Bài tập tính diện tích hình tam giác lớp 5 nâng cao có đáp án
Bài tập tính diện tích hình tam giác nâng cao lớp 5 có đáp án chi tiết cho từng bài tập cho các em học sinh khá giỏi tham khảo ôn luyện giải các dạng bài tập về hình tam giác, chuẩn bị cho các bài thi bài kiểm tra trong năm học.
Bài tập tính diện tích hình tam giác nâng cao lớp 5
1. Lý thuyết về hình tam giác lớp 5

- Hình tam giác ABC có, ba cạnh là: AB, AC và BC; Ba đỉnh là: đỉnh A, đỉnh B, đỉnh C.
- Đường cao của tam giác là đoạn thẳng kẻ từ đỉnh và vuông góc với đáy. Độ dài của đường cao là chiều cao của tam giác. (Học sinh cần nắm chắc đặc điểm của đường hạ từ đỉnh và xuống đáy tương ứng để áp dụng làm bài tập tốt)
- Chu vi tam giác: P = a + b + c;
Diện tích: S= (a×h) : 2
Chiều cao h= (S×2) : a
Cạnh đáy a= (S×2) : h
- Tam giác vuông là tam giác có một góc vuông, diện tích tam giác vuông bằng 1/2 lần tích hai cạnh góc vuông.
- Đơn vị đo và cách đổi: 1m2= 100dm2; 1dm2= 100cm2
>> Tham khảo chi tiết: Công thức tính diện tích hình tam giác, chu vi hình tam giác
Tính tỉ số diện tích hai tam giác
Lưu ý:
Hai tam giác chung đáy thì tỉ số diện tích bằng tỉ số 2 đường cao tương ứng.
Hai tam giác chung đường cao thì tỉ số diện tích bằng tỉ số 2 đáy tương ứng.
2. Bài tập nâng cao tính diện tích tam giác Toán lớp 5
Bài 1: Cho tam giác ABC có diện tích 150cm2. M là trung điểm của BC, N là trung điểm của AC. Nối MN. Tính diện tích tam giác CMN ?
Bài giải:

Ta có: SABC = 2 x SAMC (chung chiều cao hạ từ A xuống đáy BC và đáy BC = 2 x MC)
Từ đó ta có: SAMC = 150 : 2 = 75 (cm2)
Ta có:SAMC = 2 x SCMN (chung chiều cao hạ từ M xuống đáy AC và đáy AC = 2 x NC)
Từ đó ta có: SCMN = 75 : 2 = 37,5 (cm2)
Đáp số: 37,5 cm2
Bài 2: (Thi vào 6 trường THCS chuyên Ngoại Ngữ 2019 – 2020)
Cho hình vẽ. Tính tỉ số diện tích 2 tam giác BDF và AEF ?

Bài giải:

Ta có: AE = 1/3 x EC nên SABF=1/3×SBFC
BD = 1/3 x BC nên SBDF=13×SBFC
Vậy SABF=SBDF (1)
Ta có: DC = 2 x BD nên SACF=2×SABF
EC = 4 x AE nên SACF=4×SAEF
Vậy 4×SAEF=2×SABF hay 2×SAEF=SABF (2)
Từ (1) và (2): SABF=2×SAEF
Vậy tỉ số là 2
Bài 3: (Thi vào 6 trường Hà Nội Amsterdam 2013 – 2014)
Cho hình chữ nhật ABCD, F là một điểm bất kì trên cạnh AD, BF cắt CD kéo dài tại điểm E. Nối điểm A với điểm E. Tính diện tích tam giác AEF, biết AF = 3cm, BC = 5cm, AB = 7 cm ?
Bài giải:


Bài 4: (Thi vào 6 trường Hà Nội Amsterdam 2011 – 2012)
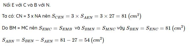
Cho tam giác ABC biết BM = MC; CN = 3 x NA (như hình vẽ) và diện tích tam giác AEN bằng 27 cm².Tính diện tích tam giác ABC ?

Bài giải:


Diện tích tam giác ABC là:
54 x 4 = 216 (cm2 )
Đáp số: 216 cm2
Bài 5: (Thi vào 6 trường Archimedes Academy 2019 – 2020)
Cho hình vẽ bên biết S1 = 12cm2. Tính S2

Bài giải:


BÀI TẬP TỰ LUYỆN NÂNG CAO
Bài 1: (Thi vào 6 trường Archimedes Academy 2019 – 2020 – đợt 2)
Cho tam giác với các tỷ lệ như hình.
Biết S3−S1=84cm2. Tính S4−S2

Bài 2: (Thi vào 6 trường Hà Nội Amsterdam 2010 – 2011)
Cho tam giác ABC có diện tích là 180 cm2. Biết AB = 3 x BM; AN = NP=PC; QB=QC. Tính diện tích tam giác MNPQ ? (xem hình vẽ)

Bài 3: (Thi vào 6 trường Hà Nội Amsterdam 2006 – 2007)
Cho tam giác ABC có diện tích bằng 18cm2. Biết DA = 2 x DB ; EC = 3 x EA ; MC = MB (hình vẽ). Tính tổng diện tích hai tam giác MDB và MCE ?

Bài 4: (Thi vào 6 trường Hà Nội Amsterdam 2004 – 2005)
Trong hình vẽ bên có NA = 2 x NB; MC = 2 x MB và diện tích tam giác OAN là 8cm2. Tính diện tích BNOM ?

Bài 5: (Thi vào 6 trường Hà Nội Amsterdam 2001 – 2002)
Cho tam giác ABC và các điểm D, E, G, H sao cho BD = 1/3x AB; AE = CG = 1/3 x AC; CH =1/3x BC. Tính diện tích hình BDEGH ? ( Biết diện tích của tam giác ABC là 180cm2 )

Bài học sinh tự luyện:
Bài 1: Một thửa đất hình tam giác có chiều cao là 12 m. Hỏi nếu kéo dài đáy thêm 4 m thì diện tích sẽ tăng thêm bao nhiêu m2?
Bài 2: Một hình tam giác ABC có cạnh đáy 4,5m. Nếu kéo dài cạnh đáy BC thêm 2,5m thì diện tích tam giác tăng thêm 5,25 m2. Tính diện tích hình tam giác ABC đó ?
Bài 3: Cho tam giác ABC vuông góc tại A, chu vi là 102cm. Cạnh AB bằng cạnh AC, cạnh BC bằng cạnh AC. Tính diện tích hình tam giác ABC?
Bài 4. Cho tam giác ABC, lấy điểm I trên cạnh BC sao cho IB = IC. Tính diện tích hình tam giác ABI biết diện tích hình tam giác ABC bằng 50cm2 ?
Bài 5: Cho tam giác ABC, lấy điểm M là điểm chính giữa cạnh nằm trên cạnh BC; N là điểm chính giữa nằm trên cạnh AM. Biết diện tích hình tam giác ABC bằng 64dm2. Tính diện tích hình tam giác ABM ?
-----------
Tham khảo: