Đề thi chọn học sinh giỏi tỉnh Long An môn Toán lớp 12 - Vòng 1, bảng A (có đáp án)
Nhằm giúp các bạn chuẩn bị thật tốt kiến thức để làm bài thi đạt hiệu quả cao, Vndoc.com xin giới thiệu: Đề thi chọn học sinh giỏi tỉnh Long An môn Toán lớp 12 - Vòng 1, bảng A (có đáp án).
Đề thi chọn học sinh môn Toán:
| SỞ GIÁO DỤC VÀ ĐÀO TẠO LONG AN (Đề thi chính thức) |
KỲ THI CHỌN HỌC SINH GIỎI LỚP 12 CẤP TỈNH - VÒNG 1 Ngày thi: 06 / 10 / 2011 Môn thi: TOÁN Bảng: A Thời gian làm bài: 180 phút (Không kể thời gian phát đề) |
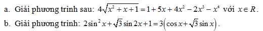
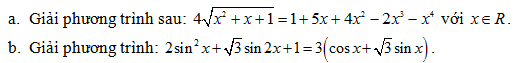
Câu 1: (5,0 điểm)

Câu 2: (5,0 điểm)
a. Cho tam giác ABC vuông cân tại B, cạnh AB = 2. Trong mặt phẳng chứa tam giác ABC lấy điểm M thỏa mãn MA2 + MB2 = MC2. Tìm quỹ tích của điểm M.
b. Cho tam giác ABC có hai trung tuyến BM và CN hợp với nhau một góc bằng 600, BM = 6, CN = 9. Tính độ dài trung tuyến còn lại của tam giác ABC.
Câu 3: (4,0 điểm)

a. Xác định số hạng tổng quát của dãy số (Un)
b. Tính tổng S = u12 + u22 + u32 + ... + u22011
Câu 4: (3,0 điểm)
Cho là ba số thực không âm và thỏa mãn điều kiện a2 + b2 + c2 = 1
Tìm giá trị lớn nhất của biểu thức: M = (a + b + c)3 - (a + b + c) + 6abc
Câu 5: (3,0 điểm)

Với x, y là các số thực