Giải Toán lớp 5 VNEN bài 104: Ôn tập về phép cộng, phép trừ
Giải Toán lớp 5 VNEN bài 104: Ôn tập về phép cộng, phép trừ là lời giải Sách VNEN toán 5 tập 2 trang 111, 112, 113, 114 bao gồm chi tiết lời giải cho từng bài tập giúp các em học sinh củng cố, rèn kỹ năng giải Toán Chương 5 lớp 5. Mời các em học sinh tham khảo lời giải hay sau đây.
Bài 104: Ôn tập về phép cộng, phép trừ
- A. Hoạt động thực hành bài 104 Toán VNEN lớp 5
- Câu 1 Trang 111 toán VNEN lớp 5 tập 2
- Câu 2: Trang 112 toán VNEN lớp 5 tập 2
- Câu 3: Trang 112 toán VNEN lớp 5 tập 2
- Câu 4: Trang 112 toán VNEN lớp 5 tập 2
- Câu 5: Trang 113 toán VNEN lớp 5 tập 2
- Câu 6: Trang 113 toán VNEN lớp 5 tập 2
- Câu 7: Trang 113 toán VNEN lớp 5 tập 1
- Câu 8: Trang 114 toán VNEN lớp 5 tập 2
- Câu 9: Trang 114 toán VNEN lớp 5 tập 2
- B. Hoạt động ứng dụng bài 104 Toán VNEN lớp 5
- C. Trắc nghiệm Ôn tập về phép cộng, phép trừ
A. Hoạt động thực hành bài 104 Toán VNEN lớp 5
Câu 1 Trang 111 toán VNEN lớp 5 tập 2
Chơi trò chơi “Hái hoa toán học” :
- Mỗi nhóm cử đại diện hái một bông hoa, trên đó có ghi phép tính cộng, trừ với các số tự nhiên, phân số hoặc số thập phân. Cùng nhau tính và giải thích cách thực hiện.

– Nhóm nào tính nhanh, đúng, giải thích mạch lạc sẽ thắng cuộc.
Hướng dẫn:
- Muốn cộng (hoặc trừ) các số tự nhiên ta đặt tính sao cho các chữ số ở cùng hàng thẳng cột với nhau, sau đó tính theo thứ tự từ phải sang trái.
- Muốn cộng hai phân số khác mẫu số ta quy đồng mẫu số hai phân số rồi cộng hai phân số sau khi quy đồng.
- Muốn cộng (hoặc trừ) các số thập phân ta đặt tính sao cho các chữ số ở cùng hàng thẳng cột với nhau, dấu phẩy thẳng nhau, sau đó tính theo thứ tự từ phải sang trái.
Đáp án
Ví dụ:
· 9972 + 6389 = 16361
· 6,376 - 3,459 = 2,917
· 12,8 + 9,234 = 22,034
\(\dfrac{3}{8} + \dfrac{9}{5} = \dfrac{{15}}{{40}} + \dfrac{{72}}{{40}} = \dfrac{{87}}{{40}}\)
\(\dfrac{5}{7} - \dfrac{4}{9} = \dfrac{{45}}{{63}} - \dfrac{{28}}{{63}} = \dfrac{{17}}{{63}}\)
Câu 2: Trang 112 toán VNEN lớp 5 tập 2
Đọc nội dung sau (sgk trang 112)
b. Lấy một ví dụ minh họa rồi giải thích cho các bạn nghe
Lấy ví dụ phép cộng:
Tính chất giao hoán: a + b = b + a
Ví dụ: 40 + 30 = 30 + 40 = 70
Tính chất kết hợp: (a + b) + c = a + (b + c)
Ví dụ: (10 + 20) + 30 = 10 + ( 20 + 30)
= 30 + 30 = 10 + 50 = 60
Cộng với 0: a + 0 = 0 + a
Ví dụ: 3,14 + 0 = 0 + 3,14 = 3,14
Lấy ví dụ phép trừ:
· 1900 - 800 = 1100
· 1503 - 1503 = 0
· 1503 - 0 = 1503
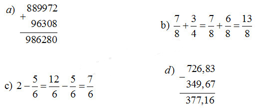
Câu 3: Trang 112 toán VNEN lớp 5 tập 2
Tính:
a. 889972 + 96308
b.
\(\frac{7}{8}+\frac{3}{4}\)
c.
\(2-\frac{5}{6}\)
d. 726,83 - 349,67
Hướng dẫn giải
- Muốn cộng (hoặc trừ) các số tự nhiên ta đặt tính sao cho các chữ số ở cùng hàng thẳng cột với nhau, sau đó tính theo thứ tự từ phải sang trái.
- Muốn cộng hai phân số khác mẫu số ta quy đồng mẫu số hai phân số rồi cộng hai phân số sau khi quy đồng.
- Muốn cộng (hoặc trừ) các số thập phân ta đặt tính sao cho các chữ số ở cùng hàng thẳng cột với nhau, dấu phẩy thẳng nhau, sau đó tính theo thứ tự từ phải sang trái.
Đáp án

a. 889972 + 96308 = 986280

d. 726,83 - 349,67 = 377,16
Câu 4: Trang 112 toán VNEN lớp 5 tập 2
Tính rồi thử lại (theo mẫu):
a.

