Đề thi chọn học sinh giỏi Quốc gia THPT môn Toán năm 2013 - Ngày thứ hai
| BỘ GIÁO DỤC VÀ ĐÀO TẠO ĐỀ THI CHÍNH THỨC |
KỲ THI CHỌN HỌC SINH GIỎI QUỐC GIA THPT NĂM 2013 MÔN: TOÁN Thời gian: 180 phút (không kể thời gian giao đề) Ngày thi thứ nhất: 12/01/2013 |
Bài 5 (7,0 điểm): Tìm tât cả các hàm sô f : R->R thỏa mãn: f (0)= 0 , f (1)= 2013 và

đúng với mọi x,y thuộc R, trong đó f2(x) = (f(x))2
Bài 6 (7,0 điểm): Cho tam giác nhọn ABC nội tiếp đường tròn (O) và điểm D thuộc cung BC không chứa điểm A. Đường thẳng d thay đổi đi qua trực tâm H của tam giác ABC cắt các đường tròn ngoại tiếp tam giác ABH và tam giác ACH lân lượt tại M và N (M # H, N # H) .
a) Xác định vị trí của đường thẳng d để diện tích tam giác AMN lớn nhất
b) Ký hiệu d1 là đường thẳng đi qua M và vuông góc với DB, d2 là đường thẳng đi qua N và vuông góc với DC. Chứng minh rằng giao điểm P củaa d1 và d2 luôn thuộc một đường tròn cố định.
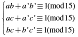
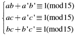
Bài 7 (6,0 điểm). Tìm số các bộ sắp thứ tự (a, b, c, a', b', c') thỏa mãn:

Với a,b,c, a ',b ',c ' thuộc {0,1,...,14}.