Giải Toán 7 bài 2 Cộng, trừ số hữu tỉ
Giải Toán 7 bài 2: Cộng, trừ, nhân, chia số hữu tỉ 3 bộ sách Cánh Diều, Chân Trời Sáng Tạo, Kết Nối Tri Thức với Cuộc Sống được biên soạn đầy đủ, chi tiết, sẽ giúp học sinh chuẩn bị bài ở nhà tốt hơn. Lời giải hay bài tập Toán 7 này cũng là tài liệu để giáo viên và phụ huynh tham khảo trong quá trình giảng dạy môn Toán lớp 7 theo chương trình mới.
Mời các bạn tham khảo phần lời giải chi tiết 3 bộ sách mới theo chương trình GDPT, các bạn tìm lời giải của từng sách theo link bên dưới nhé:
Giải bài tập Toán 7 trang 10 Cộng trừ số hữu tỉ
A. Giải Toán 7 bài 2 sách Chân trời sáng tạo
Giải Toán 7 Bài 2 Các phép tính với số hữu tỉ sách Chân trời sáng tạo bao gồm đáp án chi tiết cho từng bài tập trong SGK Toán 7 tập 1 chương trình sách mới, giúp các em học sinh ôn tập, củng cố kiến thức, luyện tập Giải Toán 7 sách Chân trời sáng tạo một cách hiệu quả.
Bài 1 trang 15 SGK Toán 7 tập 1 CTST
Tính:
a)
\(\frac{2}{{15}} + \left( {\frac{{ - 5}}{{24}}} \right)\)
d)
\(\left( { - \frac{5}{9}} \right) - 1,25\)
h)
\(\left( {1\frac{2}{3}} \right):\left( {2\frac{1}{2}} \right)\)
b)
\(\left( {\frac{{ - 5}}{9}} \right) - \left( { - \frac{7}{{27}}} \right)\)
e)
\(0,34.\left( {\frac{{ - 5}}{{17}}} \right)\)
i)
\(\frac{2}{5}.\left( { - 1,25} \right)\)
c)
\(\left( {\frac{{ - 7}}{{12}}} \right) + 0,75\)
g)
\(\frac{4}{9}:\left( { - \frac{8}{{15}}} \right)\)
k)
\(\left( {\frac{{ - 3}}{5}} \right).\left( {\frac{{15}}{{ - 7}}} \right).3\frac{1}{9}\)
Hướng dẫn giải
\(a)\frac{2}{{15}} + \left( {\frac{{ - 5}}{{24}}} \right) = \frac{{16}}{{120}} + \left( {\frac{{ - 25}}{{120}}} \right) = \frac{{ - 9}}{{120}} = \frac{{ - 3}}{{40}}\)
\(b) \left( {\frac{{ - 5}}{9}} \right) - \left( { - \frac{7}{{27}}} \right) = \left( {\frac{{ - 15}}{{27}}} \right) + \frac{7}{{27}} = \frac{{ - 8}}{{27}}\)
\(c)\left( { - \frac{7}{{12}}} \right) + 0,75 = \left( { - \frac{7}{{12}}} \right) + \frac{3}{4} = \left( { - \frac{7}{{12}}} \right) + \frac{9}{{12}} = \frac{2}{{12}} = \frac{1}{6}\)
\(d)\left( {\frac{{ - 5}}{9}} \right) - 1,25 = \left( {\frac{{ - 5}}{9}} \right) - \frac{5}{4} = \left( {\frac{{ - 20}}{{36}}} \right) - \frac{{45}}{{36}} = \frac{{ - 65}}{{36}}\)
\(h)\left( {1\frac{2}{3}} \right):\left( {2\frac{1}{2}} \right) = \frac{5}{3}:\frac{5}{2} = \frac{5}{3}.\frac{2}{5} = \frac{2}{3}\)
\(e)0,34.\frac{{ - 5}}{{17}} = \frac{{17}}{{50}}.\frac{{ - 5}}{{17}} = \frac{{ - 1}}{{10}}\)
