Giải bài tập SGK Toán lớp 7 bài: Ôn tập chương IV: Biểu thức đại số
Giải bài tập Toán lớp 7 bài: Ôn tập chương IV: Biểu thức đại số
Giải bài tập SGK Toán lớp 7 bài: Ôn tập chương IV: Biểu thức đại số với lời giải chi tiết, rõ ràng theo khung chương trình sách giáo khoa Toán lớp 7. Lời giải hay bài tập Toán 7 này gồm các bài giải tương ứng với từng bài học trong sách giúp cho các bạn học sinh ôn tập và củng cố các dạng bài tập, rèn luyện kỹ năng giải môn Toán. Mời các bạn tham khảo
Giải bài tập SGK Toán lớp 7 bài 7: Đa thức một biến
Giải bài tập SGK Toán lớp 7 bài 8: Cộng, trừ đa thức một biến
Giải bài tập SGK Toán lớp 7 bài 9: Nghiệm của đa thức một biến
Câu hỏi ôn tập chương 4 trang 49 Toán 7 Tập 2
Viết năm đơn thức của hai biến x, y trong đó x và y có bậc khác nhau.
Trả lời
Năm đơn thức là: xy2; 3x2y; –2x2y3; x3y2; xy3; ...
Thế nào là hai đơn thức đồng dạng? Cho ví dụ.
Trả lời
Hai đơn thức đồng dạng là hai đơn thức có hệ số khác 0 và có cùng phần biến.
Ví dụ: –2x2y; 3x2y; 5x2y là các đơn thức đồng dạng, ta có thể cộng (hay trừ) các hệ số với nhau và giữ nguyên phần biến.
Phát biểu qui tắc cộng, trừ hai đơn thức đồng dạng.
Trả lời
Để cộng (hay trừ) hai đơn thức đồng dạng, ta cộng (hay trừ) các hệ số với nhau và giữ nguyên phần biến.
Khi nào số a được gọi là nghiệm của đa thức P(x).
Trả lời
Số a được gọi là nghiệm của đa thức P(x) khi có P(a) = 0.
Bài 57 (trang 49 SGK Toán 7 tập 2): Viết một biểu thức đại số của hai biến x, y thỏa mãn từng điều kiện sau:
a) Biểu thức đó là đơn thức.
b) Biểu thức đó là đa thức mà không phải đơn thức.
Lời giải:
a) Vì mỗi đơn thức là một đa thức nên ta có thể viết bất kỳ đơn thức nào ở câu này.
Ví dụ: P(x) = xy2 (Vì đơn thức cũng là một đa thức)
b) Có vô số đa thức không phải là đơn thức.
Ví dụ: 2x + 3y; x2 + 2y
Bài 58 (trang 49 SGK Toán 7 tập 2): Tính giá trị mỗi biểu thức sau tại x = 1; y = -1 và z = -2:
a) 2xy(5x2y + 3x – z) ; b) xy2+ y2z3+ z3x4
Lời giải:
a) Thay x = 1 ; y = –1 và z = –2 vào biểu thức ta được:
2xy(5x2y + 3x – z) = 2.1(–1).[5.12.(–1) + 3.1 – (–2)]
= -2[–5 + 3 +2] = –2.0 = 0
Vậy đa thức có giá trị bằng 0 tại x = 1 ; y = –1 và z = –2.
b) Thay x = 1 ; y = –1 và z = –2 vào biểu thức ta được:
xy2 + y2z3 + z3x4 = 1.(–1)2 + (–1)2(–2)3 + (–2)314
= 1 + (–8) + (–8) = –15
Vậy đa thức có giá trị bằng -15 tại x = 1 ; y = –1 và z = –2.
Bài 59 (trang 49 SGK Toán 7 tập 2): Hãy điền đơn thức thích hợp vào mỗi ô trống dưới đây:

Lời giải:
(Áp dụng: am.an = am+n)

Bài 60 (trang 49-50 SGK Toán 7 tập 2): Có hai vòi nước, vòi thứ nhất chảy vào bể A, vòi thứ hai chảy vào bể B. Bể A đã có sẵn 100 lít nước, Bể B chưa có nước. Mỗi phút vòi thứ nhất chảy được 30 lít, vòi thứ hai chảy được 40 lít.
a) Tính lượng nước có trong mỗi bể sau thời gian 1, 2, 3, 4, 10 phút rồi điền kết quả vào bảng sau (giả thiết rằng bể đủ lớn để chứa được nước).

b) Viết biểu thức đại số biểu thị số nước trong mỗi bể sau thời gian x phút.
Lời giải:
a) Điền kết quả

Giải thích:
Sau 1 phút bể A có 100 + 30 = 130 (lít), bể B có 40 (lít)
=> Cả 2 bể có 170 lít
Sau 2 phút bể A có 100 + 2.30 = 160 (lít), bể B có 40.2 = 80 (lít)
=> Cả 2 bể có 240 lít
Sau 3 phút bể A có 100 + 3.30 = 190 (lít), bể B có 40.3 = 120 (lít)
=> Cả 2 bể có 310 lít
Sau 4 phút bể A có 100 + 4.30 = 220 (lít), bể B có 40.4 = 160 (lít)
=> Cả 2 bể có 380 lít
Sau 10 phút bể A có 100 + 10.30 = 400 (lít), bể B có 40.10 = 400 (lít)
=> Cả 2 bể có 800 lít
b) (Từ phần giải thích trên, ta dễ dàng suy ra hai biểu thức đại số sau:)
- Số lít nước trong bể A sau thời gian x phút:
100 + 30x
- Số lít nước trong bể B sau thời gian x phút:
40x
Bài 61 (trang 50 SGK Toán 7 tập 2): Tính tích của các đơn thức sau rồi tìm hệ số và bậc của tích tìm được.

Lời giải:
a) Tích xy3.(-2x2yz2)/4=-x3y4z2/2
Hệ số của tích là -1/2, có bậc là 9.
b) 2x2(-3xy3z) = -(2).(-3)x2yz.xy3z = 6x3y4z2
Hệ số của tích là 6, có bậc là 9.
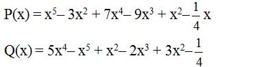
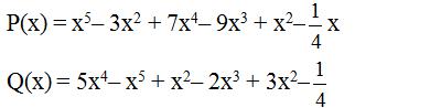
Bài 62 (trang 50 SGK Toán 7 tập 2): Cho hai đa thức:

a) Sắp xếp các hạng tử của mỗi đa thức trên theo lũy thừa giảm của biến.
b) Tính P(x) + Q(x) và P(x) – Q(x).
c) Chứng tỏ rằng x = 0 là nghiệm của đa thức P(x) nhưng không phải là nghiệm của đa thức Q(x).
Lời giải:

Bài 63 (trang 50 SGK Toán 7 tập 2): Cho đa thức:
M(x) = 5x3 + 2x4 – x2 + 3x2 – x3 – x4 + 1 – 4x3
a) Sắp xếp các hạng tử của đa thức trên theo lũy thừa giảm của biến.
b) Tính M(1) và M(-1).
c) Chứng tỏ rằng đa thức trên không có nghiệm.
Lời giải:
a) Thu gọn và sắp xếp:
M(x) = 2x4 – x4 + 5x3 – x3 – 4x3 + 3x2 – x2 + 1
= x4 + 2x2 +1
b) M(1) = 14 + 2.12+ 1 = 4
M(–1) = (–1)4 + 2(–1)2 + 1 = 4
c) Ta có: M(x) = x4+ 2x2+ 1
Vì x4 và 2x2 luôn lớn hơn hoặc bằng 0 với mọi x
nên x4 + 2x2 + 1 > 0 với mọi x
Tức là M(x) ≠ 0 với mọi x.
Vậy đa thức trên không có nghiệm.
(Ghi nhớ: x4, x2, ... có số mũ chẵn nên lớn hơn hoặc bằng 0 với mọi giá trị của x. Ví dụ: nếu cho x = -2, chúng ta sẽ có (-2)2 = 4 > 0)
Bài 64 (trang 50 SGK Toán 7 tập 2): Hãy viết các đơn thức đồng dạng với đơn thức x2y sao cho tại x = -1 và y = 1, giá trị của các đơn thức đó là số tự nhiên nhỏ hơn 10.
Lời giải:
Đơn thức đồng dạng với đơn thức x2y là: ax2y với a là hằng số.
Tại x = –1 và y = 1 giá trị của đơn thức là: a(–1)2.1 = a
Nên để giá trị của đơn thức là số tự nhiên nhỏ hơn 10 thì a < 10.
=> a = {1, 2, 3, 4, 5, 6, 7, 8, 9}
Vậy các đơn thức đó là: x2, 2x2y, 3x2y, 4x2y, 5x2y, 6x2y, 7x2y, 8x2y, 9x2y.
(Các bạn cần lưu ý câu giá trị của đơn thức là số tự nhiên nhỏ hơn 10 nhé. Một số sách giải hoặc trang web cho kết quả a là các số âm (-x2y) là sai.)
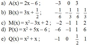
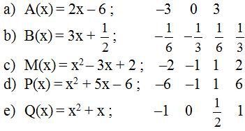
Bài 65 (trang 51 SGK Toán 7 tập 2): Trong số các số bên phải của các đa thức sau, số nào là nghiệm của đa thức bên trái nó?

Lời giải:
Ta thử các giá trị vào đa thức bên trái, giá trị nào làm đa thức bằng 0 thì đó là nghiệm của đa thức.
Các nghiệm là:
a) 3
b) -1/6
c) 1; 2
d) -6; 1
e) -1; 0