Đề thi chọn đội tuyển Học sinh giỏi lớp 12 Thành phố Cần Thơ năm 2012 - 2013 môn Toán (Có đáp án)
Vndoc.com xin giới thiệu đến các bạn: Đề thi chọn đội tuyển Học sinh giỏi lớp 12 Thành phố Cần Thơ năm 2012 - 2013 môn Toán (Có đáp án).
Đề thi môn Toán:
SỞ GIÁO DỤC VÀ ĐÀO TẠO
|
KÌ THI CHỌN ĐỘI TUYỂN HỌC SINH GIỎI LỚP 12
|
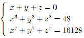
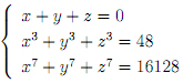
Câu 1: (4 điểm)
Giải hệ phương trình sau trên tập số thực R:

Câu 2: (4 điểm)
Cho dãy số nguyên (un) được xác định như sau:
a. Chứng minh rằng: ![]()
b. Chứng minh rằng:
là số chính phương với mọi n, n thuộc N*
Câu 3: (4 điểm)
Cho nửa đường tròn (T) tâm O, đường kính AB = 2R và điểm P di động trên (T) (P khác A và B). Gọi (O1) và (O2) là hai đường tròn nhận OP làm tiếp tuyến chung, đồng thời (O1) tiếp xúc với (T) và OA theo thứ tự là M, N, (O2) tiếp xúc với (T) và OB theo thứ tự tại H, L.
a. Chứng minh rằng khi P di động trên (T) thì các đường thẳng MN và HL luôn cùng đi qua một điểm cố định K.
b. Gọi C, D theo thứ tự là giao điểm thứ hai của (O1) với MA và MB, E là giao điểm của CN với BK và F là giao điểm của DN với AK. Chứng minh rằng khi P di động trên (T), ta luôn có bất đẳng thức p > R(3 + √2), trong đó p là chu vi tứ giác ABEF.
Câu 4: (4 điểm)
Cho dãy 2013 số nguyên dương a1, a2, a3,..., a2013 thỏa mãn mỗi số không lớn hơn 4026 và với hai số bất kì thì bội số chung nhỏ nhất của hai số ấy luôn lớn hơn 4026. Chứng minh rằng mọi số hạng của dãy số đã cho đều lớn hơn 1342.
Câu 5: (4 điểm)
Trong một bảng ô vuông có 10 x 10 ô được điền ở tất cả các ô là dấu "+". Một bước thực hiện bằng cách đổi toàn bộ những dấu ở một hàng hoặc một cột nào đó sang dấu ngược lại. Có khả năng hay không sau hữu hạn bước như trên, bảng ô vuông nhận được có đúng 6 dấu "-"? Hãy chứng minh khẳng định của mình
Chú ý:
- Nếu PC của bạn không đọc được file PDF, hãy tải phần mềm Foxit Reader để cài đặt
- Bạn sử dụng iPhone, iPad,... chạy hệ điều hành iOS có thể tải Foxit Mobile PDF Lite for iOS
- Bạn sử dụng điện thoại hệ điều hành Android thì tải phần mềm Adobe Reader for Android, MultiReader (Android) 0.8.4, eLibris eReader for Android