Đề thi chọn học sinh giỏi lớp 10 môn Toán năm 2018 - 2019 trường THPT Nam Tiền Hải - Thái Bình
Đề thi chọn học sinh giỏi môn Toán lớp 10
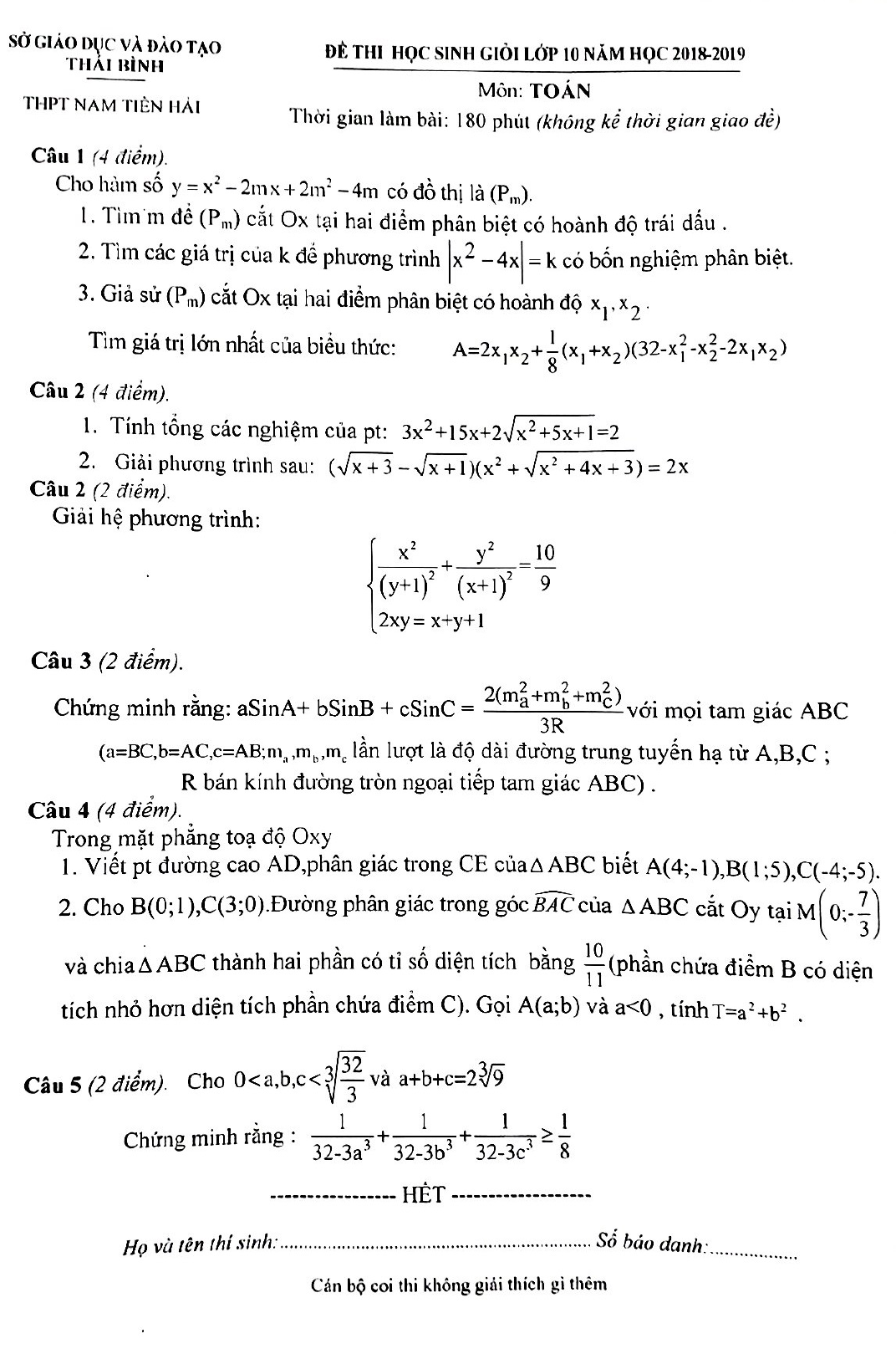
VnDoc xin giới thiệu tới bạn đọc Đề thi chọn học sinh giỏi lớp 10 môn Toán năm 2018 - 2019 trường THPT Nam Tiền Hải - Thái Bình. Tài liệu gồm 5 câu hỏi bài tập, thời gian làm bài 180 phút. Mời các bạn học sinh tham khảo.
- Đề thi chọn học sinh giỏi tỉnh môn Toán lớp 10 năm 2017 - 2018 Sở GD&ĐT Hải Dương
- Đề thi chọn học sinh giỏi cấp trường môn Toán lớp 10 năm 2017 - 2018 trường THPT Lý Thái Tổ - Bắc Ninh
- Đề thi học kì 1 lớp 10 môn Toán năm 2018 - 2019 trường THPT Hoa Lư A - Ninh Bình
- Đề thi học kì 1 lớp 10 môn Toán năm 2018 - 2019 trường THPT Phúc Thọ - Hà Nội
- Đề thi học kì 1 lớp 10 môn Toán năm 2018 - 2019 trường THPT Nguyễn Thị Minh Khai - TP Hồ Chí Minh
- Đề thi chọn học sinh giỏi lớp 10 môn Toán năm 2018 - 2019 trường THPT Phùng Khắc Khoan - Hà Nội
- Đề thi chọn học sinh giỏi lớp 10 môn Toán năm 2018 - 2019 trường THPT Đan Phượng - Hà Nội
-----------------------------
Trên đây VnDoc đã giới thiệu tới các bạn Đề thi chọn học sinh giỏi lớp 10 môn Toán năm 2018 - 2019 trường THPT Nam Tiền Hải - Thái Bình. Để có kết quả cao hơn trong học tập, VnDoc xin giới thiệu tới các bạn học sinh tài liệu Giải bài tập Toán 10, Giải bài tập Vật Lí 10, Giải bài tập Sinh học 10, Giải bài tập Hóa học 10, Tài liệu học tập lớp 10 mà VnDoc tổng hợp và đăng tải.