7613 - 5908
45917 - 6534
b.

![]()
c.

8,168 - 5,485
0,954 - 0,389
Hướng dẫn:
Muốn thử lại phép trừ ta có thể lấy hiệu cộng với số trừ, nếu được kết quả là số bị trừ thì phép tính làm đúng.
Đáp án
a.

b.

c.

Câu 5: Trang 113 toán VNEN lớp 5 tập 2
a. Vòi nước thứ nhất mỗi giờ chảy được
\(\frac{1}{5}\) thể tích của bể, vòi nước thứ hai mỗi giờ chảy được
\(\frac{3}{10}\) thể tích của bể. Hỏi khi cả hai vòi nước cùng chảy vào bể trong một giờ thì được bao nhiêu phần trăm thể tích của bể?
b. Một mảnh đất hình chữ nhật có nửa chu vi là 75m, chiều rộng bằng
\(\frac{2}{3}\) chiều dài. Tính diện tích mảnh đất đó?
Hướng dẫn:
a) - Tính số phần thể tích của bể mà hai vòi chảy được trong 1 giờ, tức là thực hiện tính
\(\frac{1}{5}+\frac{3}{10}\)
- Đổi kết quả vừa tìm được dưới dạng tỉ số phần trăm.
b) - Tìm chiều dài, chiều rộng theo bài toán tìm hai số khi biết tổng và tỉ số của hai số đó.
- Tính diện tích ta lấy chiều dài nhân với chiều rộng (cùng một đơn vị đo).
Đáp án
a. Sau một giờ cả hai vòi chảy được:
\(\frac{1}{5}+\frac{3}{10}=\frac{5}{10}=\frac{1}{2}\) (bể nước)
Vậy sau một giờ cả hai vòi chảy được số % thể tích bể nước là:
\(\frac{1}{2} \times 100=50 \%\)
b. 
Tổng số phần bằng nhau là: 3 + 2 = 5 (phần)
Chiều rộng hình chữ nhật là: (75 : 5) x 2 = 30 (m)
Chiều dài hình chữ nhật là: 75 - 30 = 45 (m)
Vậy diện tích hình chữ nhật là: 30 x 45 = 1350 (m2)
Đáp số: a. 50%
b. 1350 m2
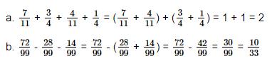
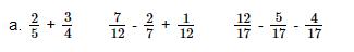
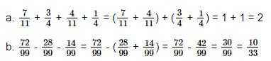
Câu 6: Trang 113 toán VNEN lớp 5 tập 2
Tính:
![]()
a)
\(\dfrac{2}{5} + \dfrac{3}{4}\),;
\(\dfrac{7}{{12}} - \dfrac{2}{7} + \dfrac{1}{{12}}\,\,\);
\(\dfrac{{12}}{{17}} - \dfrac{5}{{17}} - \dfrac{4}{{17}}\)
b. 675,39 + 342,14
563,87 + 403,13 - 328,35
Hướng dẫn:
Biểu thức chỉ có phép cộng và phép trừ thì tính lần lượt từ trái sang phải.
Đáp án
a)
\(\dfrac{2}{5} + \dfrac{3}{4} = \dfrac{8}{{20}} + \dfrac{{15}}{{20}} = \dfrac{{23}}{{20}}\);
+)
\(\dfrac{7}{{12}} - \dfrac{2}{7} + \dfrac{1}{{12}}\,\, = \dfrac{7}{{12}} + \dfrac{1}{{12}} - \dfrac{2}{7}\)
\(= \dfrac{8}{{12}} - \dfrac{2}{7} = \dfrac{2}{3} - \dfrac{2}{7} = \dfrac{{14}}{{21}} - \dfrac{6}{{21}} = \dfrac{8}{{21}}\);
+)
\(\dfrac{{12}}{{17}} - \dfrac{5}{{17}} - \dfrac{4}{{17}} = \dfrac{7}{{17}} - \dfrac{4}{{17}} = \dfrac{3}{{17}}\)
b.

Câu 7: Trang 113 toán VNEN lớp 5 tập 1
Tính bằng cách thuận tiện nhất:

c. 69,78 + 35,97 + 30,22
d. 83,45 - 30,98 - 42,47
Hướng dẫn giải
Áp dụng tính chất giao hoán và kết hợp của phép cộng để nhóm các số có tổng là số tròn trăm, tròn nghìn ... hoặc nhóm các phân số, số thập phân có tổng là số tự nhiên.
Đáp án

