Đề thi học sinh giỏi Giải toán trên máy tính cầm tay tỉnh Đăk Nông năm 2011 môn Toán lớp 12
Vndoc.com xin giới thiệu đến các bạn: Đề thi học sinh giỏi Giải toán trên máy tính cầm tay tỉnh Đăk Nông năm 2011 môn Toán lớp 12.
Đề thi học sinh giỏi môn Toán:
SỞ GIÁO DỤC VÀ ĐÀO TẠO
|
KỲ THI HỌC SINH GIỎI CẤP TỈNH GIẢI TOÁN TRÊN MÁY
|
MÔN THI: TOÁN LỚP 12
Thời gian làm bài: 150 phút (không kể thời gian giao đề)
--------------------------------------------------------------------------------
Bài 1: (2.0 điểm)
Tính tích phân sau: ![]()
Bài 2: (2.0 điểm)
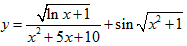
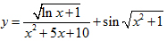
Tìm giá trị lớn nhất và giá trị nhỏ nhất của hàm số ![]()
Bài 3: (2.0 điểm)
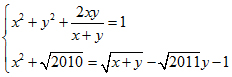
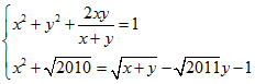
Giải hệ phương trình: 
Bài 4: (2,0 điểm)
Tìm m để hàm số
có khoảng cách giữa các điểm cực đại và cực tiểu là nhỏ nhất.
Bài 5: (2.0 điểm)
Giải phương trình: log2009x = 2010 - 2011x
Bài 6: (2.0 điểm)
Tìm 3 chữ số cuối của số tự nhiên: 124 + 1234 + 12344 + 123454
Bài 7: (2.0 điểm)
Tính giá trị đạo hàm của hàm số
tại điểm xo là hoành độ giao điểm của hai đồ thị: y = -2x2 và y = (x2 - 3x + 2)(x2 - 12x + 32)
Bài 8: (2.0 điểm)
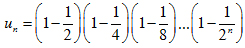
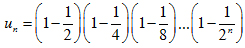
Cho dãy số: ![]()
a) Lập quy trình bấm phím tính un và Sn
b) Tính u5, u10 và S10
Bài 9: (2.0 điểm)
a/ Tính giá trị gần đúng biểu thức sau: 
b/ Cho dãy số
. Tính giá trị chính xác của và các giá trị gần đúng của u10, u15, u20
Bài 10: (2.0 điểm)
Cho hình chóp có SA = x và tất cả các cạnh còn lại có độ dài bằng 2. Tìm x để thể tích của khối chóp bằng
.