Chức năng của nội tiết
Tuyến nội tiết có chức năng:
Tuyến nội tiết có chức năng tiết hormone trực tiếp vào máu thực hiện điều hòa các quá trình sinh lí của cơ thể.
Mời các bạn cùng nhau thử sức với bài kiểm tra cuối kì 2 Khoa học tự nhiên 8 Kết nối tri thức.
Chức năng của nội tiết
Tuyến nội tiết có chức năng:
Tuyến nội tiết có chức năng tiết hormone trực tiếp vào máu thực hiện điều hòa các quá trình sinh lí của cơ thể.
Sự thay đổi các tính chất vật lí, hóa học, sinh học của môi trường,
Sự thay đổi các tính chất vật lí, hóa học, sinh học của môi trường, gây tác hại lên đời sống của con người và các sinh vật khác gọi là
Sự thay đổi các tính chất vật lí, hóa học, sinh học của môi trường, gây tác hại lên đời sống của con người và các sinh vật khác gọi là ô nhiễm môi trường.
Quần thể sinh vật
Một quần thể sinh vật phải thỏa mãn các điều kiện nào sau đây?
(1) Tập hợp các cá thể cùng loài.
(2) Các cá thể phải cùng sống trong một khoảng không gian xác định, tại cùng một thời điểm.
(3) Các cá thể phải có mối quan hệ dinh dưỡng với nhau.
(4) Giữa các cá thể có khả năng sinh sản tạo ra cá thể mới.
(5) Giữa các cá thể có mối quan hệ hỗ trợ lẫn nhau.
Quần thể là tập hợp các cá thể cùng loài, cùng sinh sống trong một khoảng không gian xác định, vào một thời điểm nhất định và có khả năng sinh sản tạo nên những thế hệ mới.
→ (1), (2), (4) đúng.
Nhân tố sinh thái ảnh hưởng đến hình thái, cấu tạo của thực vật
Thực vật sống ở vùng sa mạc khô hạn thường có: thân mọng nước, rễ rất dài, ăn sâu vào lòng đất hoặc bò lan rộng và nông trên mặt đất, lá có kích thước nhỏ hoặc tiêu biến thành gai. Nhân tố sinh thái nào không ảnh hưởng tới hình thái, cấu tạo của thực vật trong trường hợp này?
Sa mạc có điều kiện khí hậu khắc nghiệt, nắng nóng, khô hạn, nhiệt độ chênh lệch giữa ngày và đêm cao. Do đó, thực vật sống ở sa mạc thường có thân mọng nước giúp dự trữ nước, lá tiêu giảm hoặc biến thành gai để hạn chế thoát hơi nước, rễ đâm sâu hoặc lan rộng để hút được nhiều nước.
→ Gió không ảnh hưởng tới hình thái, cấu tạo của thực vật trong trường hợp này.
Ý nghĩa của hoạt động
Đối với hoạt động bảo vệ các loài thiên địch của các loài sinh vật hại cây trồng, ý nghĩa chủ yếu của hoạt động đó mang lại:
Đối với hoạt động bảo vệ các loài thiên địch của các loài sinh vật hại cây trồng ý nghĩa chủ yếu của hoạt động đó mang lại hạn chế ô nhiễm hóa chất bảo vệ thực vật.
Nội dung đúng
Nhận định nào sau đây đúng.
Yếu tố ảnh hưởng quyết định đến độ đa dạng của quần xã là điều kiện khí hậu trong quần xã. Điều kiện khí hậu càng thuận lợi thì độ đa dạng của quần xã càng cao do có nhiều loài sinh vật có thể thích nghi.
Số phát biểu đúng
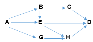
Giả sử một quần xã có lưới thức ăn gồm 7 loài được kí hiệu là: A, B, C, D, E, G, H. Trong đó loài A là sinh vật sản xuất, các loài còn lại là sinh vật tiêu thụ. Có bao nhiêu phát biểu sau đây đúng khi nói về lưới thức ăn này?

(1) Chuỗi thức ăn dài nhất có 4 bậc dinh dưỡng.
(2) Có tổng số 6 chuỗi thức ăn.
(3) Nếu giảm số lượng cá thể của loài A thì tất cả các loài còn lại đều giảm số lượng cá thể.
(4) Nếu loài E bị giảm số lượng thì loài G sẽ tăng số lượng.
