Đề thi thử Đại học năm 2013 - môn Toán (Đề 1)
ĐỀ THI THỬ ĐẠI HỌC - CAO ĐẲNG
NĂM 2012 - 2013
MÔN THI: TOÁN
Đề số 01
A. PHẦN CHUNG CHO TẤT CẢ CÁC THÍ SINH (7 điểm):
Câu I (2 điểm): Cho hàm số y = x3 - 3mx2 + 3(m2 - 1)x - m3 + m (1)
1. Khảo sát sự biến thiên và vẽ đồ thị của hàm số (1) ứng với m=1
2. Tìm m để hàm số (1) có cực trị đồng thời khoảng cách từ điểm cực đại của đồ thị hàm số đến góc tọa độ O bằng
lần khoảng cách từ điểm cực tiểu của đồ thị hàm số đến góc tọa độ O.
Câu II (2 điểm):
1. Giải phương trình: 
2. Giải phương trình:

Câu III (1 điểm): Tính tích phân 
Câu IV (1 điểm): Cho hình chóp S.ABCD có đáy là hình vuông cạnh a, SA vuông góc với đáy và SA = a. Gọi M,N lần lượt là trung điểm của SB và SD; I là giao điểm của SC và mặt phẳng (AMN). Chứng minh SC vuông góc với AI và tính thể tích khối chóp MBAI.
Câu V (1 điểm): Cho x,y,z là ba số thực dương có tổng bằng 3. Tìm giá trị nhỏ nhất của biểu thức P = 3(x2 + y2 + z2) -2xyz.
B. PHẦN TỰ CHỌN (3 điểm): Thí sinh chỉ được chọn một trong hai phàn (phần 1 hoặc 2)
1.Theo chương trình chuẩn:
Câu VIa (2 điểm):
1. Trong mặt phẳng với hệ toạ độ Oxy cho điểm C(2;-5 ) và đường thẳng d: 3x - 4y + 4 = 0. Tìm trên d hai điểm A và B đối xứng nhau qua I(2;5/2) sao cho diện tích tam giác ABC bằng15.
2. Trong không gian với hệ toạ độ Oxyz cho mặt cầu (S): x2 + y2 + z2 - 2x = 6y - 4z - 2 = 0. Viết phương trình mặt phẳng (P) song song với giá của véc tơ v (6; 1; 2), vuông góc với mặt phẳng (A): x + 4y + z - 11 = 0 và tiếp xúc với (S).
Câu VIIa (1 điểm): Tìm hệ số x4 của trong khai triển Niutơn của biểu thức: P = (1 + 2x + 3x2)10
2. Theo chương trình nâng cao:
Câu VIb (2 điểm):
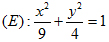
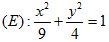
1. Trong mặt phẳng với hệ toạ độ Oxy cho elíp
và hai điểm A(3;-2) , B(-3;2). Tìm trên (E) điểm C có hoành độ và tung độ dương sao cho tam giác ABC có diện tích lớn nhất.
2.Trong không gian với hệ toạ độ Oxyz cho mặt cầu (S): x2 + y2 + z2 - 2x = 6y - 4z - 2 = 0. Viết phương trình mặt phẳng (P) song song với giá của véc tơ v (6; 1; 2), vuông góc với mặt phẳng (A): x + 4y + z - 11 = 0 và tiếp xúc với (S).
Câu VIIb (1 điểm):
Tìm số nguyên dương n sao cho thoả mãn: 