Đề thi - Đáp án thi Đại học năm 2013 - Khối B
Ngay sau khi kết thúc những môn thi cuối cùng của đợt 2 trong kỳ thi Tuyển sinh đại học 2013. Chúng tôi đã cập nhật đề thi đáp án chính thức do Bộ Giáo dục và Đào tạo công bố:
Đề thi Đại học năm 2013 - Khối B, môn Toán
BỘ GIÁO DỤC VÀ ĐÀO TẠOĐỀ CHÍNH THỨC |
ĐỀ THI TUYỂN SINH ĐẠI HỌC NĂM 2013MÔN THI: TOÁN - KHỐI B |
I. PHẦN CHUNG CHO TẤT CẢ THÍ SINH (7,0 điểm)
Câu 1: (2,0 điểm)
Cho hàm số y = 2x3 - 3(m + 1)x2 + 6mx (1), với m là tham số thực.
a. Khảo sát sự biến thiên và vẽ đồ thị của hàm số (1) khi m = -1.
b. Tìm m để đồ thị hàm số (1) có hai điểm cực trị A và B sao cho đường thẳng AB vuông góc với đường thẳng y = x + 2.
Câu 2: (1,0 điểm).
Giải phương trình sin5x + 2cos2x = 1.
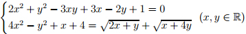
Câu 3: (1,0 điểm)
Giải hệ phương trình: 
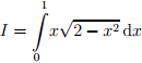
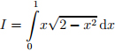
Câu 4: (1,0 điểm)
Tính tích phân: 
Câu 5: (1,0 điểm)
Cho hình chóp S.ABCD có đáy là hình vuông cạnh a, mặt bên SAB là tam giác đều và nằm trong mặt phẳng vuông góc với mặt phẳng đáy. Tính theo a thể tích của khối chóp S.ABCD và khoảng cách từ điểm A đến mặt phẳng (SCD).
Câu 6: (1,0 điểm)
Cho a, b, c là các số thực dương. Tìm giá trị lớn nhất của biểu thức:![]()
II. PHẦN RIÊNG (3,0 điểm): Thí sinh chỉ được làm một trong hai phần (phần A hoặc phần B)
A. Theo chương trình Chuẩn
Câu 7.a (1,0 điểm)
Trong mặt phẳng với hệ tọa độ Oxy, cho hình thang cân ABCD có hai đường chéo vuông góc với nhau và AD = 3BC. Đường thẳng BD có phương trình x + 2y - 6 = 0 và tam giác ABD có trực tâm là H(-3; 2). Tìm tọa độ các đỉnh C và D.
Câu 8.a (1,0 điểm)
Trong không gian với hệ tọa độ Oxyz, cho điểm A(3; 5; 0) và mặt phẳng (P): 2x + 3y - z - 7 = 0. Viết phương trình đường thẳng đi qua A và vuông góc với (P). Tifmm tọa độ điểm đối xứng của A qua (P).
Câu 9.a (1,0 điểm)
Có hai chiếc hộp chứa bi. Hộp thứ nhất chứa 4 viên bi đỏ và 3 viên bi trắng, hộp thứ hai chứa 2 viên bi đỏ và 4 viên bi trắng. Lấy ngẫu nhiên từ mỗi hộp ra 1 viên bi, tính xác suất để 2 viên bi được lấy ra có cùng màu.
B. Theo chương trình Nâng cao
Câu 7.b (1,0 điểm)
Trong mặt phẳng với hệ tọa độ Oxy, cho tam giác ABC có chân đường cao hạ từ đỉnh A là
, chân đường phân giác trong của góc A là D(5; 3) và trung điểm của cạnh AB là M(0; 1). Tìm tọa độ đỉnh C.
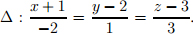
Câu 8.b (1,0 điểm)
Trong không gian với hệ tọa độ Oxyz, cho các điểm A(1; -1; 1), B(-1; 2; 3) và đường thẳng
. Viết phương trình đường thẳng đi qua A, vuông góc với hai đường thẳng AD và Δ.
