Giải bài tập SGK Toán lớp 7 bài 2: Một số bài toán về đại lượng tỉ lệ thuận
Giải bài tập Toán lớp 7 bài 2: Một số bài toán về đại lượng tỉ lệ thuận
Giải bài tập SGK Toán lớp 7 bài 2: Một số bài toán về đại lượng tỉ lệ thuận với lời giải chi tiết, rõ ràng theo khung chương trình sách giáo khoa Toán lớp 7. Lời giải hay bài tập Toán 7 này gồm các bài giải tương ứng với từng bài học trong sách giúp cho các bạn học sinh ôn tập và củng cố các dạng bài tập, rèn luyện kỹ năng giải môn Toán. Mời các bạn tham khảo
Trả lời câu hỏi Toán 7 Tập 1 Bài 2 trang 55: Hai thanh kim loại đồng chất có thể tích là 10 cm3 và 15 cm3. Hỏi mỗi thanh nặng bao nhiêu gam? Biết rằng khối lượng của cả hai thanh là 222,5g.
Lời giải
Khối lượng của hai thanh tỉ lệ theo hệ số tỉ lệ : 10/15
Gọi khối lượng hai thanh kim loại lần lượt là : x và y (gam)

⇒ x = 8,9 . 10 = 89 (gam)
y = 8,9 . 15 = 133,5 (gam)
Trả lời câu hỏi Toán 7 Tập 1 Bài 2 trang 55: Hãy vận dụng tính chất của dãy tỉ số bằng nhau để giải bài toán 2.
Lời giải
Theo đề bài ta có:

Theo tính chất của dãy tỉ số bằng nhau:

Bài 5 (trang 55 SGK Toán 7 Tập 1): Hai đại lượng x và y có tỉ lệ thuận với nhau hay không nếu:
a)
|
x |
1 |
2 |
3 |
4 |
5 |
|
y |
9 |
18 |
27 |
36 |
45 |
b)
|
x |
1 |
2 |
5 |
6 |
9 |
|
y |
12 |
24 |
60 |
72 |
90 |
Lời giải:
a) Ta có

=> y = 9x
Vậy x và y là hai đại lượng tỉ lệ thuận
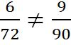
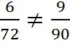
b) Ta có

nên x và y không tỉ lệ thuận
Bài 6 (trang 55 SGK Toán 7 Tập 1): Thay cho việc đo chiều dài các cuộn dây thép người ta thường cân chúng. Cho biết mỗi mét dây nặng 25 gam.
a) Giả sử x mét dây nặng y gam. Hãy biểu diễn y theo x
b) Cuộn dây dài bao nhiêu mét biết rằng nó nặng 4,5kg?
Lời giải:
a) Vì khối lượng của cuộn dây thép tỉ lệ thuận với chiều dài nên y = kx.
Theo đề bài ta có y = 75 thì x = 3 thay vào công thức ta được 75 = k.3 hay k = 25.
Vậy y = 25x.
b) Vì y = 25x nên khi y = 4,5kg = 4500g thì x = 4500 : 25 = 180.
Vậy cuộn dây dài 180m.
Bài 7 (trang 56 SGK Toán 7 Tập 1): Hạnh và Vân định làm mứt dẻo từ 2,5kg dâu. Theo công thức mứt dẻo từ dâu thì cần 3kg đường. Hạnh bảo cần 3,75kg đường còn Vân bảo cần 3,25kg. Theo em ai đúng và vì sao?
Lời giải:
Vì khối lượng dâu y(kg) tỉ lệ thuận với khối lượng đường x(kg) nên ta có y = kx
Theo điều kiện đề bài y = 2 thì x = 3 thay vào công thức ta có
2 = k.3 nên

Vậy Hạnh nói đúng.
Bài 8 (trang 56 SGK Toán 7 Tập 1): Học sinh của ba lớp 7 cần phải trồng và chăm sóc 24 cây xanh. Lớp 7A có 32 học sinh lớp 7B có 28 học sinh lớp 7C có 36 học sinh. Hỏi mỗi lớp phải trồng và chăm sóc bao nhiêu cây xanh biết rằng số cây xanh tỉ lệ với số học sinh?
Lời giải:
Gọi số cây trồng của các lớp 7A, 7B,7C lần lượt là x, y, z.
Theo đề bài ta có:
x + y +z = 24 và

Vậy số cây trồng của các lớp 7A, 7B, 7C theo thứ tự 8, 7, 9 (cây)
Bài 9 (trang 56 SGK Toán 7 Tập 1): Đồng bạch là một loại hợp kim của niken, kẽm và đồng vói khối lượng của chúng lần lượt tỉ lệ với 3; 4 và 13. Hỏi cần bao nhiêu kilogam niken, kẽm và đồng để sản xuất 150kg đồng bạch?
Lời giải:
Gọi khối lượng (kg) của niken, kẽm, đồng lần lượt là x, y, z.
Theo đề bài ta có:
x + y + z = 150 và

Vậy x = 7,5.3 = 22,5
y = 7,5.4 = 30
z = 7,5.13 = 97,5
Vậy khối lượng của niken, kẽm, đồng theo thứ tự là 22,5kg; 30kg; 97,5kg
Bài 10 (trang 56 SGK Toán 7 Tập 1): Biết các cạnh của một tam giác tỉ lệ với 2 : 3 : 4 và chu vi của nó là 45cm. Tính các cạnh của tam giác đó.
Lời giải:
Gọi chiều dài (cm) của các cạnh của tam giác tỉ lệ với 2, 3, 4 lần lượt là x, y, z
Theo đề bài ta có:
x + y+ z = 45 và

Nên x = 5.2 = 10
y = 5.3 = 15
z = 5.4 = 20
Vậy 3 cạnh của tam giác là 10cm; 15cm; 20cm
Bài 11 (trang 56 SGK Toán 7 Tập 1): Đố. Đố em tính được trên một chiếc đồng hồ khi kim giờ quay được một vòng thì kim phút, kim giây quay được bao nhiêu vòng?
Lời giải:
Ta biết rằng 1 giờ = 60 phút = 3600 giây.
Do đó khi kim giờ đi được 1 giờ thì kim phút quay được 1 vòng và kim giây quay được 60 vòng trên mặt đồng hồ.
Vậy trên mặt chiếc đồng hồ khi kim giờ quay được 1 vòng thì kim phút quay được 12 (vòng) và kim giây quay được 60.12 = 720 (vòng).