Giải bài tập SGK Toán lớp 7 bài 4: Trường hợp bằng nhau thứ hai của tam giác cạnh - góc - cạnh (c.g.c)
Giải bài tập Toán lớp 7 bài 4: Trường hợp bằng nhau thứ hai của tam giác cạnh - góc - cạnh (c.g.c)
Giải bài tập SGK Toán lớp 7 bài 4: Trường hợp bằng nhau thứ hai của tam giác cạnh - góc - cạnh (c.g.c) với lời giải chi tiết, rõ ràng theo khung chương trình sách giáo khoa Toán lớp 7. Lời giải hay bài tập Toán 7 này gồm các bài giải tương ứng với từng bài học trong sách giúp cho các bạn học sinh ôn tập và củng cố các dạng bài tập, rèn luyện kỹ năng giải môn Toán. Mời các bạn tham khảo
Giải bài tập SGK Toán lớp 7 bài 1: Tổng ba góc của một tam giác
Trả lời câu hỏi Toán 7 Tập 1 Bài 4 trang 117: Vẽ thêm tam giác A’B’C’ có:
A’B’ = 2cm; ∠B' = 70o; B’C’ = 3cm
Hãy đo để kiểm nghiệm rằng AC = A’C’. Ta có thể kết luận được tam giác ABC bằng tam giác A’B’C’ hay không?

Lời giải
Ta có thể kết luận được tam giác ABC bằng tam giác A’B’C’ (trường hợp c.g.c)
Trả lời câu hỏi Toán 7 Tập 1 Bài 4 trang 118: Hai tam giác trên hình 80 có bằng nhau không? Vì sao?

Lời giải
ΔABC và ΔADC có
AC chung
Góc ACB = góc DCB
BC = DC
⇒ ΔABC = ΔADC (cạnh – góc – cạnh)
Bài 24 (trang 18 SGK Toán 7 Tập 1): Vẽ tam giác ABC có góc A = 90o, AB = AC = 3cm. Sau đó đo các góc B và C.
Lời giải:

- Cách vẽ:
+ Vẽ góc xAy = 90o
+ Trên tia Ax vẽ đoạn thẳng AB = 3cm
+ Trên tia Ay vẽ đoạn thẳng AC = 3cm
+ Vẽ đoạn thẳng BC
Ta được tam giác ABC là tam giác cần vẽ
- Đo các góc B và C ta được
![]()
Bài 25 (trang 118 SGK Toán 7 Tập 1): Trên mỗi hình 82, 83, 84 có các tam giác nào bằng nhau? Vì sao?

Lời giải:
- Hình 82
Xét ΔADB và ΔADE có:
AB = AE (gt)
![]()
AD cạnh chung
Nên ΔADB = ΔADE (c.g.c)
- Hình 83
Xét ΔHGK và ΔIKG có:
HG = IK (gt)
![]()
GK cạnh chung
Nên ΔHGK = ΔIKG
- Hình 84
Xét ΔPMQ và ΔPMN có:
![]()
PM cạnh chung
Nhưng MN không bằng MQ
Nên ΔPMQ không bằng ΔPMN
Bài 26 (trang 118 SGK Toán 7 Tập 1): Xét bài toán:
Cho tam giác ABC, M là trung điểm của BC. Trên tia đối của MA lấy điểm E sao cho ME = MA. Chứng minh rằng AB//CE.
Dưới đây là hình vẽ và giả thiết kết luận của bài toán:

GT: ΔABC
MB = MC
MA = ME
KL: AB//CE
Hãy sắp xếp lại năm câu sau đây một cách hợp lí để giải bài toán trên:

5) Tam giác AMB và tam giác EMC có
Lưu ý: Để cho gọn, các quan hệ nằm giữa thẳng hàng (như M nằm giữa B, CE thuộc tia đối của MA) đã được thể hiện ở hình vẽ nên có thể không ghi ở phần giả thiết
Lời giải:
- Thứ tự sắp xếp là 5, 1, 2, 4, 3
Tam giác AMB và tam giác EMC có
MB = MC (gt)
![]()
MA = ME (gt)
Do đó ΔAMB = ΔEMC (c.g.c)

Bài 27 (trang 119 SGK Toán 7 Tập 1): Nếu thêm một điều kiện để hai tam giác trong mỗi hình vẽ dưới đây là hai tam giác bằng nhau theo trường hợp cạnh góc cạnh
a) ΔABC = ΔADC
b) ΔAMB = ΔEMC
c) ΔCAB = ΔDBA

Lời giải:
a) Bổ sung thêm góc BAC = góc DAC.
b) Bổ sung thêm MA = ME.
c) Bổ sung thêm AC = BD.
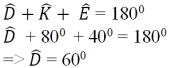
Bài 28 (trang 120 SGK Toán 7 Tập 1): Trên hình 89 có các tam giác bằng nhau

Lời giải:
Trong ΔDEK có:

Xét ΔABC và ΔKDE có:
AB = KD (gt)
![]()
BC = DE (gt)
Do đó ΔABC = ΔKDE
ΔMNP không có góc N = 60o góc xen giữa bằng 2 cạnh của ΔKDE hay ΔABC nên không bằng với các tam giác trên.
Bài 29 (trang 120 SGK Toán 7 Tập 1): Cho góc xOy. Lấy điểm B trên tia Ax điểm D trên tia Ay sao cho AB= AD. Trên tia Bx lấy điểm E trên tia Dy lấy điểm C sao cho BE = DC. Chứng minh rằng 2 tam giác ABC và ADE bằng nhau.
Lời giải:

Ta có: AC = AD + DC
Hay AC = AB + BE
Nên suy ra AC = AE
Xét ΔABC và Δ ADE có:
AC = AE (cmt)
Góc A chung
AB = AD (gt)
=> ΔABC = Δ ADE
Bài 30 (trang 120 SGK Toán 7 Tập 1): Trên hình 90, các tam giác ABC và A'BC có
![]()
nhưng hai tam giác đó không bằng nhau.
Tại sao ở đây không thể áp dụng trường hợp c-g-c để kết luận

Lời giải:
Góc ABC không phải là góc xen giữa hai cạnh BC và CA góc A'BC không phải là góc xen giữa hai cạnh BC và CA'. Do đó không thể sử dụng trường hợp cạnh-góc-cạnh để kết luận hai góc bằng nhau.
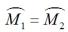
Bài 31 (trang 120 SGK Toán 7 Tập 1): Cho đoạn thẳng AB, điểm M nằm trên đường trung trực của AB. So sánh độ dài các đoạn thẳng MA ,và MB.
Lời giải:

Gọi H là giao điểm của đường trung trực với đoạn AB
Xét ΔAHM và ΔBHM có:
HM cạnh chung
![]()
AH = BH
Nên ΔAHM = ΔBHM
Vậy MA = MB
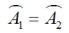
Bài 32 (trang 120 SGK Toán 7 Tập 1): Tìm các tia phân giác trên hình 91

Lời giải:
- Xét ΔAHB và ΔKBH có:
BH cạnh chung
![]()
AH = KH
Nên ΔAHB = ΔKBH
![]()
Vậy BH là tia phân giác của góc B
- Tương tự ΔAHC = ΔKHC (c.g.c)
![]()
Vậy CH là tia phân giác của góc C.