Giải bài tập SGK Toán lớp 7 bài: Phần Đại số - Ôn tập cuối năm
Giải bài tập Toán lớp 7 bài: Phần Đại số - Ôn tập cuối năm
Giải bài tập SGK Toán lớp 7 bài: Phần Đại số - Ôn tập cuối năm với lời giải chi tiết, rõ ràng theo khung chương trình sách giáo khoa Toán lớp 7. Lời giải hay bài tập Toán 7 này gồm các bài giải tương ứng với từng bài học trong sách giúp cho các bạn học sinh ôn tập và củng cố các dạng bài tập, rèn luyện kỹ năng giải môn Toán. Mời các bạn tham khảo
Giải bài tập SGK Toán lớp 7 bài 7: Tính chất đường trung trực của một đoạn thẳng
Giải bài tập SGK Toán lớp 7 bài 8: Tính chất ba đường trung trực của tam giác
Giải bài tập SGK Toán lớp 7 bài 9: Tính chất ba đường cao của tam giác
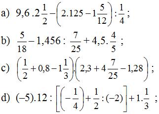
Bài 1 (trang 88 SGK Toán 7 tập 2): Thực hiện các phép tính:

Lời giải:



Bài 2 (trang 89 SGK Toán 7 tập 2): Với giá trị nào của x thì ta có:
a) |x| + x = 0 ; b) x + |x| = 2x
Lời giải:
a)
- Với x ≥ 0 thì |x| = x
Khi đó |x| + x = 0 => x + x = 0
=> 2x = 0 => x = 0 (thỏa mãn điều kiện) (1)
- Với x ≤ 0 thì |x| = -x
Khi đó |x| + x = 0 => -x + x = 0
=> 0x = 0 luôn có nghiệm đúng ∀x ∈ R
Vì x < 0 nên ta chỉ chọn các giá trị âm của R. (2)
Từ (1) và (2) suy ra:
∀x ≤ 0 thì ta có |x| + x = 0
b)
- Với x ≥ 0 thì |x| = x
Khi đó x + |x| = 2x tương đương với:
x + x = 2x => 2x = 2x
=> 0x = 0 luôn có nghiệm đúng ∀x ≥ 0 (1)
- Với x < 0 thì |x| = -x
Khi đó x + |x| = 2x tương đương với:
x - x = 2x => 2x = 0 => x = 0 (loại) (2)
Từ (1) và (2) suy ra:
∀x ≥ 0 thì ta có x + |x| = 2x
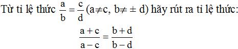
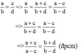
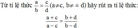
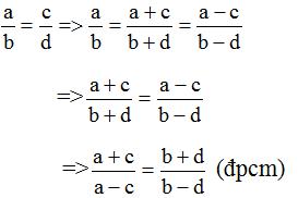
Bài 3 (trang 89 SGK Toán 7 tập 2): Từ tỉ lệ thức ...

Lời giải:
Áp dụng tính chất tỉ lệ thức ta có:

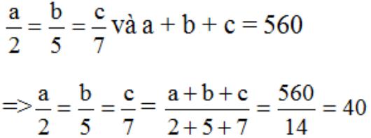
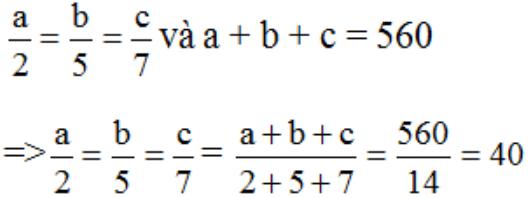
Bài 4 (trang 89 SGK Toán 7 tập 2): Ba đơn vị kinh doanh đầu tư vốn tỉ lệ với 2; 5 và 7. Hỏi mỗi đơn vị được chia bao nhiêu lãi nếu số tiền lãi là 560 triệu đồng và tiền lãi được chia tỉ lệ thuận với vốn đầu tư?
Lời giải:
Gọi a, b, c là tiền lãi của mỗi đơn vị.
Vì tiền lãi được chia tỉ lệ thuận với vốn đầu tư nên a, b, c tỉ lệ với 2, 5 và 7 do đó:

Suy ra:
a = 2.40 = 80
b = 5.40 = 200
c = 7.40 = 280
Vậy tiền lãi của mỗi đơn vị lần lượt là 80 triệu, 200 triệu, 280 triệu.
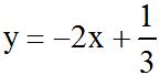
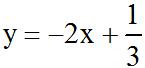
Bài 5 (trang 89 SGK Toán 7 tập 2): Cho hàm số:
![]()
Các điểm sau đây có thuộc đồ thị hàm số không?

Lời giải:
Gọi (d) là đồ thị hàm số
![]()


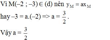
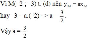
Bài 6 (trang 89 SGK Toán 7 tập 2): Biết đồ thị của hàm số y = ax đi qua điểm M(–2 ;–3). Hãy tìm a.
Lời giải:
Gọi (d) là đồ thị của hàm số y = ax.