(5) Số lượng cá thể sinh vật A lớn nhất trong các sinh vật khác trên một đơn vị diện tích hay thể tích ở mỗi bậc dinh dưỡng.
Cả 4 phát biểu đều đúng.
(1) sai vì chuỗi thức ăn dài nhất có 5 bậc dinh dưỡng:
A → B → E → H → D.
(2) đúng. Có tổng số 6 chuỗi thức ăn.

A → B → E → H → D.
A → B → E → D
A → B → C → D.
A → E → H → D.
A → E → D.
A → G → H → D.
(3) đúng. A là đầu mối của tất cả các chuỗi thức ăn, thường là các sinh vật sản xuất.
(4) sai vì Nếu loài E bị giảm số lượng thì loài G sẽ giảm số lượng vì loài H sẽ ăn loài G nhiều hơn.
(5) đúng
Tác dụng hóa học
Dòng điện được sử dụng trong trường hợp nào dưới đây sẽ có tác dụng hóa học?
Dòng điện chạy qua con muỗi bị mắc ở vợt muỗi gây ra tác dụng sinh lí
Sử dụng bàn là điện do tác dụng nhiệt.
Bóng đèn sợi đốt phát sáng gây ra tác dụng nhiệt và tác dụng phát sáng.
Nguyên nhân giúp cho dòng không khí từ bên ngoài đi vào phổi
Khi người hít thở bình thường, nguyên nhân nào sau đây giúp cho dòng không khí từ bên ngoài đi vào trong phổi?
Khi hít vào: Cơ liên sườn ngoài co kéo xương ức và xương sườn nâng lên và ra hai bên giúp lồng ngực mở rộng ra; cơ hoành co giúp lồng ngực mở rộng thêm phía bên dưới → Thể tích lồng ngực tăng giúp không khí tràn vào phổi.
Chọn phát biểu sai
Chọn phát biểu sai:
Khi một vật rắn được làm lạnh đi thì co lại tức là thể tích của vật giảm đi.
Hiện tượng nổi da gà
Hiện tượng nổi da gà khi trời lạnh, nguyên nhân chính gây ra hiện tượng đó là:
Nguyên nhân chính gây ra hiện tượng nổi da gà khi trời lạnh là do co cơ dựng lông.
Khi trời lạnh, thụ thể nhiệt trên da và nhiệt độ của máu giảm kích thích trung tâm điều nhiệt ở vùng dưới đồi nhận tín hiệu thân nhiệt lạnh, vùng dưới đồi sẽ gửi tín hiệu đến mao mạch và tuyến mồ hôi ở da để kích hoạt cơ chế làm ấm, làm cơ dựng lông co, ngưng tiết mồ hôi, run cơ và tăng trao đổi chất → Thân nhiệt về mức cân bằng.
Nhận xét không đúng
Cho sơ đồ mạch điện như sau:

Nhận xét nào sau đây đúng về sơ đồ mạch điện trên:
Mạch điện gồm 2 pin, một đèn LED, một ampe kế, một cầu chì, các dây dẫn điện.
Vẽ sơ đồ mạch điện
Trong giờ thực hành, các bạn học sinh phải mắc một mạch điện song song gồm các dụng cụ sau: một nguồn điện, một công tắc, hai đèn Đ1 và Đ2, một ampe kế đo cường độ dòng điện qua đèn Đ1 và các dây nối. Vẽ sơ đồ mạch điện trên. Ghi rõ chốt của ampe kế.
Dựa vào kiến thức mắc song song và mắc Ampe kế:
Để đo cường độ dòng điện, cần mắc ampe kế sao cho dòng điện cần đo trong dây dẫn đi vào chốt dương của ampe kế và đi ra khỏi chốt âm của ampe kế.
Một mạch điện song song gồm các dụng cụ sau: một nguồn điện, một công tắc, hai đèn Đ1 và Đ2, một ampe kế đo cường độ dòng điện qua đèn Đ1 và các dây nối

Chuỗi và lưới thức ăn biểu thị mối quan hệ gì
Chuỗi và lưới thức ăn biểu thị mối quan hệ sau đây giữa các loài sinh vật trong hệ sinh thái?
Chuỗi và lưới thức ăn biểu thị mối quan hệ dinh dưỡng giữa các sinh vật với nhau giữa các loài sinh vật trong hệ sinh thái
Nhận xét không đúng
Kết quả xét nghiệm nồng độ glucose và uric acid trong máu của một bệnh nhân nam là 9,8 mmol/L, chỉ số uric acid trong máu là 171 µmol/L (mẫu máu được lấy xét nghiệm vào lúc bệnh nhân chưa ăn trong vòng 8 giờ trở lên). Nhận xét nào sau đây về kết quả xét nghiệm là chưa chính xác.
Kết quả xét nghiệm của bệnh nhân này cho thấy:
+ Chỉ số glucose trong máu là 9,8 mmol/L, cao hơn nhiều so với mức bình thường (< 5,6) → Dự đoán: Bệnh nhân này đã mắc bệnh tiểu đường nếu mẫu máu được lấy xét nghiệm vào lúc bệnh nhân chưa ăn trong vòng 8 giờ trở lên.
+ Chỉ số uric acid trong máu là 171 µmol/L, thấp hơn so với mức bình thường → Dự đoán: Bệnh nhân có nguy cơ mắc các bệnh rối loạn chức năng gan, thận.
Số nhận định đúng
Cho các nhận định sau:
(1) Dòng điện là dòng chuyển dời có hướng của các hạt mang điện.
(2) Hai vật mang điện cùng dấu sẽ hút nhau.
(3) Trong một mạch điện, khi dòng điện lớn quá, dây cầu chì tự mở rộng để cho dòng điện đi qua dễ dàng hơn.
(4) Để tồn tại dòng điện cần có nguồn điện cung cấp năng lượng điện.
Số nhận định đúng là:
(1) Đúng
(2) Sai
Hai vật mang điện cùng dấu sẽ đẩy nhau.
(3) Sai.
Trong một mạch điện, khi dòng điện lớn quá, dây cầu chì bị đứt để ngắt dòng điện qua mạch.
(4) Đúng
Thành phần các loài trong quần xã
Loài chỉ có ở một quần xã hoặc có số lượng nhiều hơn các loài khác trong quần xã được gọi là:
Loài đặc trưng: loài chỉ có ở một quần xã hoặc có số lượng nhiều hơn các loài khác trong quần xã.
Ví dụ: cây tràm là loài đặc trưng của quần xã rừng U Minh
Tính nhiệt độ T2
Người ta đổ 1 kg nước ở nhiệt độ t1 = 10oC vào một bình cách nhiệt chứa 1 kg nước nóng ở nhiệt độ t2. Khi có cân bằng nhiệt trong bình thì nhiệt độ trong bình là t = 30oC. Hãy xác định nhiệt độ t2. Biết 1 kg nước nhận thêm nhiệt năng (hoặc mất bớt nhiệt năng) 4 200 J thì nóng thêm 1oC (hoặc giảm đi 1oC). Bỏ qua sự trao đổi nhiệt năng giữa nước với bình cách nhiệt và một trường.
Khi có cân bằng nhiệt trong bình, nhiệt độ của 1 kg nước lạnh tăng thêm:
30 - 10 = 20oC
Nhiệt năng của 1 kg nước lạnh thu thêm là: 4 200 . 20 = 84 000 J
Nhiệt độ ban đầu của 1 kg nước nóng là: t2 = 84 000 : (4 200 + 30) = 50oC
Vật không dẫn điện
Vật nào dưới đây không dẫn điện?
Thước sắt, nước biển, cơ thể người đều dẫn điện
Hiện tượng liên quan đến dẫn nhiệt
Trong các hiện tượng nào sau đây, hiện tượng nào liên quan đến dẫn nhiệt?
Năng lượng Mặt Trời truyền xuống Trái Đất bằng bức xạ nhiệt.
Sưởi ấm người dưới ánh đèn halogen trong phòng tăm vào mùa rét bằng bức xạ nhiệt.
Khói bốc lên cao từ đám cháy bằng hình thức đối lưu
Số nội dung đúng
Cho các nội dung sau:
(1) Nhiệt lượng là phần năng lượng nhiệt mà vật nhận thêm hay mất đi trong quá trình truyền năng lượng nhiệt.
(2) Tổng động năng và thế năng của các phân tử cấu tạo nên vật được gọi là nội năng của vật.
(3) Chỉ những vật có nhiệt độ cao mới có nhiệt năng.
