Đề thi giữa học kì 1 môn Vật lý lớp 8 trường THCS Long Hưng
Đề kiểm tra 45 phút Vật lý lớp 8
Mời quý thầy cô cùng các bạn học sinh tham khảo bài Đề kiểm tra giữa học kì 1 môn Vật lý lớp 8 trường THCS Long Hưng năm 2017 - 2018. Được VnDoc sưu tầm và đăng tải, kèm lời giải chi tiết cho các bạn đánh giá so sánh, hy vọng tài liệu này sẽ giúp ích cho các bạn học tốt môn Vật lí lớp 9 này. Mời các bạn cùng tham khảo
- Đề thi giữa học kì 1 lớp 8 năm 2020 - 2021
- Đề thi giữa học kì 1 lớp 8 môn Toán Phòng GD&ĐT Quận Tây Hồ năm 2020 - 2021
- Đề thi giữa học kì 1 lớp 8 môn Toán Trường Chuyên Hà Nội Amsterdam năm 2020 - 2021
- Đề thi giữa học kì 1 lớp 8 môn Ngữ văn Sở GD&ĐT Bắc Ninh năm học 2020 - 2021
- Đề thi giữa học kì 1 lớp 8 môn Ngữ văn Trường THCS Lê Lợi năm học 2020 - 2021
Ngoài ra, VnDoc.com đã thành lập group chia sẻ tài liệu học tập THCS miễn phí trên Facebook: Tài liệu học tập lớp 8. Mời các bạn học sinh tham gia nhóm, để có thể nhận được những tài liệu mới nhất.
I. Trắc nghiệm: Khoanh tròn vào chữ cái đầu mỗi ý trả lời đúng và đầy đủ nhất mà em chọn. (3 điểm - mỗi câu trả lời đúng được 0,5 điểm)
Câu 1: Có một ô tô đang chạy trên đường. Trong các câu mô tả sau, câu nào không đúng?
a. Ô tô chuyển động so với mặt đường.
b. Ô tô đứng yên so với người lái xe.
c. Ô tô chuyển động so với người lái xe.
d. Ô tô chuyển động so với cây bên đường.
Câu 2: Cặp lực nào sau đây là hai lực cân bằng:
a. Hai lực cùng cường độ, cùng phương.
b. Hai lực cùng phương, ngược chiều.
c. Hai lực cùng phương, cùng cường độ, cùng chiều.
d. Hai lực cùng đặt lên một vật, cùng cường độ, có phương nằm trên một đường thẳng, ngược chiều..
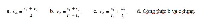
Câu 3: Một người đi được quãng đường s1 hết t1 giây, đi quãng đường tiếp theo s2 hết thời gian t2 giây. Trong các công thức dùng để tính vận tốc trung bình của người này trên cả 2 quãng đường sau, công thức nào đúng?

Câu 4: Đơn vị của vận tốc là :
a. km.h b. m/s c. m.s d. s/m
Câu 5: Trong các chuyển động sau, chuyển động nào là đều?
a. Chuyển động của một ô tô đi từ Đồng Xoài đi Bình Dương.
b. Chuyển động của đầu kim đồng hồ.
c. Chuyển động của quả banh đang lăn trên sân.
d. Chuyển động của đầu cánh quạt đang quay ổn định.
Câu 6: Đưa một vật nặng hình trụ lên cao bằng hai cách, hoặc là lăn vật trên mặt phẳng nghiêng hoặc là kéo vật trượt trên mặt phẳng nghiêng. Cách nào lực ma sát nhỏ hơn?
a. Lăn vật
b. Kéo vật.
c. Cả hai cách như nhau
d. Không so sánh được.
II. Phần tự luận: 7 điểm
Câu 1: (3 điểm)
- Nêu 1 ví dụ về chuyển động cơ học, trong đó hãy chỉ rõ đâu là vật mốc.
- Nếu có hai lực cân bằng cùng tác dụng lên một vật đang chuyển động thì vật đó sẽ như thế nào?
- Tại sao nói chuyển động có tính tương đối?
Câu 2: (1 điểm) Hãy biểu diễn lực sau: Lực kéo vật có phương nằm ngang, chiều từ trái sang phải và có độ lớn 2000 N (1 cm ứng với 500N)
Câu 3: (1 điểm) Búp bê đang đứng trên xe lăn, đột ngột đẩy xe về phía trước. Hỏi búp bê sẽ ngã về phía nào? Tại sao?
Câu 4: (2 điểm) Một người đi bộ đều trên quãng đường đầu dài 3km với vận tốc 2 m/s. Ở quãng đường sau dài 1,95km người đó đi hết 0,5 giờ. Tính vận tốc trung bình của người đó trên cả hai quãng đường.
Đáp án đề kiểm tra 45 phút kì 1 Vật lý lớp 8
I. Trắc nghiệm: 3 điểm (mỗi câu trả lời đúng được 0,5 điểm)
|
Câu 1 |
Câu 2 |
Câu 3 |
Câu 4 |
Câu 5 |
Câu 6 |
|
c |
d |
b |
b |
d |
a |
II. Phần tự luận: 7 điểm
|
Đáp án |
Điểm |
|
Câu 1 |
3 điểm |
|
- HS nêu đúng ví dụ, chỉ rõ được vật mốc. |
1,5 điểm |
|
- Hai lực cân bằng cùng tác dụng lên một vật đang chuyển động thì vật đó sẽ chuyển động thẳng đều. |
0,5 điểm |
|
- Tại vì một vật có thể là chuyển động so với vật này nhưng lại là đứng yên đối với vật khác tùy thuộc vật được chọn làm mốc. |
1 điểm |
|
Câu 2 |
1 điểm |
|
F = 2000N
|
1 điểm |
|
Câu 3 |
1 điểm |
|
Búp bê ngã về phía sau. Vì khi đẩy xe, chân búp bê chuyển dộng cùng với xe, nhưng do quán tính nên phần đầu của búp bê chưa kịp chuyển động, vì vậy búp bê ngã về phía sau |
1 điểm |
|
Câu 4 |
2 điểm |
|
Tóm tắt: Giải S1 = 3km V1 = 2m/s = 7,2km/h Thời gian người đó đi quãng đường đầu là S2 = 1,95km t1 = s1/v1 = 3/7,2 = 0,42 (h) t2 = 0,5h Tính vtb = ? |
1 điểm |
|
Vận tốc trung bình của người đó trên cả hai quãng đường
|
1 điểm |
Trên đây VnDoc đã chia sẻ tới các bạn Đề thi giữa học kì 1 môn Vật lý lớp 8 trường THCS Long Hưng. Nội dung gồm 2 phần trắc nghiệm và tự luận kèm theo đáp án để so sanh giúp cho các bạn học sinh chuẩn bị tốt cho kì thi giữa kì 1 lớp 8 tốt nhất. Chúc các bạn học tốt
............................................
Ngoài Đề thi giữa học kì 1 môn Vật lý lớp 8 trường THCS Long Hưng. Mời các bạn học sinh còn có thể tham khảo các đề thi học kì 1 lớp 8, đề thi học kì 2 lớp 8 các môn Toán, Văn, Anh, Lý, Địa, Sinh mà chúng tôi đã sưu tầm và chọn lọc. Với đề thi học kì lớp 8 này giúp các bạn rèn luyện thêm kỹ năng giải đề và làm bài tốt hơn. Chúc các bạn ôn thi tốt