c. 69,78 + 35,97 + 30,22 = ( 69,78 + 30,22) + 35,97 = 100 + 35,97 = 135,97
d. 83,45 - 30,98 - 42,47 = 83,45 - (30,98 + 42,47) = 83,45 - 73,45 = 10
Câu 8: Trang 114 toán VNEN lớp 5 tập 2
a. Không trực tiếp làm phép tính, em dự đoán kết quả tìm x:
x + 7,08 = 7,08
\(\frac{3}{5}\) + x =
\(\frac{6}{10}\)
b. Tìm x:
x + 3,72 = 8,16
x - 0,25 = 3,148
Hướng dẫn giải
a) Áp dụng tính chất: Số 0 cộng với số nào cũng bằng chính số đó.
b) Áp dụng các quy tắc:
- Muốn tìm số hạng chưa biết ta lấy tổng trừ đi số hạng đã biết.
- Muốn tìm số bị trừ ta lấy hiệu cộng với số trừ.
Đáp án
a. x + 7,08 = 7,08
\(\frac{3}{5}\) + x =
\(\frac{6}{10}\)
Em dự đoán kết quả là x = 0
Vì:
· 0 + a = a => 0 + 7,08 = 7,08
·
\(\frac{3}{5}\) khi nhân cả tử và mẫu số cho 2 ta được phân số
\(\frac{6}{10}\).
b. Tìm x:
x + 3,72 = 8,16
x = 8,16 - 3,72
x = 4,44
x - 0,25 = 3,148
x = 3,148 + 0,25
x = 3,398
Câu 9: Trang 114 toán VNEN lớp 5 tập 2
Một xã có 540,8 ha đất trồng lúa. Diện tích đất trồng hoa ít hơn diện tích đất trồng lúa 385,5ha. Tính tổng diện tích đất trồng lúa và trồng hoa của xã đó.
Tóm tắt
Trồng lúa: 540,8 ha
Trồng hoa: ít hơn 385,5 ha
Tổng diện tích: ...ha?
Đáp án
Diện tích đất trồng hoa là:
540,8 - 385,5 = 155,3 (ha)
Tổng diện tích đất trồng lúa và trồng hoa của xã đó là:
540,8 + 155,3 = 696,1 (ha)
Đáp số: 696,1 ha
B. Hoạt động ứng dụng bài 104 Toán VNEN lớp 5
Câu 1: Trang 114 toán VNEN lớp 5 tập 2
Một gia đình công nhân sử dụng tiền lương hằng tháng như sau:
\(\frac{3}{5}\) số tiền lương để chi cho tiền ăn của gia đình,
\(\frac{1}{4}\) số tiền lương để trả tiền thuê nhà và chi tiêu các việc khác, còn lại là tiền để dành.
a. Hỏi mỗi tháng gia đình đó để dành được bao nhiêu phần trăm số tiền lương?
b. Nếu số lương là 6.000.000 đồng một tháng thì gia đình đó để dành được bao nhiêu tiền mỗi tháng?
Đáp án
a. Số phần tiền lương gia đình đó để dành mỗi tháng là:
\(1-\left(\frac{3}{5}+\frac{1}{4}\right)=\frac{3}{20}\)
Vậy, mỗi tháng gia đình đó dành được số phần trăm tiền lương là:
\(\frac{3}{20} \times 100=15 \%\)
b. Nếu số lương là 6.000.000 đồng một tháng thì gia đình đó để dành được số tiền mỗi tháng là:
(6 000 000 : 100) x 15 = 900 000 (đồng)
Đáp số: a. 15%
b. 900 000 đồng
Câu 2: Trang 114 toán VNEN lớp 5 tập 2
Em hỏi người thân về thu nhập và cách chi tiêu hàng tháng của gia đình em rồi tính xem mỗi tháng nhà em dành được vao nhiêu phần trăm số tiền thi nhập được để chi cho tiền ăn của gia đình.
Hướng dẫn giải
Để tìm tỉ số phần trăm giữa số tiền ăn của gia đình và tổng thu nhập ta tìm thương giữa số tiền ăn và thu nhập, sau đó nhân thương đó với 100 và viết thêm kí hiệu % vào bên phải tích tìm được.
Đáp án
Ví dụ: Gia đình em gồm có 4 người, bố mẹ, em và em trai. Tổng thu nhập của gia đình em là 16 000 000 đồng, trong đó thu nhập một tháng của bố em là 9 000 000 đồng và thu nhập một tháng của mẹ em là 7 000 000 đồng.
Gia đình em sử dụng số tiền đó vào các việc :
• 4 000 000 đồng tiền học cho hai chị em.
• 2 800 000 đồng tiền điện nước và chi tiêu vặt.
• 7 200 000 đồng tiền ăn.
• 2 000 000 đồng dành tiết kiệm.
Số tiền chi cho tiền ăn chiếm số phần trăm thu nhập đình em là :
7 200 000 : 16 000 000 = 0,45 = 45%
Đáp số: 45%.
>> Bài tiếp theo: Giải Toán lớp 5 VNEN bài 105: Ôn tập về phép nhân, phép chia
C. Trắc nghiệm Ôn tập về phép cộng, phép trừ
Trắc nghiệm Ôn tập về phép cộng:
Trắc nghiệm Ôn tập về phép trừ: