Đề thi tuyển sinh lớp 10 THPT tỉnh Bạc Liêu năm học 2010 - 2011 môn Toán (Chuyên) - Có đáp án
Nhằm giúp các bạn chuẩn bị thật tốt kiến thức để làm bài thi đạt hiệu quả cao, Vndoc.com xin giới thiệu: Đề thi tuyển sinh lớp 10 THPT tỉnh Bạc Liêu năm học 2010 - 2011 môn Toán (Chuyên) - Có đáp án.
Đề thi tuyển sinh lớp 10 môn Toán (Chuyên):
SỞ GIÁO DỤC VÀ ĐÀO TẠO
|
KỲ THI TUYỂN SINH LỚP 10 THPT
|
MÔN THI: TOÁN (Chuyên)
Thời gian làm bài 150 phút: (không kể thời gian giao đề)
--------------------------------------------------------------------------------
Câu 1 (2,0 điểm).
Chứng minh rằng n3 + 3n2 + 2n chia hết cho 6 với mọi n là số tự nhiên khác 0.
Câu 2 (2,0 điểm).
Cho phương trình: x2 - (2m + 3)x + m - 3 = 0 (với m là tham số)
a. Chứng tỏ rằng phương trình luôn có nghiệm với mọi tham số m
b. Gọi x1, x2 là các nghiệm của phương trình trên. Tìm m để |x1 - x2| đạt giá trị nhỏ nhất. Tính giá trị nhỏ nhất ấy.
Câu 3 (2,0 điểm).
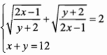
Giải hệ phương trình: 
Câu 4 (2,0 điểm).
Cho đường tròn (O; R). Từ một điểm M ở ngoài đường tròn vẽ hai tiếp tuyến MP và MN với đường tròn tâm (O); với P, N là hai tiếp điểm. Vẽ một cát tuyến đi qua M cắt đường tròn tại hai điểm A và B.
a. Chứng minh góc PMO = góc PNO
b. Chứng minh đường tròn ngoại tiếp tam giác MNP đi qua hai điểm có định khi M di chuyển trên cát tuyến trên.
c. Gọi I là giao điểm của MO với đường tròn (O). Chứng minh I là tâm của đường tròn nội tiếp tam giác MNP