Đề thi thử đại học năm 2014 trường THPT chuyên Lương Văn Chánh
Đề thi thử tuyển sinh đại học môn Toán
TRƯỜNG THPT CHUYÊN
|
ĐỀ THI THỬ ĐẠI HỌC LẦN I NĂM 2014
|
I. PHẦN CHUNG CHO TẤT CẢ CÁC THÍ SINH (7,0 điểm)
Câu I (2,0 điểm). Cho hàm số y = x3 – 3x2 + (m – 2)x + 3m (Cm) (m là tham số).
1. Khảo sát và vẽ đồ thị hàm số ứng với m = 2.
2. Tìm m để tiếp tuyến có hệ số góc nhỏ nhất của đồ thị (Cm) của hàm số đã cho vuông góc với đường thẳng (d): x – y + 2 = 0 .
Câu II (2,0 điểm)
1. Giải phương trình:![]()
2. Tính:![]()
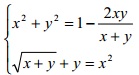
Câu III (1,0 điểm) Giải hệ phương trình:
Câu IV (1,0 điểm)
Cho hình chóp tứ giác đều S.ABCD có cạnh đáy bằng a và cạnh bên bằng
. Điểm M là trung điểm của cạnh SA. Tính thể tích tứ diện SMBD.
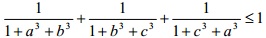
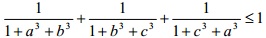
Câu V (1,0 điểm) Cho a, b, c là ba số thực dương thỏa mãn abc = 1. Chứng minh rằng:![]()
II. PHẦN RIÊNG (3,0 điểm).
Câu VIa (3,0 điểm). DÀNH CHO THÍ SINH THI KHỐI: A, A1, B
1.a) Trong mặt phẳng tọa độ Oxy, cho hai đường thẳng d1: 2x + 2y – 1 = 0; d2: 4x – √2 y + 3 = 0. Gọi A là giao điểm của d1 và d2. Viết phương trình đường thẳng qua M (4; -2) và lần lượt cắt d1, d2 tại B, C sao cho tam giác ABC cân tại A.
2.a) Một tổ học sinh có 4 em Nữ và 5 em Nam được xếp thành một hàng dọc. Tính xác suất để chỉ có hai em nữ A , B đứng cạnh nhau còn các em nữ còn lại không đứng cạnh nhau và cũng không đứng cạnh A, B.
3.a) Tìm m để bất phương trình sau có nghiệm thuộc đoạn [0; 1 + √3]
![]()
Câu VIb (3điểm). DÀNH CHO THÍ SINH THI KHỐI: D, D1, M
1.b) Trong mặt phẳng tọa độ Oxy, cho đường tròn (C): x2 + y2 – 4x – 2y – 4 = 0. Viết phương trình đường thẳng qua M(1; 4) và tiếp xúc với đường tròn (C).
2.b) Tìm hệ số của x10 trong khai triển Niu tơn đa thức
với n là số tự nhiên thỏa mãn: ![]()
3.b) Xác định m để bất phương trình:
nghiệm đúng với mọi x thuộc tập xác định