Giải bài tập SGK Toán lớp 7 bài 6: Mặt phẳng tọa độ
Giải bài tập Toán lớp 7 bài 6: Mặt phẳng tọa độ
Giải bài tập SGK Toán lớp 7 bài 6: Mặt phẳng tọa độ với lời giải chi tiết, rõ ràng theo khung chương trình sách giáo khoa Toán lớp 7. Lời giải hay bài tập Toán 7 này gồm các bài giải tương ứng với từng bài học trong sách giúp cho các bạn học sinh ôn tập và củng cố các dạng bài tập, rèn luyện kỹ năng giải môn Toán. Mời các bạn tham khảo
Giải bài tập SGK Toán lớp 7 bài 3: Đại lượng tỉ lệ nghịch
Giải bài tập SGK Toán lớp 7 bài 4: Một số bài toán về đại lượng tỉ lệ nghịch
Trả lời câu hỏi Toán 7 Tập 1 Bài 6 trang 66: Vẽ một hệ trục tọa độ Oxy (trên giấy kẻ ô vuông) và đánh dấu vị trí của các điểm P; Q lần lượt có tọa độ là (2; 3); (3; 2)
Lời giải

Trả lời câu hỏi Toán 7 Tập 1 Bài 6 trang 67: Viết tọa độ của gốc O
Lời giải
Ta có: O(0; 0)
Bài 32 (trang 67 SGK Toán 7 Tập 1): a) Viết tọa độ các điểm M, N, P, Q trong hình
b) Em có nhận xét gì về tọa độ của các cặp điểm M và N, P và Q.

Lời giải:
a) M(-3; 2); N(2; -3); P(0; -2); Q(-2; 0)
b) Nhận xét: Trong mỗi cặp điểm hoành độ của điểm này bằng tung độ của điểm kia và ngược lại.
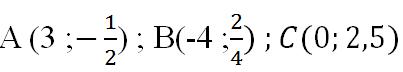
Bài 33 (trang 67 SGK Toán 7 Tập 1): Vẽ một hệ trục tọa độ Oxy và đánh dấu các điểm
![]()
Lời giải:

Bài 34 (trang 68 SGK Toán 7 Tập 1): a) Một điểm bất kì trên trục hoành có tung độ bằng bao nhiêu?
b) Một điểm bất kì trên trục tung có hoành độ bằng bao nhiêu?
Lời giải:
a) Một điểm bất kì trên trục hoành có tung độ bằng 0
b) Một điểm bất kì trên trục tung có hoành độ bằng 0
Bài 35 (trang 68 SGK Toán 7 Tập 1): Tìm tọa độ các đỉnh của hình chữ nhật ABCD và của hình tam giác PQR trong hình 20.

Lời giải:
Tọa độ các đỉnh của hình chữ nhật ABCD:
A(0,5; 2); B(2; 2); C(2; 0); D(0,5; 0)
Tọa độ các đỉnh của hình tam giác PQR:
P(-3; 3); Q(-1; 1); R(-3; 1)

Bài 36 (trang 68 SGK Toán 7 Tập 1): Vẽ một hệ trục tọa độ Oxy và đánh dấu các điểm A(-4;-1); B (-2;-1); C(-2;-3); D(-4;-3). Tứ giác ABCD là hình gì?
Lời giải:
- Vẽ trục tọa độ Oxy và biểu diễn các điểm:

- Tứ giác ABCD là hình vuông
Bài 37 (trang 68 SGK Toán 7 Tập 1): Hàm số y được cho bảng sau:
|
x |
0 |
1 |
2 |
3 |
4 |
|
y |
0 |
2 |
4 |
6 |
8 |
a) Viết tất cả các cặp giá trị tương ứng (x; y) của hàm số trên
b) Vẽ một hệ trục tọa độ Oxy và xác định các điểm biểu diễn các cặp giá trị tương ứng của x và y ở câu a
Lời giải:
a) Tất cả các cặp giá trị tương ứng (x; y) là
(0; 0); (1; 2); (2; 4); (3; 6); (4; 8)
b) Trên hình vẽ 0, A, B, C, D là vị trí của các điểm biểu diễn các cặp giá trị tương ứng của x và y trong câu a.

Bài 38 (trang 68 SGK Toán 7 Tập 1):

Chiều cao và tuổi của bốn bạn Hồng, Hoa, Đào, Liên được biểu diễn trên mặt phẳng tọa độ (hình 21). Hãy cho biết:
a) Ai là người cao nhất và cao bao nhiêu?
b) Ai là người ít tuổi nhất và bao nhiêu tuổi?
c) Hồng và Liên ai cao hơn và ai nhiều tuổi hơn?
Lời giải:
Theo hình vẽ ta có:
Đào cao 15dm, Hồng cao 14dm, Hoa cao 14dm và Liên cao 13dm.
Đào 14 tuổi, Liên 14 tuổi, Hoa 13 tuổi, Hồng 11 tuổi.
a) Đào là người cao nhất và cao 15dm.
b) Hồng là người ít tuổi nhất và là 11 tuổi.
c) Hồng cao hơn Liên và Liên nhiều tuổi hơn Hồng.