Đề thi học sinh giỏi TP Hồ Chí Minh lớp 12 THPT năm 2012 - 2013 môn Toán (vòng 1)
Vndoc.com xin gửi đến các bạn: Đề thi học sinh giỏi TP Hồ Chí Minh lớp 12 THPT năm 2012 - 2013 môn Toán (vòng 1).
Đề thi học sinh giỏi môn Toán:
SỞ GIÁO DỤC VÀ ĐÀO TẠO
|
KỲ THI CHỌN ĐỘI TUYỂN HỌC SINH GIỎI
|
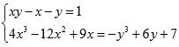
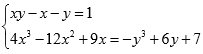
Bài 1. (4 điểm)
Giải hệ phương trình:
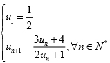
Bài 2. (4 điểm)
Cho dãy số (un) xác định bởi:
Chứng minh dãy số (un) có giới hạn hữu hạn và tìm giới hạn đó
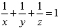
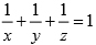
Bài 3. (4 điểm)
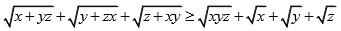
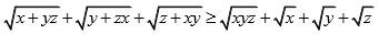
Cho x, y, z là các số dương thỏa mãn
. Chứng minh:![]()
Bài 4. (4 điểm)
Cho tam giác nhọn ABC với các đường cao AH, BK nội tiếp đường tròn (O). Gọi M là một điểm di động trên cung nhỏ BC của đường tròn (O) sao cho các đường thẳng AM và BK cắt nhau tại E; các đường thẳng BM và AH cắt nhau tại F. Chứng minh rằng khi M di động trên cung nhỏ BC của đường tròn (O) thì trung điểm của đoạn EF luôn nằm trên một đường thẳng cố định.
Bài 5. (4 điểm)
Tìm tất cả các đa thức P(x) hệ số thực thỏa mãn: ![]()