\(g) \frac{4}{9}:\left( { - \frac{8}{{15}}} \right) = \frac{4}{9}.\left( { - \frac{{15}}{8}} \right) = \frac{{ - 5}}{6}\)
\(h)\left( {1\frac{2}{3}} \right):\left( {2\frac{1}{2}} \right) = \frac{5}{3}:\frac{5}{2} = \frac{5}{3}.\frac{2}{5} = \frac{2}{3}\)
\(i) \frac{2}{5}.\left( { - 1.25} \right) = \frac{2}{5}.\frac{{ - 5}}{4} = \frac{{ - 1}}{2}\)
\(k) \left( {\frac{{ - 3}}{5}} \right).\left( {\frac{{15}}{{ - 7}}} \right).3\frac{1}{9} = \left( {\frac{{ - 3}}{5}} \right).\left( {\frac{{15}}{{ - 7}}} \right).\frac{{28}}{9} = \frac{{ - 3.3.5.7.4}}{{5.\left( { - 7} \right).3.3}} = 4\)
Bài 2 trang 15 SGK Toán 7 tập 1 CTST
Tính:
a)
\(0,75 - \frac{5}{6} + 1\frac{1}{2}\)
b)
\(\frac{3}{7} + \frac{4}{{15}} + \left( {\frac{{ - 8}}{{21}}} \right) + \left( { - 0,4} \right)\)
c)
\(0,625 + \left( {\frac{{ - 2}}{7}} \right) + \frac{3}{8} + \left( {\frac{{ - 5}}{7}} \right) + 1\frac{2}{3}\)
d)
\(\left( { - 3} \right).\left( {\frac{{ - 38}}{{21}}} \right).\left( {\frac{{ - 7}}{6}} \right).\left( { - \frac{3}{{19}}} \right)\)
e)
\(\left( {\frac{{11}}{{18}}:\frac{{22}}{9}} \right).\frac{8}{5}\)
g)
\(\left[ {\left( {\frac{{ - 4}}{5}} \right).\frac{5}{8}} \right]:\left( {\frac{{ - 25}}{{12}}} \right)\)
Hướng dẫn giải:
a)
\(0,75 - \frac{5}{6} + 1\frac{1}{2}\)
\(= \frac{3}{4} - \frac{5}{6} + \frac{3}{2} = \frac{9}{{12}} - \frac{{10}}{{12}} + \frac{{18}}{{12}} = \frac{{17}}{{12}}\)
b)
\(\frac{3}{7} + \frac{4}{{15}} + \left( {\frac{{ - 8}}{{21}}} \right) + \left( { - 0,4} \right)\)
\(\begin{matrix}
= \dfrac{3}{7} + \dfrac{4}{{15}} + \left( {\dfrac{{ - 8}}{{21}}} \right) - \dfrac{2}{5} \hfill \\
= \left[ {\dfrac{3}{7} + \left( {\dfrac{{ - 8}}{{21}}} \right)} \right] + \left[ {\dfrac{4}{{15}} - \dfrac{2}{5}} \right] \hfill \\
\end{matrix}\)
\(\begin{matrix}
= \left[ {\dfrac{9}{{21}} + \left( {\dfrac{{ - 8}}{{21}}} \right)} \right] + \left[ {\dfrac{4}{{15}} - \dfrac{6}{{15}}} \right] \hfill \\
= \dfrac{1}{{21}} - \dfrac{2}{{15}} = \dfrac{5}{{105}} - \dfrac{{14}}{{105}} = \dfrac{{ - 9}}{{105}} = \dfrac{{ - 3}}{{105}} \hfill \\
\end{matrix}\)
c)
\(0,625 + \left( {\frac{{ - 2}}{7}} \right) + \frac{3}{8} + \left( {\frac{{ - 5}}{7}} \right) + 1\frac{2}{3}\)
\(\begin{matrix}
= \dfrac{5}{8} + \left( {\dfrac{{ - 2}}{7}} \right) + \dfrac{3}{8} + \left( {\dfrac{{ - 5}}{7}} \right) + \dfrac{5}{3} \hfill \\
= \left[ {\dfrac{5}{8} + \dfrac{3}{8}} \right] + \left[ {\left( {\dfrac{{ - 2}}{7}} \right) + \left( {\dfrac{{ - 5}}{7}} \right)} \right] + \dfrac{5}{3} \hfill \\
= 1 + \left( { - 1} \right) + \dfrac{5}{3} = \dfrac{5}{3} \hfill \\
\end{matrix}\)
d)
\(\left( { - 3} \right).\left( {\frac{{ - 38}}{{21}}} \right).\left( {\frac{{ - 7}}{6}} \right).\left( { - \frac{3}{{19}}} \right)\)
\(\begin{matrix}
= \dfrac{{\left( { - 3} \right).\left( { - 38} \right).\left( { - 7} \right).\left( { - 3} \right)}}{{21.6.19}} \hfill \\
= \dfrac{{3.7.2.19.3}}{{3.7.2.3.19}} = 1 \hfill \\
\end{matrix}\)
e)
\(\left( {\frac{{11}}{{18}}:\frac{{22}}{9}} \right).\frac{8}{5}\)
\(= \frac{{11}}{{18}}.\frac{9}{{22}}.\frac{8}{5} = \frac{{11.9.8}}{{18.22.5}} = \frac{{11.9.2.4}}{{2.9.11.2.5}} = \frac{2}{5}\)
g)
\(\left[ {\left( {\frac{{ - 4}}{5}} \right).\frac{5}{8}} \right]:\left( {\frac{{ - 25}}{{12}}} \right)\)
\(= \frac{{ - 1}}{2}.\frac{{12}}{{ - 25}} = \frac{6}{{25}}\)
Bài 3 trang 15 SGK Toán 7 tập 1 CTST
Thay ? bằng dấu (>, < , =) thích hợp:
a)
\(\left( {\frac{{ - 5}}{8}} \right) + \left( {\frac{3}{{ - 8}}} \right){\text{ ? - 1}}\)
c)
\(\frac{1}{6} + \left( {\frac{{ - 3}}{4}} \right){\text{ ? }}\frac{1}{{14}} + \left( {\frac{{ - 4}}{7}} \right)\)
b)
\(\left( {\frac{{ - 13}}{{22}}} \right) + \left( {\frac{{ - 5}}{{22}}} \right){\text{ ? }}\frac{{ - 8}}{{11}}\)
Hướng dẫn giải:
\(a)\left( {\frac{{ - 5}}{8}} \right) + \left( {\frac{3}{{ - 8}}} \right) = \left( {\frac{{ - 5}}{8}} \right) + \left( {\frac{{ - 3}}{8}} \right) = - 1\)
Vậy dấu cần điền là “=”.
\(b)\left( {\frac{{ - 13}}{{22}}} \right) + \left( {\frac{{ - 5}}{{22}}} \right) = \frac{{ - 18}}{{22}} = \frac{{ - 9}}{{11}} < \frac{{ - 8}}{{11}}.\)
Vậy dấu cần điền là “<”.
\(c) \frac{1}{6} + \left( {\frac{{ - 3}}{4}} \right) = \frac{2}{{12}} + \left( {\frac{{ - 9}}{{12}}} \right) = \frac{{ - 7}}{{12}}\)
\(\frac{1}{{14}} + \left( {\frac{{ - 4}}{7}} \right) = \frac{1}{{14}} + \left( {\frac{{ - 8}}{{14}}} \right) = \frac{{ - 7}}{{14}}\)
Mà
\(\frac{{ - 7}}{{12}} < \frac{{ - 7}}{{14}}\)
Vậy dấu cần điền là “<”.
Tài liệu vẫn còn, để xem hết lời giải, mời các bạn vào đường link Giải Toán 7 Bài 2 Các phép tính với số hữu tỉ.
B. Giải Toán 7 bài 2 sách Kết nối tri thức với cuộc sống
Giải Toán 7 bài 2 Cộng, trừ, nhân, chia số hữu tỉ Kết nối tri thức bao gồm đáp án chi tiết cho từng bài tập trong SGK Toán 7 tập 1 chương trình sách mới, giúp các em học sinh ôn tập, củng cố kiến thức, luyện tập Giải Toán 7 sách Kết nối tri thức với cuộc sống một cách hiệu quả. Sau đây mời các em tham khảo chi tiết.
Bài 1.7 trang 13 SGK Toán 7 tập 1
Tính:
\(a)\frac{{ - 6}}{{18}} + \frac{{18}}{{27}};\)
b)
\(2,5 - ( - \frac{6}{9})\);
c)
\(- 0,32.( - 0,875)\);
d)
\(( - 5).2\frac{1}{5}\)
Hướng dẫn giải
a)
\(\frac{{ - 6}}{{18}} + \frac{{18}}{{27}} = \frac{{ - 6.3}}{{54}} + \frac{{18.2}}{{54}} = \frac{{ - 18}}{{54}} + \frac{{36}}{{54}} = \frac{{ - 18 + 36}}{{54}} = \frac{{18}}{{54}} = \frac{1}{3}\)
b)
\(2,5 - \left( { - \frac{6}{9}} \right)\)
\(= \frac{5}{2} + \frac{6}{9} = \frac{{5.9}}{{18}} + \frac{{6.2}}{{18}} = \frac{{45}}{{18}} + \frac{{12}}{{18}}\)
\(= \frac{{45 + 12}}{{18}} = \frac{{57}}{{18}} = \frac{{19}}{6}\)
c)
\(-0,32 . (-0,875)\)
\(= \frac{{ - 32}}{{100}}.\left( {\frac{{ - 875}}{{1000}}} \right)\)
\(= \frac{{ - 8}}{{25}}.\left( {\frac{{ - 7}}{8}} \right) = \frac{{ 7}}{{25}}\)
d)
\(\left( { - 5} \right):2\frac{1}{5} = \left( { - 5} \right):\frac{{11}}{5} = \left( { - 5} \right).\frac{5}{{11}} = \frac{{ - 25}}{{11}}\)
Bài 1.8 trang 13 SGK Toán 7 tập 1
Tính giá trị các biểu thức sau:
a)
\(\left( {8 + 2\frac{1}{3} - \frac{3}{5}} \right) - \left( {5 + 0,4} \right) - \left( {3\frac{1}{3} - 2} \right)\)
b)
\(\left( {7 - \frac{1}{2} - \frac{3}{4}} \right):\left( {5 - \frac{1}{4} - \frac{5}{8}} \right)\)
Hướng dẫn giải:
a)
\(\left( {8 + 2\frac{1}{3} - \frac{3}{5}} \right) - \left( {5 + 0,4} \right) - \left( {3\frac{1}{3} - 2} \right)\)
\(= 8 + 2 + \frac{1}{3} - \frac{3}{5} - 5 - \frac{4}{{10}} - 3 - \frac{1}{3} + 2\)
\(= 8 + 2 + \frac{1}{3} - \frac{3}{5} - 5 - \frac{2}{5} - 3 - \frac{1}{3} + 2\)
\(= \left( {8 + 2 - 5 - 3 + 2} \right) + \left( {\frac{1}{3} - \frac{1}{3}} \right) + \left( { - \frac{3}{5} - \frac{2}{5}} \right)\)
= 4 + 0 – 1 = 3
b)
\(\left( {7 - \frac{1}{2} - \frac{3}{4}} \right):\left( {5 - \frac{1}{4} - \frac{5}{8}} \right)\)
\(= \left( {\frac{{28}}{4} - \frac{2}{4} - \frac{3}{4}} \right):\left( {\frac{{40}}{8} - \frac{2}{8} - \frac{5}{8}} \right)\)
\(= \left( {\frac{{28 - 2 - 3}}{4}} \right):\left( {\frac{{40 - 2 - 5}}{8}} \right)\)
\(= \frac{{23}}{4}:\frac{{33}}{8} = \frac{{23}}{4}.\frac{8}{{33}} = \frac{{46}}{{33}}\)
Bài 1.9 trang 13 SGK Toán 7 tập 1
Em hãy tìm cách “nối” các số ở những chiếc lá trong hình 1.9 bằng dấu các phép tính cộng, trừ, nhân, chia và dấu ngoặc để được một biểu thức có giá trị đúng bằng số ở bông hoa.

Hướng dẫn giải:
Thực hiện nối các số ở những chiếc lá bằng các phép tính thích hợp như sau:
-25 . 4 + 10 : (-2) = -105
Học sinh thực hành nối và điền dấu +, -, x, : thích hợp.
Tài liệu vẫn còn, mời các em xem toàn bộ đáp án tại đường link Giải Toán 7 bài 2 Cộng, trừ, nhân, chia số hữu tỉ.
C. Giải Toán 7 bài 2 sách Cánh diều
Giải Toán 7 Bài 2: Cộng, trừ, nhân, chia số hữu tỉ Cánh diều tổng hợp các câu hỏi và đáp án cho các câu hỏi trong SGK Toán 7 tập 1 Cánh diều. Lời giải Toán 7 sách mới được trình bày chi tiết, dễ hiểu, giúp các em tiếp thu bài nhanh, từ đó rèn luyện và nâng cao kỹ năng giải Toán 7.
Bài 1 trang 16 SGK Toán 7 tập 1
Tính:
a)
\(\frac{{ - 1}}{6} + 0,75\)
b)
\(3\frac{1}{{10}} - \frac{3}{8}\)
c)
\(0,1 + \frac{{ - 9}}{{17}} - \left( { - 0,9} \right.)\)
Hướng dẫn giải
a)
\(\frac{{ - 1}}{6} + 0,75 = \frac{{ - 1}}{6} + \frac{{75}}{{100}} = \frac{{ - 1}}{6} + \frac{3}{4} = \frac{{ - 2}}{{12}} + \frac{9}{{12}} = \frac{7}{{12}}\)
b)
\(3\frac{1}{{10}} - \frac{3}{8} = \frac{{31}}{{10}} - \frac{3}{8} = \frac{{124}}{{40}} - \frac{{15}}{{40}} = \frac{{109}}{{40}}\)
c)
\(0,1 + \frac{{ - 9}}{{17}} - \left( { - 0,9} \right)\)
\(\begin{matrix} = 0,1 + \dfrac{{ - 9}}{{17}} - \left( { - 0,9} \right) \hfill \\ = \dfrac{1}{{10}} + \dfrac{{ - 9}}{{17}} + \dfrac{9}{{10}} \hfill \\ = \left( {\dfrac{1}{{10}} + \dfrac{9}{{10}}} \right) + \dfrac{{ - 9}}{{17}} \hfill \\ = \dfrac{{10}}{{10}} - \dfrac{9}{{17}} = 1 - \dfrac{9}{{17}} \hfill \\ = \dfrac{{17}}{{17}} - \dfrac{9}{{17}} = \dfrac{8}{{17}} \hfill \\ \end{matrix}\)
Bài 2 trang 16 SGK Toán 7 tập 1
Tính:
a)
\(5,75.\frac{{ - 8}}{9}\)
b)
\(2\frac{3}{8}.\left( { - 0,4} \right)\)
c)
\(\frac{{ - 12}}{5}:\left( { - 6,5} \right)\)
Hướng dẫn giải
a)
\(5,75.\frac{{ - 8}}{9} = \frac{{575}}{{100}}.\frac{{ - 8}}{9} = \frac{{ - 46}}{9}\)
b)
\(2\frac{3}{8}.\left( { - 0,4} \right) = \frac{{19}}{8}.\frac{{ - 4}}{{10}} = - \frac{{19}}{{20}}\)
c)
\(\frac{{ - 12}}{5}:\left( { - 6,5} \right) = \frac{{ - 12}}{5}:\frac{{ - 65}}{{10}} = \frac{{ - 12}}{5}.\frac{{10}}{{ - 45}} = \frac{8}{{15}}\)
Bài 3 trang 16 SGK Toán 7 tập 1
Tính một cách hợp lí:
a)
\(\frac{{ - 3}}{{10}} - 0,125 + \frac{{ - 7}}{{10}} + 1,125\)
b)
\(\frac{{ - 8}}{3}.\frac{2}{{11}} - \frac{8}{3}:\frac{{11}}{9}\)
Hướng dẫn giải
a)
\(\frac{{ - 3}}{{10}} - 0,125 + \frac{{ - 7}}{{10}} + 1,125\)
\(\begin{matrix}
= \left( {\dfrac{{ - 3}}{{10}} + \dfrac{{ - 7}}{{10}}} \right) + \left( { - 0,125 + 1,125} \right) \hfill \\
= \dfrac{{ - 10}}{{10}} + 0 = - 1 + 0 = - 1 \hfill \\
\end{matrix}\)
b)
\(\frac{{ - 8}}{3}.\frac{2}{{11}} - \frac{8}{3}:\frac{{11}}{9}\)
\(\begin{matrix}
= \dfrac{{ - 8}}{3}.\dfrac{2}{{11}} - \dfrac{8}{3}.\dfrac{9}{{11}} \hfill \\
= \dfrac{8}{3}.\left( {\dfrac{{ - 2}}{{11}} - \dfrac{9}{{11}}} \right) \hfill \\
= \dfrac{8}{3}.\left( {\dfrac{{ - 11}}{{11}}} \right) = \dfrac{8}{3}.\left( { - 1} \right) = \dfrac{{ - 8}}{3} \hfill \\
\end{matrix}\)
Bài 4 trang 16 SGK Toán 7 tập 1
Tìm x biết:
|
a) |
b) |
|
c) |
d) |
Hướng dẫn giải
|
a)
Vậy |
b)
Vậy x = 3 |
|
c)
Vậy |
d)
Vậy |
Bài 5 trang 16 SGK Toán 7 tập 1
Bác Nhi gửi vào ngân hàng 60 triệu đồng với kì hạn 1 năm, lãi suất 6,5%/năm. Hết kì hạn 1 năm, bác rút ra
\(\frac{1}{3}\) số tiền (kể cả gốc và lãi). Tính số tiền còn lại của bác Nhi trong ngân hàng.
Hướng dẫn giải
Hết kì hạn 1 năm số tiền lãi bác Nhi nhận được là:
6,5 . 60 000 000 : 100 = 3 900 000 (đồng)
Hết kì hạn 1 năm số tiền bác Nhi nhận được (cả gốc và lãi) là:
60 000 000 + 3 900 000 = 63 900 000 (đồng)
Bác Nhi rút ra
\(\frac{1}{3}\) số tiền (cả gốc và lãi) tương ứng với:
\(\frac{1}{3}.63{\text{ }}900{\text{ }}000 = 21{\text{ }}300{\text{ }}000\) (đồng)
Số tiền bác Nhi còn lại trong ngân hàng là:
63 900 000 – 21 300 000 = 38 700 000(đồng)
Vậy số tiền còn lại của bác Nhi trong ngân hàng là 38 700 000 đồng.
Mời các em xem toàn bộ tài liệu tại đây: Giải Toán 7 Bài 2: Cộng, trừ, nhân, chia số hữu tỉ Cánh diều.
D. Giải Toán lớp 7 bài 2 sách cũ
Tóm tắt lý thuyết Cộng trừ số hữu tỉ
1. Cộng trừ số hữu tỉ
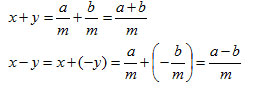
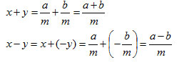
Viết hai số hữu tỉ x, y dưới dạng:
x = a/m; y = b/m (a, b, m ∈ Z, m > 0)
Khi đó

2) Quy tắc "chuyển vế"
Khi chuyển một số hạng từ vế này sang vế kia của một đẳng thức ta phải đổi dấu số hạng đó
Tổng quát: với mọi x, y , z ∈ Q, ta có: x + y = z ⇒ x = z-y
B. Giải bài tập Toán 7 trang 10
Bài 6 (trang 10 - SGK Toán lớp 7 Tập 1)
|
a) |
b) |
| c) |
d) |
a)
\(\dfrac{-1}{21} + \dfrac{-1}{28} = \dfrac{-4}{84} + \dfrac{-3}{84} = \dfrac{-4 + (-3)}{84} = \dfrac{-7}{84} = \dfrac{-1}{12}\)
b)
\(\dfrac{-8}{18} - \dfrac{15}{27} = \dfrac{-24}{54} - \dfrac{-30}{54} = \dfrac{-24 + (-30)}{54} = \dfrac{-54}{54} = -1\)
c)
\(\dfrac{-5}{12} + 0,75 = \dfrac{-5}{12} + \dfrac{3}{4} = \dfrac{-5}{12} + \dfrac{9}{12} = \dfrac{-5 + 9}{12} = \dfrac{4}{12} = \dfrac{1}{3}\)
d)
\(3,5 - \left( -\dfrac{2}{7}\right) = \dfrac{7}{2} + \dfrac{2}{7} = \dfrac{49}{14} + \dfrac{4}{14} = \dfrac{49 + 4}{14} = \dfrac{53}{14}\)
Bài 7 (trang 10 - SGK Toán lớp 7 Tập 1)
Ta có thể viết số hữu tỉ
\(\dfrac{-5}{16}\)dưới dạng sau đây:
a)
\(\dfrac{-5}{16}\)là tổng của hai số hữu tỉ âm. Ví dụ:
\(\dfrac{-5}{16} = \dfrac{-1}{8} + \dfrac{-3}{16};\)
b)
\(\dfrac{-5}{16}\) là hiệu của hai số hữu tỉ dương. Ví dụ
\(: \dfrac{-5}{16} = 1 - \dfrac{21}{16}\)
Với mỗi câu em hãy tìm thêm một ví dụ.
Đáp án và hướng dẫn giải
a)
\(\dfrac{-5}{16} = \dfrac{-1}{16} + \dfrac{-1}{4};\)
b)
\(\dfrac{-5}{16} = \dfrac{1}{8} - \dfrac{7}{16}\)
Bài 8 (trang 10 - SGK Toán lớp 7 Tập 1)
Tính:
|
a) |
b) |
| c) |
d) |
a)
\(\dfrac{3}{7} + \left( -\dfrac{5}{2}\right) + \left( -\dfrac{3}{5}\right)\)
\(= \dfrac{30}{70} + \left( -\dfrac{175}{70}\right) + \left( -\dfrac{42}{70}\right)\)
\(= \dfrac{30 + (-175) + (-42)}{70}\)
\(= \dfrac{-187}{70}\)
b)
\(\left( -\dfrac{4}{3}\right) + \left( -\dfrac{2}{5}\right) + \left( -\dfrac{3}{2}\right)\)
\(= \left( -\dfrac{40}{30}\right) + \left( -\dfrac{12}{30}\right) + \left( -\dfrac{45}{30}\right)\)
\(= \dfrac{-40 + (-12) + (-45)}{30}\)
\(= \dfrac{-97}{30}\)
c)
\(\dfrac{4}{5} - \left( -\dfrac{2}{7}\right) - \dfrac{7}{10}\)
\(= \dfrac{56}{70} - \left( -\dfrac{20}{70}\right) - \dfrac{49}{70}\)
\(= \dfrac{56 + 20 - 49}{70}\)
\(= \dfrac{27}{70}\)
d)
\(\dfrac{2}{3} - \left[ \left(-\dfrac{7}{4} \right) - \left(\dfrac{1}{2} + \dfrac{3}{8} \right)\right]\)
\(= \dfrac{2}{3} - \left(-\dfrac{7}{4} - \dfrac{1}{2} - \dfrac{3}{8} \right)\)
\(= \dfrac{2}{3} + \dfrac{7}{4} + \dfrac{1}{2} + \dfrac{3}{8}\)
\(= \dfrac{16}{24} + \dfrac{42}{24} + \dfrac{12}{24} + \dfrac{9}{24}\)
\(= \dfrac{16 + 42 + 12 + 9}{24}\)
\(= \dfrac{79}{24}\)
Bài 9 (trang 10 - SGK Toán lớp 7 Tập 1)
Tìm x, biết:
|
a) |
b) |
| c) |
d) |
a)
\(x + \dfrac{1}{3} = \dfrac{3}{4} \Leftrightarrow x = \dfrac{3}{4} - \dfrac{1}{3} \Leftrightarrow x =\dfrac{9}{12} - \dfrac{4}{12} \Leftrightarrow x =\dfrac{5}{12}.\)
Vậy
\(x =\dfrac{5}{12}\)
b)
\(x - \dfrac{2}{5} = \dfrac{5}{7} \Leftrightarrow x = \dfrac{5}{7} + \dfrac{2}{5} \Leftrightarrow x = \dfrac{25}{35} + \dfrac{14}{35} \Leftrightarrow x = \dfrac{39}{35} = 1\dfrac{4}{35}.\)
Vậy
\(x = 1\dfrac{4}{35}\)
c)
\(-x - \dfrac{2}{3} = -\dfrac{6}{7} \Leftrightarrow x = \dfrac{6}{7} - \dfrac{2}{3} \Leftrightarrow x = \dfrac{18}{21} - \dfrac{14}{21} \Leftrightarrow x = \dfrac{4}{21}\)
Vậy
\(x = \dfrac{4}{21}\)
d)
\(\dfrac{4}{7} - x = \dfrac{1}{3} \Leftrightarrow x = \dfrac{4}{7} - \dfrac{1}{3} \Leftrightarrow x = \dfrac{12}{21} - \dfrac{7}{21} \Leftrightarrow x = \dfrac{5}{21}\).
Vậy
\(x = \dfrac{5}{21}\)
Lưu ý: Khi chuyển một số hạng từ vế này sang vế kia của một đẳng thức, ta phải đổi dấu số hạng đó.
Bài 10 (trang 10 - SGK Toán lớp 7 Tập 1)
Cho biểu thức:
A =
\(\left(6 - \dfrac{2}{3} + \dfrac{1}{2} \right) - \left(5 + \dfrac{5}{3} - \dfrac{3}{2} \right) - \left(3 - \dfrac{7}{3} + \dfrac{5}{2} \right)\)
Hãy tính giá trị A theo hai cách:
Cách 1: Trước hết, tính giá trị của từng biểu thức trong ngoặc
Cách 2: Bỏ dấu ngoặc rồi nhóm các số hạng thích hợp
Đáp án và hướng dẫn giải
Cách 1: Trước hết, tính giá trị của từng biểu thức trong ngoặc
Cách 2: Bỏ dấu ngoặc rồi nhóm các số hạng thích hợp
A =
\(\left(6 - \dfrac{2}{3} + \dfrac{1}{2} \right) - \left(5 + \dfrac{5}{3} - \dfrac{3}{2} \right) - \left(3 - \dfrac{7}{3} + \dfrac{5}{2} \right)\)
\(= 6 - \dfrac{2}{3} + \dfrac{1}{2} - 5 -\dfrac{5}{3} + \dfrac{3}{2} - 3 + \dfrac{7}{3} - \dfrac{5}{2}\)
\((6 - 5 - 3) - \left(\dfrac{2}{3} + \dfrac{5}{3 } - \dfrac{7}{3} \right) + \left(\dfrac{1}{2} + \dfrac{3}{2 } - \dfrac{5}{2} \right)\)
\(= -2 - \dfrac{1}{2}\)
\(= \dfrac{-5}{2}\)
Xem thêm: Giải bài tập SBT Toán 7 bài 2: Cộng, trừ số hữu tỉ
Giải Toán 7 bài 2 Cộng, trừ số hữu tỉ là tài liệu thuộc chuyên mục Giải bài tập Toán 7 trên VnDoc bao gồm đáp án và hướng dẫn giải chi tiết cho từng câu hỏi trong SGK môn Toán lớp 7. Hy vọng đây là tài liệu hữu ích giúp các em biết cách vận dụng để làm các bài tập liên quan, từ đó đạt điểm cao trong các bài thi, bài kiểm tra định kỳ môn Toán.
Ngoài tài liệu trên, mời các bạn tham khảo thêm các tài liệu môn Toán 7 khác như: Giải Vở BT Toán 7, Chuyên đề Toán 7, Đề thi học kì 1 lớp 7, Đề thi giữa kì 1 lớp 7, Đề thi học kì 2 lớp 7... cũng được cập nhật liên tục trên VnDoc.com để học tốt Toán 7 hơn.
Để tiện trao đổi, chia sẻ kinh nghiệm về giảng dạy và học tập các môn học lớp 7, VnDoc mời các thầy cô giáo, các bậc phụ huynh và các bạn học sinh truy cập nhóm riêng dành cho lớp 7 sau: Nhóm Tài liệu học tập lớp 7. Rất mong nhận được sự ủng hộ của các thầy cô và các bạn.