Câu 9.b (1,0 điểm)
Giải hệ phương trình: 
Đề thi Đại học năm 2013 - Khối B, môn Hóa
BỘ GIÁO DỤC VÀ ĐÀO TẠOĐỀ CHÍNH THỨC |
ĐỀ THI TUYỂN SINH ĐẠI HỌC NĂM 2013MÔN THI: HÓA HỌC - KHỐI B Mã đề thi: 279 |
Cho biết nguyên tử khối của các nguyên tố: H = 1; Li = 7; Be = 9; C = 12; N = 14; O = 16; Na = 23; Mg = 24; Al = 27; S = 32; Cl = 35,5; K = 39; Ca = 40; Fe = 56; Cu = 64; Zn = 65; Br = 80; Rb = 85; Sr = 88; Ag = 108; Cs = 133; Ba = 137.
I. PHẦN CHUNG CHO TẤT CẢ THÍ SINH (40 câu, từ câu 1 đến câu 40)
Câu 1: Trong các polime: tơ tằm, sợi bông, tơvisco, tơnilon-6, tơnitron, những polime có nguồn gốc từ xenlulozơ là
A. sợi bông, tơ visco và tơ nilon-6. B. tơtằm, sợi bông và tơnitron.
C. sợi bông và tơ visco. D. tơ visco và tơ nilon-6.
Câu 2: Phát biểu nào sau đây là đúng?
A. Thành phần chính của supephotphat kép gồm hai muối Ca(H2PO4)2 và CaSO4.
B. Urê có công thức là (NH2)2CO.
C. Supephotphat đơn chỉcó Ca(H2PO4)2.
D. Phân lân cung cấp nitơcho cây trồng.
Câu 3: Hỗn hợp X gồm hai axit cacboxylic đơn chức, mạch hở, kếtiếp nhau trong cùng dãy đồng đẳng. Đốt cháy hoàn toàn 4,02 gam X, thu được 2,34 gam H2O. Mặt khác 10,05 gam X phản ứng vừa đủ với dung dịch NaOH, thu được 12,8 gam muối. Công thức của hai axit là
A. CH3COOH và C2H5COOH. B. C2H5COOH và C3H7COOH.
C. C3H5COOH và C4H7COOH. D. C2H3COOH và C3H5COOH.
Câu 4: Hòa tan hoàn toàn Fe3O4 trong dung dịch H2SO4 loãng (dư), thu được dung dịch X. Trong các chất: NaOH, Cu, Fe(NO3)2, KMnO4, BaCl2, Cl2 và Al, số chất có khả năng phản ứng được với dung dịch X là
A. 4. B. 6. C. 5. D. 7.
Câu 5: Cho các phát biểu sau:
(a) Trong các phản ứng hóa học, flo chỉ thể hiện tính oxi hóa.
(b) Axit flohiđric là axit yếu.
(c) Dung dịch NaF loãng được dùng làm thuốc chống sâu răng.
(d) Trong hợp chất, các halogen (F, Cl, Br, I) đều có số oxi hóa: -1, +1, +3, +5 và +7.
(e) Tính khử của các ion halogenua tăng dần theo thứ tự: F−, Cl−, Br−, I−.
Trong các phát biểu trên, số phát biểu đúng là
A. 3. B. 5. C. 2. D. 4.
Câu 6: Cho sơ đồ phản ứng: C2H2 → X → CH3COOH. Trong sơ đồ trên mỗi mũi tên là một phản ứng, X là chất nào sau đây?
A. CH3COONa. B. HCOOCH3. C. CH3CHO. D. C2H5OH.
Câu 7: Hòa tan hoàn toàn 1,28 gam Cu vào 12,6 gam dung dịch HNO3 60% thu được dung dịch X (không có ion NH+4). Cho X tác dụng hoàn toàn với 105 ml dung dịch KOH 1M, sau đó lọc bỏ kết tủa được dung dịch Y. Cô cạn Y được chất rắn Z. Nung Z đến khối lượng không đổi, thu được 8,78 gam chất rắn. Nồng độ phần trăm của Cu(NO3)2 trong X là
A. 28,66%. B. 29,89%. C. 30,08%. D. 27,09%.
Câu 8: Cho sơ đồ phản ứng: Al2(SO4)3 → X → Y→ Al. Trong sơ đồ trên, mỗi mũi tên là một phản ứng, các chất X, Y lần lượt là những chất nào sau đây?
A. NaAlO2 và Al(OH)3. B. Al(OH)3 và NaAlO2.
C. Al2O3 và Al(OH)3. D. Al(OH)3 và Al2O3.
Câu 9: Tripeptit X và tetrapeptit Y đều mạch hở. Khi thủy phân hoàn toàn hỗn hợp gồm X và Y chỉ tạo ra một amino axit duy nhất có công thức H2NCnH2nCOOH. Đốt cháy 0,05 mol Y trong oxi dư, thu được N2 và 36,3 gam hỗn hợp gồm CO2, H2O. Đốt cháy 0,01 mol X trong oxi dư, cho sản phẩm cháy vào dung dịch Ba(OH)2 dư, thu được m gam kết tủa. Biết các phản ứng đều xảy ra hoàn toàn. Giá trị của m là
A. 11,82. B. 17,73. C. 23,64. D. 29,55.
Câu 10: Hỗn hợp X gồm hiđro, propen, axit acrylic, ancol anlylic (C3H5OH). Đốt cháy hoàn toàn 0,75 mol X, thu được 30,24 lít khí CO2 (đktc). Đun nóng X với bột Ni một thời gian, thu được hỗn hợp Y. Tỉ khối hơi của Y so với X bằng 1,25. Cho 0,1 mol Y phản ứng vừa đủ với V lít dung dịch Br2 0,1M. Giá trị của V là
A. 0,3. B. 0,6. C. 0,4. D. 0,5.
Câu 11: Phát biểu nào sau đây không đúng?
A. Triolein có khả năng tham gia phản ứng cộng hiđro khi đun nóng có xúc tác Ni.
B. Các chất béo thường không tan trong nước và nhẹ hơn nước.
C. Chất béo bị thủy phân khi đun nóng trong dung dịch kiềm.
D. Chất béo là trieste của etylen glicol với các axit béo
Câu 12: Trong các chất: stiren, axit acrylic, axit axetic, vinylaxetilen và butan, số chất có khả năng tham gia phản ứng cộng hiđro (xúc tác Ni, đun nóng) là
A. 4. B. 2. C. 5. D. 3.
Câu 13: Cho giá trị độ âm điện của các nguyên tố: F (3,98); O (3,44); C (2,55); H (2,20); Na (0,93). Hợp chất nào sau đây là hợp chất ion?
A. NaF. B. CO2. C. CH4. D. H2O.
Câu 14: Cho 200 ml dung dịch Ba(OH)2 0,1M vào 300 ml dung dịch NaHCO3 0,1M, thu được dung dịch X và kết tủa Y. Cho từ từ dung dịch HCl 0,25M vào X đến khi bắt đầu có khí sinh ra thì hết V ml. Biết các phản ứng đều xảy ra hoàn toàn. Giá trị của V là
A. 80. B. 40. C. 160. D. 60.
Câu 15: Hòa tan hoàn toàn x mol Fe vào dung dịch chứa y mol FeCl3 và z mol HCl, thu được dung dịch chỉ chứa một chất tan duy nhất. Biểu thức liên hệ giữa x, y và z là
A. 2x = y + 2z. B. 2x = y + z. C. x = y – 2z. D. y = 2x.
Câu 16: Tên gọi của anken (sản phẩm chính) thu được khi đun nóng ancol có công thức (CH3)2CHCH(OH)CH3 với dung dịch H2SO4 đặc là
A. 3-metylbut-2-en. B. 2-metylbut-1-en. C. 2-metylbut-2-en. D. 3-metylbut-1-en
Câu 17: Hai chất hữu cơ X và Y, thành phần nguyên tố đều gồm C, H, O, có cùng số nguyên tử cacbon (MX < MY). Khi đốt cháy hoàn toàn mỗi chất trong oxi dư đều thu được số mol H2O bằng số mol CO2. Cho 0,1 mol hỗn hợp gồm X và Y phản ứng hoàn toàn với lượng dư dung dịch AgNO3 trong NH3, thu được 28,08 gam Ag. Phần trăm khối lượng của X trong hỗn hợp ban đầu là
A. 39,66%. B. 60,34%. C. 21,84%. D. 78,16%.
Câu 18: Điện phân nóng chảy Al2O3 với các điện cực bằng than chì, thu được m kilogam Al ở catot và 89,6 m3 (đktc) hỗn hợp khí X ở anot. Tỉ khối của X so với H2 bằng 16,7. Cho 1,12 lít X (đktc) phản ứng với dung dịch Ca(OH)2 dư, thu được 1,5 gam kết tủa. Biết các phản ứng xảy ra hoàn toàn. Giá trị của m là
A. 144,0. B. 104,4. C. 82,8. D. 115,2.
Câu 19: Cho phương trình hóa học của phản ứng: X + 2Y → Z + T. Ở thời điểm ban đầu, nồng độ của chất X là 0,01 mol/l. Sau 20 giây, nồng độ của chất X là 0,008 mol/l. Tốc độ trung bình của phản ứng tính theo chất X trong khoảng thời gian trên là
A. 4,0.10−4mol/(l.s). B. 1,0.10−4mol/(l.s). C. 7,5.10−4 mol/(l.s). D. 5,0.10−4 mol/(l.s).
Câu 20: Số đồng phân amin bậc một, chứa vòng benzen, có cùng công thức phân tử C7H9N là
A. 3. B. 2. C. 5. D. 4.
Câu 21: Axit cacboxylic X hai chức (có phần trăm khối lượng của oxi nhỏ hơn 70%), Y và Z là hai ancol đồng đẳng kế tiếp (MY < MZ). Đốt cháy hoàn toàn 0,2 mol hỗn hợp gồm X, Y, Z cần vừa đủ 8,96 lít khí O2 (đktc), thu được 7,84 lít khí CO2 (đktc) và 8,1 gam H2O. Phần trăm khối lượng của Y trong hỗn hợp trên là
A. 15,9%. B. 29,9%. C. 29,6%. D. 12,6%.
Câu 22: Thể tích dung dịch NaOH 0,25M cần cho vào 15 ml dung dịch Al2(SO4) 3 0,5M để thu được lượng kết tủa lớn nhất là
A. 210 ml. B. 60 ml. C. 90 ml. D. 180 ml.
Câu 23: Hòa tan hoàn toàn hỗn hợp gồm 2,8 gam Fe và 1,6 gam Cu trong 500 ml dung dịch hỗn hợp HNO3 0,1M và HCl 0,4M, thu được khí NO (khí duy nhất) và dung dịch X. Cho X vào dung dịch AgNO3 dư, thu được m gam chất rắn. Biết các phản ứng đều xảy ra hoàn toàn, NO là sản phẩm khử duy nhất của N+5 trong các phản ứng. Giá trị của m là
A. 29,24. B. 30,05. C. 34,10. D. 28,70.
Câu 24: Cho các phát biểu sau:
(a) Các chất CH3NH2, C2H5OH, NaHCO3 đều có khả năng phản ứng với HCOOH.
(b) Phản ứng thế brom vào vòng benzen của phenol (C6H5OH) dễ hơn của benzen.
(c) Oxi hóa không hoàn toàn etilen là phương pháp hiện đại để sản xuất anđehit axetic.
(d) Phenol (C6H5OH) tan ít trong etanol.
Trong các phát biểu trên, số phát biểu đúng là
A. 4. B. 2. C. 3. D. 1.
Câu 25: Hỗn hợp X gồm ancol metylic, etylen glicol. Cho m gam X phản ứng hoàn toàn với Na dư, thu được 2,24 lít khí H2 (đktc). Đốt cháy hoàn toàn m gam X, thu được a gam CO2. Giá trị của a là
A. 2,2. B. 4,4. C. 8,8. D. 6,6.
Câu 26: Một loại nước cứng khi đun sôi thì mất tính cứng. Trong loại nước cứng này có hòa tan những hợp chất nào sau đây?
A. Ca(HCO3)2, Mg(HCO3)2. B. Ca(HCO3)2, MgCl2. C. CaSO4, MgCl2. D. Mg(HCO3)2, CaCl2.
Câu 27: Amino axit X có phân tử khối bằng 75. Tên của X là
A. alanin. B. glyxin. C. valin. D. lysin.
Câu 28: Cho 3,36 lít khí hiđrocacbon X (đktc) phản ứng hoàn toàn với lượng dư dung dịch AgNO3 trong NH3, thu được 36 gam kết tủa. Công thức phân tử của X là
A. C4H4. B. C3H4. C. C4H6. D. C2H2.
Câu 29: Hỗn hợp X gồm FeO, Fe2O3 và Fe3O4. Cho khí CO qua m gam X nung nóng, sau một thời gian thu được hỗn hợp chất rắn Y và hỗn hợp khí Z. Cho toàn bộ Z vào dung dịch Ca(OH)2 dư, đến phản ứng hoàn toàn, thu được 4 gam kết tủa. Mặt khác, hòa tan hoàn toàn Y trong dung dịch H2SO4 đặc, nóng (dư), thu được 1,008 lít khí SO2 (đktc, sản phẩm khử duy nhất) và dung dịch chứa 18 gam muối. Giá trị của m là
A. 6,80. B. 7,12. C. 13,52. D. 5,68.
Câu 30: Cacbohiđrat nào sau đây thuộc loại đisaccarit?
A. Amilozơ. B. Saccarozơ. C. Glucozơ. D. Xenlulozơ.
Câu 31: Cho 0,76 gam hỗn hợp X gồm hai amin đơn chức, có số mol bằng nhau, phản ứng hoàn toàn với dung dịch HCl dư, thu được 1,49 gam muối. Khối lượng của amin có phân tử khối nhỏ hơn trong 0,76 gam X là
A. 0,58 gam. B. 0,31 gam. C. 0,45 gam. D. 0,38 gam.
Câu 32: Số proton và số nơtron có trong một nguyên tử nhôm (2713Al) lần lượt là
A. 13 và 14. B. 13 và 15. C. 12 và 14. D. 13 và 13.
Câu 33: Hấp thụ hoàn toàn 2,24 lít khí CO2 (đktc) vào 750 ml dung dịch Ba(OH)2 0,2M, thu được m gam kết tủa. Giá trị của m là
A. 29,55. B. 19,70. C. 9,85. D. 39,40
Câu 34: Cho m gam một oxit sắt phản ứng vừa đủ với 0,75 mol H2SO4, thu được dung dịch chỉ chứa một muối duy nhất và 1,68 lít khí SO2 (đktc, sản phẩm khử duy nhất của S+6). Giá trị của m là
A. 24,0. B. 34,8. C. 10,8. D. 46,4.
Câu 35: Khi hòa tan hoàn toàn m gam mỗi kim loại vào nước dư, từ kim loại nào sau đây thu được thể tích khí H2 (cùng điều kiện nhiệt độ và áp suất) là nhỏ nhất?
A. K. B. Na. C. Li. D. Ca.
Câu 36: Cho phản ứng: FeO + HNO3 → Fe(NO3)3 + NO + H2O. Trong phương trình của phản ứng trên, khi hệ số của FeO là 3 thì hệ số của HNO3 là
A. 6. B. 8. C. 4. D. 10.
Câu 37: Chất nào sau đây trong phân tử chỉ có liên kết đơn?
A. Metyl fomat. B. Axit axetic. C. Anđehit axetic. D. Ancol etylic.
Câu 38: Hỗn hợp X gồm hai kim loại kiềm và một kim loại kiềm thổ. Hòa tan hoàn toàn 1,788 gam X vào nước, thu được dung dịch Y và 537,6 ml khí H2 (đktc). Dung dịch Z gồm H2SO4 và HCl, trong đó số mol của HCl gấp hai lần số mol của H2SO4. Trung hòa dung dịch Y bằng dung dịch Z tạo ra m gam hỗn hợp muối. Giá trị của m là
A. 4,460. B. 4,656. C. 3,792. D. 2,790.
Câu 39: Thủy phân hoàn toàn m1 gam este X mạch hở bằng dung dịch NaOH dư, thu được m2 gam ancol Y (không có khả năng phản ứng với Cu(OH)2) và 15 gam hỗn hợp muối của hai axit cacboxylic đơn chức. Đốt cháy hoàn toàn m2 gam Y bằng oxi dư, thu được 0,3 mol CO2 và 0,4 mol H2O. Giá trị của m1 là
A. 14,6. B. 11,6. C. 10,6. D. 16,2.
Câu 40: Dung dịch X chứa 0,12 mol Na+; x mol SO2-4; 0,12 mol Cl− và 0,05 mol NH+4. Cho 300 ml dung dịch Ba(OH)2 0,1M vào X đến khi các phản ứng xảy ra hoàn toàn, lọc bỏ kết tủa, thu được dung dịch Y. Cô cạn Y, thu được m gam chất rắn khan. Giá trị của m là
A. 7,190. B. 7,705. C. 7,875. D. 7,020.
Đề thi Đại học năm 2013 - Khối B, môn Sinh
Đáp án tham khảo đề Sinh học khối B mã đề 958:






