Giải bài tập Cùng em học Toán lớp 5 Tuần 12 - Đề 2
Cùng em học Toán lớp 5 Tuần 12
Giải bài tập Cùng em học Toán lớp 5 tuần 12 - Đề 2 hướng dẫn các em học sinh giải toàn bộ các bài tập tuần 12 lớp 5 về dạng Toán số thập phân, phép cộng trừ, nhân chia số thập phân giúp các em học sinh nâng cao kỹ năng giải Toán, tính nhẩm. Mời các em học sinh cùng tham khảo.
Giải bài tập Cùng em học Toán lớp 5 Tuần 11 - Đề 1
Đề bài Cùng em học Toán lớp 5 Tuần 12 - Đề 2



Đáp án Cùng em học Toán 5 Tuần 12
Câu 1

Câu 2

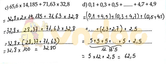
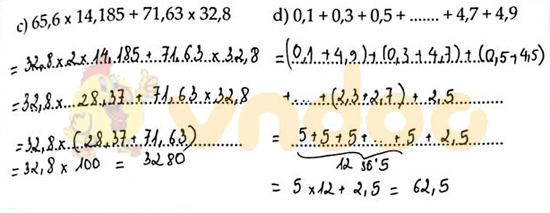
Câu 3


Câu 4

Câu 5

Ngoài ra, các em học sinh lớp 5 còn có thể tham khảo đề thi học kì 1 hay đề thi học kì 2 lớp 5 mà VnDoc.com đã sưu tầm và chọn lọc. Hy vọng với những tài liệu này, các em học sinh sẽ học tốt môn Toán lớp 5 hơn mà không cần sách giải.