Toán nâng cao lớp 5: Dạng phân số, hỗn số - Đề 2

Toán nâng cao lớp 5
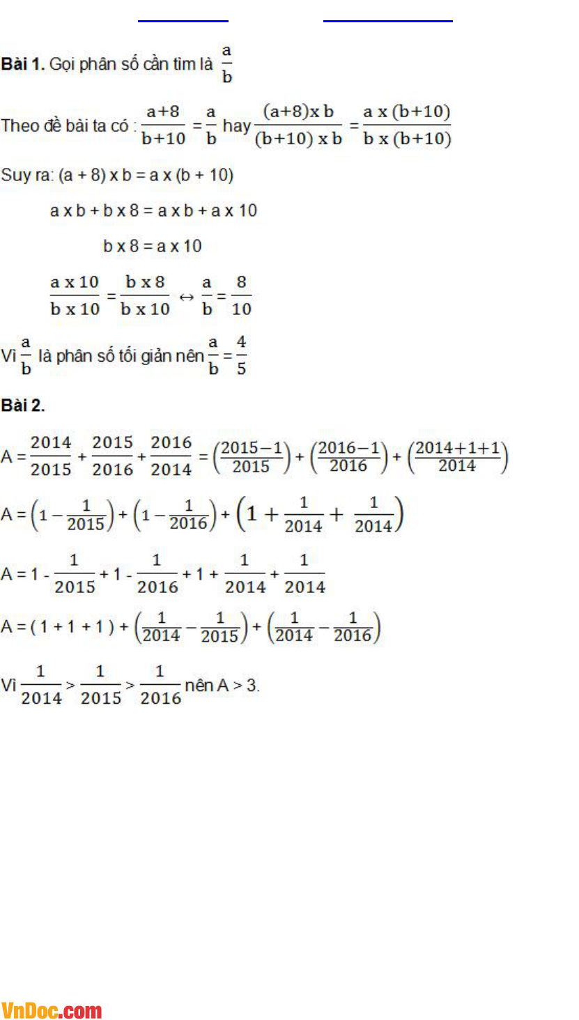
Toán nâng cao lớp 5: Dạng phân số, hỗn số - Đề 2 bao gồm các dạng Toán về phân số, hỗn số có đáp án chi tiết cho từng bài tập giúp các em học sinh hoàn thiện nâng cao kỹ năng giải Toán dạng này, chuẩn bị cho các kì thi trong năm học. Mời các em học sinh cùng tham khảo.
Toán nâng cao lớp 5: Dạng phân số, hỗn số - Đề 1
Những dạng Toán hay và khó lớp 5 - Dạng phân số, hỗn số bao gồm 10 câu hỏi có đáp án chi tiết là tài liệu tham khảo cho các em học sinh khá giỏi củng cố kiến thức, chuẩn bị cho các bài thi học kì 1, bài thi học kì 2 và thi học sinh giỏi Toán lớp 5.

