nước đó chảy vào được bao nhiêu phần của bể ta lấy tổng số phần bể nước mà vòi nước chảy vào bể trong hai giờ chia cho 2.
Đáp án
Cả hai giờ, vòi nước chảy được số phần bể là:
![]()
Trung bình mỗi giờ chảy được số phần bể nước là:
![]()
Đáp án: 11/30 bể nước
Câu 4: Trang 47 VNEN toán 5 tập 1
Năm nay tuổi mẹ gấp 5 lần tuổi con. Tính tuổi của mỗi người, biết rằng mẹ hơn con 32 tuổi.
Đáp án
Hiệu số phần bằng nhau là:
5 - 1 = 4 (phần)
Tuổi con là: (32 : 4) x 1 = 8 (tuổi)
Tuổi mẹ là: 32 + 8 = 40 (tuổi)
Đáp số: con 8 tuổi
mẹ 40 tuổi
B. Hoạt động thực hành bài 18 Toán lớp 5 VNEN lớp 5
Mẹ mua 24kg bột mì, mẹ đã làm bánh hết 3/8 số bột mì đó. Hỏi:
a. Mẹ đã dùng hết bao nhiêu kg bột mì?
b. Mẹ còn lại bao nhiêu kg bột mì?
Phương pháp giải:
- Tìm số ki-lô-gam bột mì đã dùng = số ki-lô-gam bột mẹ đã mua ×
\(\frac{3}{8}\)
- Tìm số ki-lô-gam bột mì còn lại = số ki-lô-gam bột mẹ đã mua – số ki-lô-gam bột mì đã dùng.
Đáp án
a. Mẹ đã dùng hết số kg bột mì là:
(24 : 8) x 3 = 9 (kg)
b. Mẹ còn lại số kg bột mì là:
24 - 9 = 15 (kg)
Đáp số:
a. Mẹ đã dùng hết 9 kg bột mì
b. Mẹ còn lại 15 kg bột mì
Trên đây là Giải bài tập SGK Toán 5 VNEN bài 18 Em ôn lại những gì đã học. VnDoc.com hy vọng rằng tài liệu Giải SGK Toán lớp 5 chương trình VNEN trên đây sẽ giúp các em ôn tập kiến thức hiệu quả.
>>> Bài tiếp theo: Giải Toán lớp 5 VNEN bài 19: Khái niệm số thập phân