Giải bài tập trang 22 SGK Toán lớp 7 tập 1: Lũy thừa của 1 số hữu tỉ (tiếp theo)
Giải bài tập SGK Toán lớp 7 tập 1: Lũy thừa của 1 số hữu tỉ (tiếp theo)
Giải bài tập trang 22 SGK Toán lớp 7 tập 1: Lũy thừa của 1 số hữu tỉ (tiếp theo) với lời giải chi tiết, rõ ràng theo khung chương trình sách giáo khoa Toán lớp 7. Lời giải hay bài tập Toán 7 gồm các bài giải tương ứng với từng bài học trong sách giúp cho các em học sinh ôn tập và củng cố các dạng bài tập, rèn luyện kỹ năng giải Toán.
Giải bài tập trang 19, 20 SGK Toán 7 tập 1: Lũy thừa của một số hữu tỉ
A. Tóm tắt kiến thức lũy thừa của 1 số hữu tỉ
1. Lũy thừa của một tích
Lũy thừa của một tích bằng tích các lũy thừa (x.y)n= xn. yn
2. Lũy thừa của một thương
Lũy thừa của một thưong bằng thương các lũy thừa (x/y)n= xn /yn (y # 0)
B. Giải bài tập sách giáo khoa bài Lũy thừa của 1 số hữu tỉ – Toán 7 tập 1.
Bài 1. (trang 22 SGK Toán 7 tập 1)
Trong vở bài tập của bạn Dũng có bài làm sau: Hãy kiểm tra lại các đáp số và sửa lại chỗ sai (nếu có)
a) (-5)2. (-5)3 = (-5)6
b) (0,75)3 : (0,75) = (0,75)2
c) (0,2)10 : (0,2)5 = (0,2)2

Đáp án và giải bài:
Các câu sai: a, c, d, f; Các câu đúng: b, e
Sửa lại các câu sai: a) (-5)5
c) (0,2)5
d) (-1/7)4
![]()
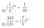
Bài 2. (trang 22 SGK Toán 7 tập 1)
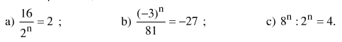
Ta thừa nhận tính chất sau đây: Với a # 0, a # ± 1, nếu am= an thì m = n. Dựa vào tính chất này, hãy tìm các số tự nhiên m và n, biết

Đáp án và giải bài

Bài 3. (trang 22 SGK Toán 7 tập 1)
Viết các biểu thức sau dưới dạng lũy thửa của một số hữu tỉ:
a) 108 . 28 b) 108 : 28 c) 254 . 28
d) 158 . 94 e ) 272 : 253
Đáp án và giải bài:
a) 108. 28 = (10.2)8 = 208
b) 108 : 28 = (10 : 2)8 = 58
c) 254 . 28 = (52)4. 28 = 58 . 28= 108
d) 158 . 94 = 158 . (32)4 = 158 . 38= 458
e) 272 : 253 = (32)2: (52)3 =36 : 56=(3/5)6
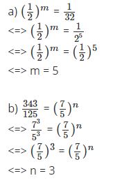
Bài 4. (trang 22 SGK Toán 7 tập 1)
Tìm giá trị của biểu thức sau

Đáp án và giải bài:

Bài 5. (trang 22 SGK Toán 7 tập 1)
a) Viết các số 227 và 318 dưới dạng các lũy thừa có số mũ là 9
b) Trong hai số 227 và 318 số nào lớn hơn?
Đáp án và giải bài:
a) Ta có: 227= (23)9= 89
318 = (32)9 = 99
b) Vì 8< 9 nên 89 < 99 Vậy theo câu a, ta được 318 < 227.
Bài 6 (trang 23 SGK Toán 7 tập 1)
Cho x ∈ Q, và x # 0. Viết x10 dưới dạng
a) Tích của hai lũy thừa trong đó có một thừa số là x7
b) Lũy thừa của x2
c) Thương của hai lũy thừa trong đó số bị chia là x12
Đáp án và giải bài:
a) x10 = x7. x3
b) x10 = (x2)5
c) x10 = x12 : x2
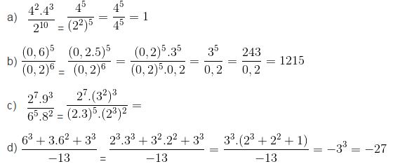
Bài 7 (trang 23 SGK Toán 7 tập 1)
Tính:

Đáp án và giải bài:

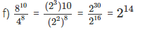
Bài 8 (trang 23 SGK Toán 7 tập 1)
Tính:

Đáp án và giải bài:

Bài 9 (trang 23 SGK Toán 7 tập 1)
Tìm số tự nhiên n, biết

Đáp án và giải bài:

Bài 10 (trang 23 SGK Toán 7 tập 1)
Đố: Biết rằng 12 + 22 + 32 + … + 102 = 385, đố em tính nhanh được tổng: S = 22 + 42 +62 + ……+ 202
Đáp án và giải bài:
S = 22 + 42 + 62 + ……+ 202
= (2.1)2 + (2.2)2 + (2.3)2 + … + (2.10)2
= 22 . 12 + 22 .22 + 22 . 33 +…….+ 22 .102
= 22 (12 + 22 + 32 +……..+ 102)
= 4 . 385 = 1540
Xem thêm: Giải bài tập SBT Toán 7 bài 6: Lũy thừa của một số hữu tỉ