Giao diện mới của VnDoc Pro: Dễ sử dụng hơn - chỉ tập trung vào lớp bạn quan tâm. Vui lòng chọn lớp mà bạn quan tâm: Lưu và trải nghiệm
Đóng
Điểm danh hàng ngày
  • Hôm nay +3
  • Ngày 2 +3
  • Ngày 3 +3
  • Ngày 4 +3
  • Ngày 5 +3
  • Ngày 6 +3
  • Ngày 7 +5
Bạn đã điểm danh Hôm nay và nhận 3 điểm!
Nhắn tin Zalo VNDOC để nhận tư vấn mua gói Thành viên hoặc tải tài liệu Hotline hỗ trợ: 0936 120 169

Đề thi tuyển sinh lớp 10 THPT tỉnh Lâm Đồng năm học 2013 - 2014 môn Toán (Có đáp án)

Lớp: Lớp 10
Loại File: PDF
Phân loại: Tài liệu Tính phí

Để chuẩn bị cho kỳ thi vào cấp 3 sắp tới, Vndoc.com xin gửi đến các bạn: Đề thi tuyển sinh lớp 10 THPT tỉnh Lâm Đồng năm học 2013 - 2014 môn Toán (Có đáp án).

Đề thi tuyển sinh lớp 10 môn Toán:

SỞ GIÁO DỤC VÀ ĐÀO TẠO
LÂM ĐỒNG

ĐỀ THI CHÍNH THỨC

KÌ THI TUYỂN SINH LỚP 10 THPT
NĂM HỌC 2013 - 2014

MÔN THI: TOÁN
Ngày thi: 19/06/2013
Thời gian làm bài: 120 phút (không kể thời gian giao đề)

Câu 1: (0,75 điểm)

Tính độ dài đường tròn có bán kính bằng 5 cm.

Câu 2: (0,75 điểm)

Cho hàm số bậc nhất y = (m – 3)x + 2014. Tìm giá trị của m để hàm số đồng biến trên R

Câu 3: (0,75 điểm)

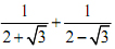
Thực hiện phép tính:

Câu 4: (0,75 điểm)

Cho tam giác ABC vuông tại A, vẽ AH vuông góc với BC tại H. Biết AB = 6cm, sinC = 3/5. Tính độ dài các đoạn thẳng BC và AH.

Câu 5: (0,75 điểm)

Giải phương trình: (x2 + 6x – 7 )(2x + 4) = 0

Câu 6: (0,75 điểm)

Cho hệ phương trình . Tìm m và n.

Câu 7: (0,75 điểm)

Cho parabol (P) y = x2 và đường thẳng (d1): y = 2x – 5. Lập phương trình đường thẳng (d2) song song với (d1) và cắt (P) tại điểm M có hoành độ là 3.

Câu 8: (0,75 điểm)

Cho hình nón có đường sinh là 5cm, diện tích toàn phần là 24π cm2. Tính thể tích hình nón.

Câu 9: (0,75 điểm)

Cho tam giác ABC có AB = 4√2cm, BC = 7cm, góc B = 45o. Tính độ dài cạnh AC.

Câu 10: (0,75 điểm)

Một người dự định đi xe gắn máy từ A đến B với quãng đường dài 90 km. Thực tế vì có việc gấp nên người đó đã tăng vận tốc thêm 10km/giờ so với dự định, nên đã đến B sớm hơn 45 phút. Tính vận tốc người đó dự định đi từ A đến B.

Câu 11: (0,75 điểm)

Cho phương trình bậc hai: x2 – 2(m – 1)x + 4m – 11 = 0(*) (x là ẩn số, m là tham số). Gọi x1, x2 là hai nghiệm của phương trình (*).

Chứng minh A = 2x1 – x1x2 + 2x2 không phụ thuộc vào m.

Câu 12: (0,5 điểm)

Rút gọn biểu thức:

Câu 13: (0,75 điểm)

Cho điểm M thuộc nửa đường tròn đường kính AB (M khác A và B). Lấy điểm I nằm giữa M và B, kẻ IH vuông góc với AB tại H. Đoạn thẳng AI cắt đoạn thẳng MH tại K. Chứng minh rằng .

Câu 14: (0,5 điểm)

Cho đường tròn (O), từ điểm A nằm ngoài đường tròn kẻ hai tiếp tuyến AB và AC (B, C là hai tiếp điểm). Gọi M là giao điểm của OA và BC, D là một điểm nằm trên đường tròn (O) sao cho D không nằm trên đường thẳng OA, kẻ dây cung DE đi qua M. Chứng minh tứ giác ADOE nội tiếp.

Chọn file muốn tải về:
Đóng Chỉ thành viên VnDoc PRO/PROPLUS tải được nội dung này!
Đóng
79.000 / tháng
Đặc quyền các gói Thành viên
PRO
Phổ biến nhất
PRO+
Tải tài liệu Cao cấp 1 Lớp
30 lượt tải tài liệu
Xem nội dung bài viết
Trải nghiệm Không quảng cáo
Làm bài trắc nghiệm không giới hạn
Mua cả năm Tiết kiệm tới 48%
19

Có thể bạn quan tâm

Xác thực tài khoản!

Theo Nghị định 147/2024/ND-CP, bạn cần xác thực tài khoản trước khi sử dụng tính năng này. Chúng tôi sẽ gửi mã xác thực qua SMS hoặc Zalo tới số điện thoại mà bạn nhập dưới đây:

Số điện thoại chưa đúng định dạng!
Số điện thoại này đã được xác thực!
Bạn có thể dùng Sđt này đăng nhập tại đây!
Lỗi gửi SMS, liên hệ Admin
Sắp xếp theo
🖼️

Lớp 10

Xem thêm
🖼️

Gợi ý cho bạn

Xem thêm