Vở bài tập Toán lớp 5 bài 31: Luyện tập chung chương 1
Giải vở bài tập Toán 5 bài 31: Luyện tập chung là lời giải Vở bài tập Toán lớp 5 tập 1 trang 42, 43 có đáp án và lời giải chi tiết giúp các em học sinh ôn tập, hệ thống lại toàn bộ kiến thức Chương 1 lớp 5 về phân số, giải Toán liên quan đến tỉ lệ, bảng đơn vị đo diện tích.
>> Bài trước: Giải vở bài tập Toán 5 bài 30: Luyện tập chung
Vở bài tập toán lớp 5 bài 31
Vở bài tập Toán lớp 5 tập 1 trang 42 Câu 1
Viết số thích hợp vào chỗ chấm

Phương pháp giải
Muốn biết số thứ nhất gấp số thứ hai bao nhiêu lần ta lấy số thứ nhất chia cho số thứ hai.
Đáp án và hướng dẫn giải

Vở bài tập Toán lớp 5 tập 1 trang 42 Câu 2
Tìm x
a)
\(\; \displaystyle x\, + \,{1 \over 4} = {5 \over 8}\)
b)
\(\; \displaystyle x - {1 \over 3} = {1 \over 6}\)
c)
\(\; \displaystyle x \times {3 \over 5} = {9 \over {10}}\)
d)
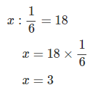
\(\; \displaystyle x :{1 \over {16}} = 18\)
Phương pháp giải
Xác định vị trí và vai trò của x trong phép tính rồi tìm x theo các quy tắc :
- Muốn tìm số hạng chưa biết ta lấy tổng trừ đi số hạng đã biết.
- Muốn tìm số bị trừ ta lấy hiệu cộng với số trừ.
- Muốn tìm thừa số chưa biết ta lấy tích chia cho thừa số đã biết.
- Muốn tìm số bị chia ta lấy thương nhân với số chia.
Đáp án và hướng dẫn giải
a.

b.

c.

d.

Vở bài tập Toán lớp 5 tập 1 trang 43 Câu 3
Một đội sản xuất ngày thứ nhất làm được
\(\frac{3}{10}\) công việc, ngày thứ hai làm được
\(\frac{1}{5}\) công việc đó. Hỏi trong hai ngày đầu, trung bình mỗi ngày đội sản xuất đã làm được bao nhiêu phần công việc.
Phương pháp giải
- Tính tổng số phần công việc đội đó làm được trong hai ngày.
- Tìm số phần công việc trung bình mỗi ngày đội đó làm được ta lấy tổng số phần công việc đội đó làm được trong hai ngày chia cho 2.
Đáp án và hướng dẫn giải
Bài giải
Hai ngày đầu, đội sản xuất làm được là:
\(\frac{3}{10}+\frac{1}{5}=\frac{1}{2}\) (công việc)
Trung bình mỗi ngày đội sản xuất làm được:
\(\frac{1}{2}:\ 2\ =\frac{1}{4}\) (công việc)
Đáp số: 1/4 công việc
Vở bài tập Toán lớp 5 tập 1 trang 43 Câu 4
a) Mua 4 quả trứng thì phải trả 10 000 đồng. Hỏi mua 7 quả trứng như thế phải trả bao nhiêu tiền ?
b) Nếu giá bán mỗi quả trứng giảm đi 500 đồng thì với 10 000 đồng có thể mua được bao nhiêu quả trứng như thế?
Phương pháp giải
- Tính giá tiền trước đây khi mua 1 quả trứng = giá tiền khi mua 4 quả trứng : 4.
- Tính giá tiền khi mua 7 quả trứng = giá tiền khi mua 1 quả trứng × 7
- Tính giá tiền hiện nay khi mua 1 quả trứng = giá tiền trước đây khi mua 1 quả trứng – 500 đồng.
- Tính số quả trứng hiện nay có thể mua được ta lấy 10 000 đồng chia cho giá tiền hiện nay khi mua 1 quả trứng.
Đáp án và hướng dẫn giải
a) Mua 1 quả trứng như thế phải trả số tiền là :
10000 : 4 = 2500 (đồng)
Mua 7 quả trứng như thế phải trả số tiền là :
2500 × 7 = 17500 (đồng)
b) Giá bán của 1 quả trứng sau khi giảm giá là:
2500 – 500 = 2000 (đồng)
Sau khi giảm giá 500 đồng mỗi quả trứng, với 10000 đồng có thể mua được số quả trứng là:
10000 : 2000 = 5 (quả)
Đáp số: a) 17 5000 đồng ;
b) 5 quả trứng.
>> Bài tiếp theo: Giải vở bài tập Toán 5 bài 32: Khái niệm số thập phân
Tham khảo chi tiết các dạng bài tập Toán lớp 5 khác:
- Giải Toán lớp 5 trang 31, 32: Luyện tập chung chương 1
- Giải vở bài tập Toán 5 bài 29: Luyện tập chung chương 1
- Giải vở bài tập Toán 5 bài 30: Luyện tập chung chương 1