(4) Nhiệt độ của vật càng cao thì nhiệt lượng của vật càng lớn.
Số nội dung đúng là:
(3) sai
Mọi vật đều có nhiệt năng.
(4) sai
Nhiệt lượng mới là phần nhiệt năng mà vật nhận được hay mất đi trong quá trình truyền nhiệt, không phải đại lượng đặc trưng cho vật nên không phụ thuộc vào nhiệt độ, khối lượng cũng như vận tốc chuyển động nhiệt.
Thiếu chất nào dễ dẫn đến bệnh bướu cổ
Khẩu phần ăn thiếu chất nào sau đây có thể dẫn đến bướu cổ.
Khẩu phần ăn thiếu iodine có thể dẫn đến bệnh bướu cổ vì iodine là chất cần thiết để tuyến giáp sản xuất hormone T3, T4. Khi không có đủ iodine, tuyến giáp sẽ làm việc nhiều hơn để tổng hợp đủ lượng hormone mà cơ thể cần, dẫn đến làm tăng thể tích tuyến giáp gây bệnh bướu cổ.
Bệnh dễ truyền nhiễm qua đường tiêu hóa
Những bệnh nào sau đây dễ truyền nhiễm qua đường tiêu hóa?
Những bệnh dễ truyền nhiễm qua đường tiêu hóa:
Bệnh thương hàn và bệnh kiết lị.
Bảo vệ thiên nhiên hoang dã
Để bảo vệ thiên nhiên hoang dã, cần ngăn chặn hoạt động nào dưới đây?
Để bảo vệ thiên nhiên hoang dã, cần ngăn chặn hoạt động săn bắt các loại động vật thú dữ, ăn thịt
Thường mặc quần áo sáng màu che kín những ngày nắng nóng do
Những ngày nắng nóng, nhiệt độ ngoài trời thường rất cao, người dân thường mặc quần áo sáng màu và che kín cơ thể để:
Những ngày nắng nóng, nhiệt độ ngoài trời thường rất cao, người dân thường mặc quần áo sáng màu và che kín cơ thể để hạn chế sự hấp thu nhiệt, chống mất nước của cơ thể.
Người bị quáng gà
Người bị quáng gà (không nhìn rõ vật vào lúc hoàng hôn) là do:
Vì trong các tế bào cảm nhận thị giác của người mắc bệnh quáng gà tế bào que hoạt động kémvốn rất mẫn cảm với cường độ chiếu sáng thấp.
Số nội dung đúng
Cho các nội dung sau:
(1) Mỗi loại hormone chỉ ảnh hưởng đến một hoặc một số cơ quan trong cơ thể.
(2) Bệnh tháo đường do bất thường ở tuyến yên.
(3) Tuyến ức kích thích sự phát triển của các tế bào lympho T.
(4) Insulin và Calcitonin. là hai loại hormone có tác dụng sinh lí trái ngược nhau.
(5) Những tuyến nội tiết có chức năng điều hoà chu kì sinh dục ở nam và nữ là vùng dưới đồi, tuyến yên, tuyến sinh dục.
Nội dung đúng là:
(2) sai Bệnh tháo đường do bất thường tuyến tụy
(4) sai
Insulin và glucagon là hai loại hormone có tác dụng sinh lí trái ngược nhau
Đơn vị của hiệu điện thế
Phát biểu nào dưới đây là sai? Đơn vị của hiệu điện thế là:
Cường độ dòng điện được đo bằng ampe kế, có đơn vị là ampe (A).
Đo cường độ dòng điện
Để đo cường độ dòng điện qua vật dẫn, người ta mắc
Để đo cường độ dòng điện qua vật dẫn, người ta mắc ampe kế nối tiếp với vật dẫn.
Nước nguội dần là do
Rót nước sôi vào cốc thủy tinh đặt trên bàn gỗ. Nước nguội dần là do:
Rót nước sôi vào cốc thủy tinh đặt trên bàn gỗ. Nước nguội dần là do sự đối lưu của các dòng khí tiếp xúc với cốc và mặt nước
Theo Nghị định 147/2024/ND-CP, bạn cần xác thực tài khoản trước khi sử dụng tính năng này. Chúng tôi sẽ gửi mã xác thực qua SMS hoặc Zalo tới số điện thoại mà bạn nhập dưới đây: