Giải bài tập SGK Toán lớp 7 bài 5: Đa thức
Giải bài tập Toán 7 bài 5: Đa thức
Giải bài tập SGK Toán lớp 7 bài 5: Đa thức với lời giải chi tiết, rõ ràng theo khung chương trình sách giáo khoa Toán 7. Lời giải hay bài tập Toán 7 này gồm các bài giải tương ứng với từng bài học trong sách giúp cho các bạn học sinh ôn tập và củng cố các dạng bài tập, rèn luyện kỹ năng giải môn Toán. Mời các bạn tham khảo.
- Giải bài tập SGK Toán lớp 7 bài 2: Giá trị của một biểu thức đại số
- Giải bài tập SGK Toán lớp 7 bài 3: Đơn thức
- Giải bài tập SGK Toán lớp 7 bài 4: Đơn thức đồng dạng
Để tiện trao đổi, chia sẻ kinh nghiệm về giảng dạy và học tập các môn học lớp 7, VnDoc mời các thầy cô giáo, các bậc phụ huynh và các bạn học sinh truy cập nhóm riêng dành cho lớp 7 sau: Nhóm Tài liệu học tập lớp 7. Rất mong nhận được sự ủng hộ của các thầy cô và các bạn.
Toán 7 Bài 5 Đa thức
Trả lời câu hỏi Toán 7 Tập 2 Bài 5 trang 37: Hãy viết một đa thức và chỉ rõ các hạng tử của đa thức đó.
Lời giải
Ví dụ một đa thức: 2x3 + 3y2 - 7xy. Các hạng tử của đa thức đó là: 2x3; 3y2; -7xy
Trả lời câu hỏi Toán 7 Tập 2 Bài 5 trang 37: Hãy thu gọn đa thức sau:
\(Q = 5{x^2}y - 3xy + \frac{1}{2}{x^2}y - xy + 5xy - \frac{1}{3}x + \frac{1}{2} + \frac{2}{3}x - \frac{1}{4}\)
Hướng dẫn giải
Nhóm các đơn thức đồng dạng rồi thực hiện cộng trừ các đơn thức đồng dạng vừa nhóm được.
Lời giải
Ta có
\(Q = 5{x^2}y - 3xy + \frac{1}{2}{x^2}y - xy + 5xy - \frac{1}{3}x + \frac{1}{2} + \frac{2}{3}x - \frac{1}{4}\)
\(Q = \left( {5{x^2}y + \frac{1}{2}{x^2}y} \right) + \left( { - 3xy - xy + 5xy} \right) + \left( { - \frac{1}{3}x + \frac{2}{3}x} \right) + \left( {\frac{1}{2} - \frac{1}{4}} \right)\)
\(Q = \left[ {\left( {5 + \frac{1}{2}} \right){x^2}y} \right] + \left( { - 3 - 1 + 5} \right)xy + \left( { - \frac{1}{2} + \frac{2}{3}} \right)x + \left( {\frac{2}{4} - \frac{1}{4}} \right)\)
\(Q = \frac{{11}}{2}{x^2}y + xy + \frac{1}{3}x + \frac{1}{4}\)
Trả lời câu hỏi Toán 7 Tập 2 Bài 5 trang 38: Tìm bậc của đa thức:
\(Q = - 3{x^5} - \frac{1}{2}{x^3}y - \frac{3}{4}x{y^2} + 3{x^5} + 2\)
Hướng dẫn giải
Nhóm các đơn thức đồng dạng rồi thực hiện cộng trừ các đơn thức đồng dạng vừa nhóm được.
Lời giải
\(Q = - 3{x^5} - \frac{1}{2}{x^3}y - \frac{3}{4}x{y^2} + 3{x^5} + 2\)
\(Q = \left( { - 3{x^5} + 3{x^5}} \right) - \frac{1}{2}{x^3}y - \frac{3}{4}x{y^2} + 2\)
\(Q = 0 - \frac{1}{2}{x^3}y - \frac{3}{4}x{y^2} + 2\)
\(Q = - \frac{1}{2}{x^3}y - \frac{3}{4}x{y^2} + 2\)
Bài 24 (trang 38 SGK Toán 7 tập 2): Ở Đà Lạt, giá táo là x(đ/kg) và giá nho là y(đ/kg). Hãy viết biểu thức đại số biểu thị số tiền mua:

a) 5kg táo và 8 kg nho.
b) 10 hộp táo và 15 hộp nho, biết mỗi hộp táo có 12kg và mỗi hộp nho có 10kg.
Mỗi biểu thức tìm được ở hai câu trên có là đa thức không?
Lời giải:
a) Gọi A là số tiền mua 5kg táo và 8kg nho.
Ta có: A = 5x + 8y
b) Gọi B là số tiền mua.
Mỗi họp táo có 12kg nên 10 hộp có 10.12 = 120kg.
Mỗi hộp nho có 10kg nên 15 hộp có 10.15 = 150kg.
Ta có: B = 120x + 150y
- Các biểu thức A, B đều là đa thức.
Bài 25 (trang 38 SGK Toán 7 tập 2): Tìm bậc của mỗi đa thức sau:
a.
\(3{x^2} - \frac{1}{2}x + 1 + 2x - {x^2}\)
b.
\(3{x^2} + 7{x^3} - 3{x^3} + 6{x^3} - 3{x^2}\)
Hướng dẫn giải
Bước 1 Thu gọn đa thức bằng cách nhóm các đơn thức đồng dạng rồi thu gọn.
Bước 2 Bậc của đa thức là bậc của hạng tử có bậc cao nhất trong dạng thu gọn của đa thức.
Lời giải:
Cách làm: trước hết rút gọn đa thức, sau đó tìm hạng tử có bậc cao nhất => bậc của đa thức.
a)
\(3{x^2} - \frac{1}{2}x + 1 + 2x - {x^2}\)
\(= \left( {3{x^2} - {x^2}} \right) + \left( { - \frac{1}{2}x + 2x} \right) + 1\)
\(= \left( {3 - 1} \right){x^2} + \left( { - \frac{1}{2} + 2} \right)x + 1\)
\(= 2{x^2} + \frac{3}{2}x + 1\)
Hạng tử có bậc cao nhất là x2 nên đa thức có bậc 2.
b)
\(3{x^2} + 7{x^3} - 3{x^3} + 6{x^3} - 3{x^2}\)
\(= \left( {3{x^2} - 3{x^2}} \right) + \left( {7{x^3} - 3{x^3} + 6{x^3}} \right)\)
\(= \left( {3 - 3} \right){x^2} + \left( {7 - 3 + 6} \right){x^3}\)
\(= 0{x^2} + 10{x^3} = 10{x^3}\)
Hạng tử có bậc cao nhất là x3 nên đa thức có bậc 3
Bài 26 (trang 38 SGK Toán 7 tập 2): Thu gọn đa thức sau:
Q = x2 + y2 + z2 + x2 – y2 + z2 + x2 + y2 – z2
Hướng dẫn giải
Thu gọn đa thức bằng cách nhóm các đơn thức đồng dạng rồi thu gọn.
Lời giải:
Q = x2 + y2 + z2 + x2 – y2 + z2 + x2 + y2 – z2
Q = (x2 + x2 + x2) + (y2 – y2 + y2) + (z2 – z2 + z2)
Q = 3x2 + y2 + z2
Chú ý: Bậc của đa thức là 2
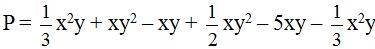
Bài 27 (trang 38 SGK Toán 7 tập 2): Thu gọn rồi tính giá trị của đa thức P tại x = 0,5 và y = 1:
![]()
Hướng dẫn giải
Bước 1 Nhóm các đơn thức đồng dạng rồi thu gọn đa thức.
Bước 2 Thay các giá trị biến x; y vào đa thức thu gọn.
Lời giải:
Thu gọn đa thức P:
\(\begin{matrix}
P = \dfrac{1}{3}{x^2}y + x{y^2} - xy + \dfrac{1}{2}x{y^2} - 5xy - \dfrac{1}{3}{x^2}y \hfill \\
P = \left( {\dfrac{1}{3}{x^2}y - \dfrac{1}{3}{x^2}y} \right) + \left( {x{y^2} + \dfrac{1}{2}x{y^2}} \right) + \left( { - xy - 5xy} \right) \hfill \\
P = 0{x^2}y + \dfrac{3}{2}x{y^2} + \left( { - 6xy} \right) \hfill \\
P = \dfrac{3}{2}x{y^2} - 6xy \hfill \\
\end{matrix}\)
Thay x = 0,5 và y = 1 ta được:
\(P=\frac{1}{3}.0,{5.1^2} - 6.0,5.1 = \frac{3}{4} - 3 = \frac{{ - 9}}{4}\)
Vậy x = 0,5, y = 1 thì
\(P=\dfrac{-9}{4}\)
Bài 28 (trang 38 SGK Toán 7 tập 2): Ai đúng? Ai sai?
Bạn Đức đố: "Bậc của đa thức M = x6 – y5 + x4y4 + 1 bằng bao nhiêu?"
Bạn Thọ nói: "Đa thức M có bậc là 6".
Bạn Hương nói: "Đa thức M có bậc là 5".
Bạn Sơn nhân xét: "Cả hai bạn đều sai".
Theo em, ai đúng? Ai sai? Vì sao?
Lời giải:
Hạng tử x có bậc 6, hạng tử y có bậc 5, hạng tử x4y4 có bậc 8 nên đa thức M có bậc là 8. Do đó:
- Bạn Thọ và Hương nói sai.
- Nhận xét của bạn Sơn là đúng.
Ghi nhớ:
- Hạng tử dạng tích (ví dụ: x2y3; x4y4; ...) có bậc là tổng số mũ của các thừa số.
- Bậc của đa thức là bậc của hạng tử có bậc cao nhất.
----------------------------------------------------------
Trên đây là lời giải chi tiết cho các bài tập SGK Toán 7 Bài 5 Đa thức dành cho các em học sinh tham khảo, nắm được cách giải các dạng toán Chương 4: Biểu thức đại số. Qua đó giúp các em học sinh ôn tập nắm chắc kiến thức cơ bản môn Toán lớp 7 và hỗ trợ các em học sinh trong các kì thi trong năm học lớp 7. Chúc các bạn học tập tốt!
Ngoài Giải bài tập SGK Toán lớp 7 bài 5: Đa thức, mời các bạn tham khảo thêm: Giải bài tập Toán lớp 7, Giải Vở BT Toán 7, Đề thi học kì 1 lớp 7, Đề thi giữa kì 1 lớp 7, Đề thi học kì 2 lớp 7... được cập nhật liên tục trên VnDoc.com.