Giải bài tập SGK Toán lớp 7: Ôn tập chương I
Giải bài tập SGK Toán lớp 7: Ôn tập chương I: Số hữu tỉ. Số thực
Giải bài tập SGK Toán lớp 7: Ôn tập chương I: Số hữu tỉ. Số thực với lời giải chi tiết, rõ ràng theo khung chương trình sách giáo khoa Toán lớp 7. Lời giải hay bài tập Toán 7 này gồm các bài giải tương ứng với từng bài học trong sách giúp cho các bạn học sinh ôn tập và củng cố các dạng bài tập, rèn luyện kỹ năng giải môn Toán. Mời các bạn tham khảo
Giải bài tập SGK Toán lớp 7 bài 10: Làm tròn số
Giải bài tập SGK Toán lớp 7 bài 11: Số vô tỉ. Khái niệm về căn bậc hai
Câu hỏi ôn tập chương 1 Đại Số (trang 46 SGK Toán 7 tập 1): 1. Nêu ba cách viết của số hữu tỉ
\(-\frac{3}{5}\) và biểu diễn số hữu tỉ đó trên trục số.
Lời giải
- Ba cách viết số hữu tỉ
\(-\frac{3}{5}\) là:
\(\frac{-6}{10};\frac{-9}{15};\frac{12}{-20}\)
- Biểu diễn số hữu tỉ
\(-\frac{3}{5}\) trên trục số:
Chia đoạn thẳng đơn vị (đoạn từ điểm 0 đến điểm –1) thành năm phần bằng nhau, lấy một đoạn làm đơn vị mới thì đơn vị mới bằng 1/5 đơn vị cũ.
⇒ Số hữu tỉ
\(-\frac{3}{5}\) được biểu diễn bởi điểm M nằm bên trái điểm 0 và cách điểm 0 một đoạn bằng 3 đơn vị mới.

Câu hỏi ôn tập chương 1 Đại Số (trang 46 SGK Toán 7 tập 1): 2. Thế nào là số hữu tỉ dương? Số hữu tỉ âm?
Số hữu tỉ nào không là số hữu tỉ dương cũng không là số hữu tỉ âm?
Lời giải
- Số hữu tỉ lớn hơn 0 gọi là số hữu tỉ dương
Số hữu tỉ nhỏ hơn 0 gọi là số hữu tỉ âm
- Số 0 không là số hữu tỉ dương cũng không là số hữu tỉ âm
Câu hỏi ôn tập chương 1 Đại Số (trang 46 SGK Toán 7 tập 1): 3. Giá trị tuyệt đối của số hữu tỉ x được xác định như thế nào?
Lời giải
Giá trị tuyệt đối của số hữu tỉ x, kí hiệu |x|, là khoảng cách từ điểm x tới điểm 0 trên trục số.
Câu hỏi ôn tập chương 1 Đại Số (trang 46 SGK Toán 7 tập 1): 4. Định nghĩa lũy thừa với số mũ tự nhiên của một số hữu tỉ.
Lời giải
Lũy thừa bậc n của một số hữu tỉ x, kí hiệu xn, là tích của n thừa số x (n là một số tự nhiên lớn hơn 1)
Câu hỏi ôn tập chương 1 Đại Số (trang 46 SGK Toán 7 tập 1): 5. Viết công thức:
- Nhân hai lũy thừa cùng cơ số.
- Chia hai lũy thừa cùng cơ số khác 0.
- Lũy thừa của một lũy thừa.
- Lũy thừa của một tích.
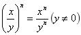
- Lũy thừa của một thương.
Lời giải
- Nhân hai lũy thừa cùng cơ số: xm . xn = x(m+n)
- Chia hai lũy thừa cùng cơ số khác 0: xm : xn = x(m-n) (x ≠ 0; m ≥ n)
- Lũy thừa của một lũy thừa: (xm)n = x(m.n)
- Lũy thừa của một tích: (x.y)n = xn . yn
- Lũy thừa của một thương: 
Câu hỏi ôn tập chương 1 Đại Số (trang 46 SGK Toán 7 tập 1): 6. Thế nào là tỉ số của hai số hữu tỉ? Cho ví dụ.
Lời giải
Thương của phép chia số hữu tỉ x cho số hữu tỉ y (y ≠ 0) gọi là tỉ số của hai số x và y, kí hiệu là
\(\frac{x}{y}\) hay x : y
Ví dụ: ![]()
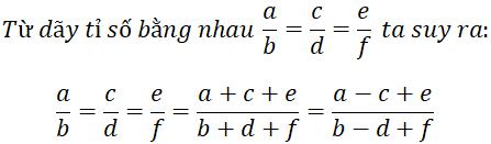
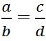
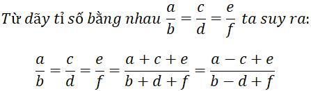
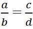
Câu hỏi ôn tập chương 1 Đại Số (trang 46 SGK Toán 7 tập 1): 7. Tỉ lệ thức là gì? Phát biểu tính chất cơ bản của tỉ lệ thức. Viết công thức thể hiện tính chất của dãy tỉ số bằng nhau.
Lời giải
- Tỉ lệ thức là đẳng thức của hai tỉ số: ![]()
- Tính chất cơ bản của tỉ lệ thức:
Nếu
thì ad = bc
- Tính chất của dãy tỉ số bằng nhau:

(Giả thiết các tỉ số đều có nghĩa)
Câu hỏi ôn tập chương 1 Đại Số (trang 46 SGK Toán 7 tập 1): 8. Thế nào là số vô tỉ? Cho ví dụ.
Lời giải
Số vô tỉ là số được viết dưới dạng số thập phân vô hạn không tuần hoàn.
Ví dụ: x = 1,4142135623730950…….
Câu hỏi ôn tập chương 1 Đại Số (trang 46 SGK Toán 7 tập 1): 9. Thế nào là số thực? Trục số thực?
Lời giải
- Số hữu tỉ và số vô tỉ được gọi chung là số thực.
- Các điểm biểu diễn số thực đã lấp đầy trục số.
⇒ Trục số còn được gọi là trục số thực:

Câu hỏi ôn tập chương 1 Đại Số (trang 46 SGK Toán 7 tập 1): 10. Định nghĩa căn bậc hai của một số không âm.
Lời giải
Căn bậc hai của một số a không âm là số x sao cho x2 = a
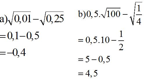
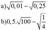
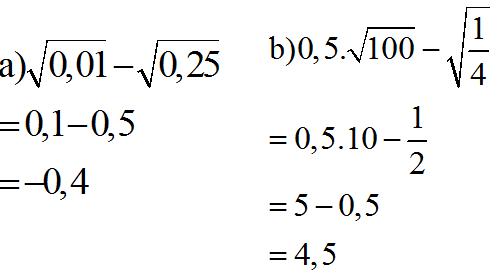
Bài 96 (trang 48 SGK Toán 7 Tập 1): Thực hiện phép tính (bằng cách hợp lí nếu có thể)

Lời giải:


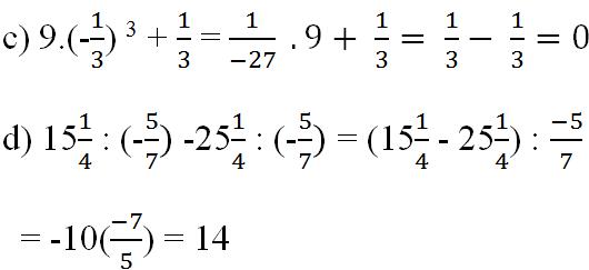
Bài 97 (trang 49 SGK Toán 7 Tập 1): Tính nhanh
a) (-6,37 . 0,4) . 2,5
b) (-0,125 ) . (-5,3 ) . 8
c) (-2,5 ) . (-4) . (-7,9)
![]()
Lời giải:
a) (-6,37 . 0,4) . 2,5 = -6,37 . (0,4 . 25)
= -6,37 . 1 = -6,37
b) (-0,125 ) . (-5,3 ) . 8 = (-5,3) . (-0,125 . 8)
= -1 . (-5,3) = 5,3
c) (-2,5 ) (-4) . (-7,9) = [(-2,5) . (-4) ] . (-7,9)
= 10 . (-7,9) = -79

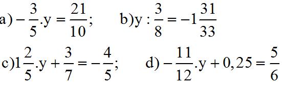
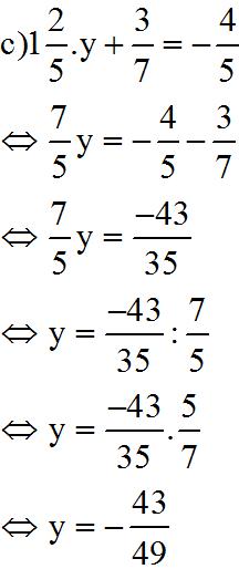
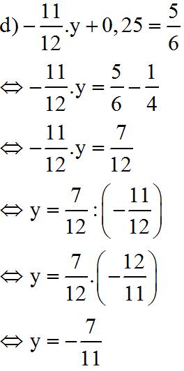
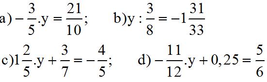
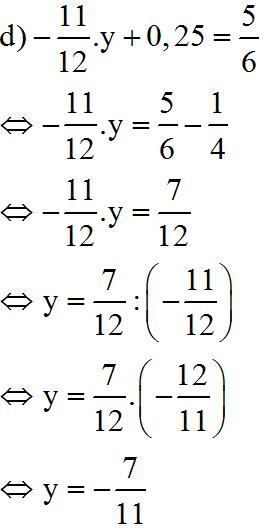
Bài 98 (trang 49 SGK Toán 7 Tập 1): Tìm y biết:

Lời giải:



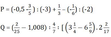
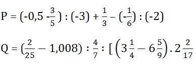
Bài 99 (trang 49 SGK Toán 7 Tập 1): Tính giá trị biểu thức

Lời giải:

Bài 101 (trang 49 SGK Toán 7 Tập 1): Tìm x biết:
a) |x| = 2,5
b) |x| = -1,2
c) |x| + 0,573 = 2
d)
\(\left|x+\frac{1}{3}\right|-4=-1\)
Lời giải:
a) |x| = 2,5 => x = ±2,5
b) |x| = -1,2
Vì |x| ≥ 0 nên không tồn tại giá trị nào của x để |x| = -1,2
c) |x| + 0,573 = 2
⇔ |x| = 2 - 0,573
⇔ |x| = 1,427
⇔ x = ±1,427

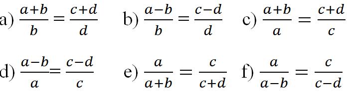
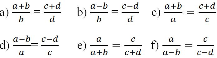
Bài 102 (trang 50 SGK Toán 7 Tập 1): Từ tỉ lệ thức
![]()
(a, b, c, d ≠ 0, a ≠ ±b; c ≠ ±d) hãy suy ra các tỉ lệ thức sau

Lời giải:


Bài 103 (trang 50 SGK Toán 7 Tập 1): Theo hợp đồng hai tổ sản xuất chia lãi với nhau theo tỉ lệ 3 : 5. Hỏi mỗi tổ được chia bao nhiêu nếu tổng số lãi là 1280000 đồng?
Lời giải:
Gọi số tiền lãi mỗi tổ được chia là x, y.
Theo đề bài ta có:

Do đó:
x = 1600000.3 = 4800000 (đ)
y = 1600000.5 = 8000000 (đ)
Bài 104 (trang 50 SGK Toán 7 Tập 1): Một cửa hàng có ba tấm vải dài tổng cộng 108m. Sau khi bán đi
![]()
thì số mét vải còn lại ở ba tấm bằng nhau. Tính chiều dài mỗi tấm vải lúc đầu?
Lời giải:
Gọi chiều dài của mỗi tấm vải lần lượt là x (m), y (m), z (m).
Theo đề bài ta có:

Vậy:
Tấm vải 1 dài 24 mét
Tấm vải 2 dài 36 mét
Tấm vải 3 dài 48 mét
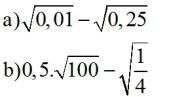
Bài 105 (trang 50 SGK Toán 7 Tập 1): Tính giá trị của các biểu thức sau:

Lời giải:
