Giải bài tập SGK Toán lớp 7 bài 8: Cộng, trừ đa thức một biến
Giải bài tập Toán lớp 7 bài 8: Cộng, trừ đa thức một biến
Giải bài tập SGK Toán lớp 7 bài 8: Cộng, trừ đa thức một biến với lời giải chi tiết, rõ ràng theo khung chương trình sách giáo khoa Toán lớp 7. Lời giải hay bài tập Toán 7 này gồm các bài giải tương ứng với từng bài học trong sách giúp cho các bạn học sinh ôn tập và củng cố các dạng bài tập, rèn luyện kỹ năng giải môn Toán. Mời các bạn tham khảo
Trả lời câu hỏi Toán 7 Tập 2 Bài 8 trang 45: Cho hai đa thức
M(x) = x4 + 5x3 - x2 + x – 0,5
N(x) = 3x4 - 5x2 – x – 2,5.
Hãy tính M(x) + N(x) và M(x) – N(x).
Lời giải
M(x) + N(x) = 4x4 + 5x3 - 6x2 -3
M(x) - N(x) = -2x4 + 5x3 + 4x2 + 2x + 2
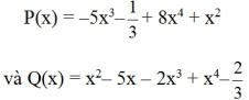
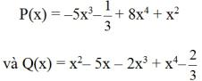
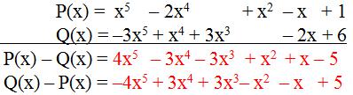
Bài 44 (trang 45 SGK Toán 7 tập 2): Cho hai đa thức:

Hãy tính P(x) + Q(x) và P(x) – Q(x).
Lời giải:
Sắp xếp hai đa thức theo lũy thừa giảm dần của biến rồi sau đó thực hiện phép tính:

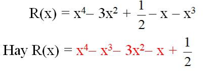
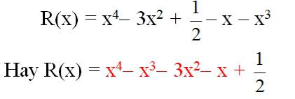
Bài 45 (trang 45 SGK Toán 7 tập 2): Cho đa thức: P(x) = x4 - 3x2 + 1/2 - x.
Tìm các đa thức Q(x), R(x) sao cho:
a) P(x) + Q(x) = x5- 2x2+ 1
b) P(x) - R(x) = x3
Lời giải:
a) Vì P(x) + Q(x) = x5– 2x2+ 1 nên
Q(x) = x5 – 2x2 + 1 – P(x)

b) Vì P(x) – R(x) = x3nên
R(x) = P(x) – x3

Bài 46 (trang 45 SGK Toán 7 tập 2): Viết đa thức P(x) = 5x3 - 4x2 + 7x - 2 dưới dạng:
a) Tổng của hai đa thức một biến.
b) Hiệu của hai đa thức một biến.
Bạn Vinh nêu nhận xét: "Ta có thể viết đa thức đã cho thành tổng của hai đa thức bậc 4". Đúng hay sai? Vì sao
Lời giải:
a) Tổng của hai đa thức một biến.
5x3 - 4x2 + 7x - 2 = (5x3 - 4x2) + (7x - 2)
= (5x3 - 2) + (7x - 4x2)
= ...... (còn một số cách khác nữa, bạn chỉ cần nhóm hai hạng tử vào một dấu ngoặc và giữ nguyên dấu)
b) Hiệu của hai đa thức một biến.
5x3 - 4x2 + 7x - 2 = (5x3 + 7x) - (4x2 + 2)
= (5x3 - 2) - (4x2 - 7x)
= ...... (còn một số cách khác nữa, bạn chỉ cần nhóm hai hạng tử vào một dấu ngoặc và đổi dấu hai hạng tử trong dấu ngoặc có dấu trừ đằng trước)
c) Bạn Vinh nói đúng: Ta có thể viết đa thức đã cho thành tông của hai đa thức bậc 4 chẳng hạn như:
5x3 - 4x2 + 7x - 2 = (x4 + 5x3 + 7x) + (-x4 - 4x2 - 2)
= (2x4 + 5x3 + 7x) + (-2x4 - 4x2 - 2)
= ......
(phần c này có vô số cách viết, miễn sao tổng hai hệ số của x4 là bằng 0)
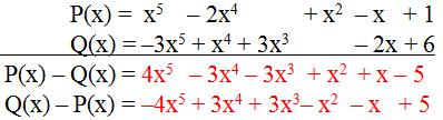
Bài 47 (trang 45 SGK Toán 7 tập 2): Cho các đa thức:
P(x) = 2x4 – x – 2x3 + 1
Q(x) = 5x2 – x3 + 4x
H(x) = –2x4 + x2 + 5
Tính P(x) + Q(x) + H(x) và P(x) – Q(x) – H(x).
Lời giải:
Sắp xếp các đa thức theo lũy thừa giảm dần rồi xếp các số hạng đồng dạng theo cùng cột dọc ta được:

Bài 48 (trang 46 SGK Toán 7 tập 2): Chọn đa thức mà em cho là kết quả đúng:
|
(2x3 – 2x + 1) – (3x2 + 4x – 1) = ? |
2x3 + 3x2 – 6x + 2 |
|
2x3 – 3x2 – 6x + 2 |
|
|
2x3 – 3x2 + 6x + 2 |
|
|
2x3 – 3x2 – 6x – 2 |
Lời giải:
Ta có:
(2x3 - 2x + 1) - (3x2 + 4x - 1) = 2x3 - 3x2 - 6x + 2
Vậy chọn đa thức thứ hai.
Bài 49 (trang 46 SGK Toán 7 tập 2): Hãy tìm bậc của mỗi đa thức sau:
M = x2 – 2xy + 5x2 – 1
N = x2y2 – y2 + 5x2 – 3x2y + 5

Lời giải:
Đa thức M = x2 - 2xy + 5x2 - 1 = 6x2 - 2xy - 1 có bậc 2.
Đa thức N có bậc 4.
Ghi nhớ
Trước khi tìm bậc của bất kì đa thức nào, các bạn cần xem đa thức đó có thể rút gọn được không và rút gọn chúng.
Bài 50 (trang 46 SGK Toán 7 tập 2): Cho các đa thức:
N = 15y3 + 5y2 – y5 – 5y2 – 4y3 – 2y
M = y2 + y3 – 3y + 1 – y2 + y5 – y3 + 7y5
a) Thu gọn các đa thức trên.
b) Tính N + M và N – M.
Lời giải:
a) Thu gọn mỗi đa thức
N = 15y3 + 5y2 – y5 – 5y2 – 4y3 – 2y
= –y5 + 11y3 – 2y
M = y2 + y3 – 3y + 1 – y2 + y5 – y3 + 7y5
= 8y5 – 3y + 1
b) N + M = –y5+ 11y3– 2y + 8y5 – 3y +1
= 7y5 + 11y3 – 5y + 1
N – M = –y5 + 11y3 – 2y – 8y5 + 3y – 1
= –9y5 + 11y3 + y – 1
Bài 51 (trang 46 SGK Toán 7 tập 2): Cho hai đa thức:
P(x) = 3x2 – 5 + x4 – 3x3 – x6 – 2x2 – x3
Q(x) = x3 + 2x5 – x4 + x2 – 2x3 + x –1.
a) Sắp xếp các hạng tử của mỗi đa thức theo lũy thừa tăng của biến.
b) Tính P(x) + Q(x) và P(x) – Q(x).
Lời giải:
a) Sắp xếp các hạng tử của mỗi đa thức theo lũy thừa tăng của biến.
Thu gọn: P(x) = 3x2 – 5 + x4 – 3x3 – x6 – 2x2 – x3
= x2– 5 + x4 – 4x3 – x6
Sắp xếp: P(x) = –5 + x2 – 4x3 + x4 – x6
Thu gọn: Q(x) = x3 + 2x5 – x4 + x2 – 2x3 + x –1
Sắp xếp: Q(x) = –1 + x+ x2 – x3 – x4 + 2x5
b)

Bài 52 (trang 46 SGK Toán 7 tập 2): Tính giá trị của đa thức P(x) = x2 - 2x - 8 tại: x = -1; x = 0 và x = 4.
Lời giải:
Thay lần lượt các giá trị x vào đa thức P(x) ta tính được:
P(–1) = (–1)2 – 2(–1) – 8 = 1 + 2 – 8 = –5
P(0) = 02 – 2.0 – 8 = –8
P(4) = 42 – 2.4 – 8 = 16 – 8 – 8 = 0
Bài 53 (trang 46 SGK Toán 7 tập 2): Cho các đa thức:
P(x) = x5 – 2x4 + x2 – x + 1
Q(x) = 6 – 2x + 3x3 + x4 – 3x5
Tính P(x) – Q(x) và Q(x) – P(x). Có nhận xét gì về các hệ số của hai đa thức tìm được?
Lời giải:

Nhận xét: Các hệ số tương ứng của hai đa thức tìm được đối nhau.
[Đơn giản lý do là: P(x) – Q(x) = - (Q(x) – P(x))]