Bài 7 (trang 89 SGK Toán 7 tập 2): Biểu đồ dưới đây biểu thị tỉ lệ (%) trẻ em từ 6 đến 10 tuổi đang học Tiểu học ở một vùng của nước ta:

Hãy cho biết:
a) Tỉ lệ (%) trẻ em từ 6 đến 10 tuổi của vùng Tây Nguyên, vùng đồng bằng sông Cửu Long đi học tiểu học.
b) Vùng nào có tỉ lệ (%) trẻ em từ 6 đến 10 tuổi đi học Tiểu học cao nhất, thấp nhất.
Lời giải:
a) Tỉ lệ trẻ em từ 6 đến 10 tuổi của vùng Tây Nguyên đi học đạt 92,29%.
Tỉ lệ trẻ em từ 6 đến 10 tuổi của vùng đồng bằng sông Cửu Long đi học đạt 87,81%.
b) Dựa vào biểu đồ ta nhận thấy: Vùng đồng bằng sông Hồng có tỉ lệ trẻ em từ 6 – 10 tuổi đi học tiểu học cao nhất và vùng đồng bằng sông Cửu Long có tỉ lệ trẻ em từ 6 – 10 tuổi đi học tiểu học thấp nhất.
Bài 8 (trang 90 SGK Toán 7 tập 2): Để tìm hiểu về sản lượng vụ mùa của một xã, người ta chọn ra 120 thửa để gặt thử và ghi lại sản lượng của từng thửa (tính theo tạ/ha). Kết quả được tạm sắp xếp như sau:
Có 10 thửa đạt năng suất 31 tạ/ha
Có 20 thửa đạt năng suất 34 tạ/ha
Có 30 thửa đạt năng suất 35 tạ/ha
Có 15 thửa đạt năng suất 36 tạ/ha
Có 10 thửa đạt năng suất 38 tạ/ha
Có 10 thửa đạt năng suất 40 tạ/ha
Có 5 thửa đạt năng suất 42 tạ/ha
Có 20 thửa đạt năng suất 44 tạ/ha
a) Dấu hiệu ở đây là gì? Hãy lập bảng "tần số"
b) Biểu diễn bằng biểu đồ đoạn thẳng.
c) Tìm mốt của dấu hiệu.
d) Tính số trung bình cộng của dấu hiệu.
Lời giải:
a) - Dấu hiệu: Sản lượng vụ mùa của mỗi thửa ruộng
- Bảng tần số:
|
Năng suất (tạ/ha) |
31 |
34 |
35 |
36 |
38 |
40 |
42 |
44 |
|
|
Tần số |
10 |
20 |
30 |
15 |
10 |
10 |
5 |
20 |
N = 120 |
b) Biểu đồ đoạn thẳng

c) Mốt là giá trị có tần số lớn nhất trong bảng tần số. Vậy mốt của dấu hiệu là 35 tạ/ha.
d) Số trung bình cộng của các giá trị

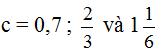
Bài 9 (trang 90 SGK Toán 7 tập 2): Tính giá trị của biểu thức: 2,7c2 - 3,5c lần lượt tại
![]()
Lời giải:
Đặt A = 2,7c2 - 3,5c

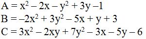
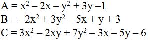
Bài 10 (trang 90 SGK Toán 7 tập 2): Cho các đa thức:

Tính:
a) A + B - C; b) A - B + C; c) -A + B + C.
Lời giải:
Có hai cách trình bày với bài này: Một là bạn có thể liệt kê hết các phần tử ra hoặc bạn sắp xếp theo cùng thứ tự và tính như sau:

Bài 11 (trang 90 SGK Toán 7 tập 2): Tìm x, biết:
a) (2x - 3) - (x - 5) = (x + 2) - (x - 1)
b) 2(x - 1) - 5(x + 2) = -10
Lời giải:
a) (2x - 3) - (x - 5) = (x + 2) - (x - 1)
2x - 3 - x + 5 = x + 2 - x + 1
x + 2 = 3
x = 3 - 2
x = 1
b) 2(x - 1) - 5 (x + 2) = - 10
2x - 2 - 5x - 10 = -10
2x - 5x = -10 + 10 + 2
-3x = 2
x = -2/3
Bài 12 (trang 90 SGK Toán 7 tập 2): Tìm hệ số a của đa thức P(x) = ax2 + 5x – 3, biết rằng đa thức này có một nghiệm là 1/2.
Lời giải:

Vậy hệ số a = 2 và đa thức P(x) = 2x2 + 5x – 3
Bài 13 (trang 90 SGK Toán 7 tập 2): a) Tìm nghiệm của đa thức: P(x) = 3 – 2x.
b) Hỏi đa thức Q(x) = x2 + 2 có nghiệm hay không? Vì sao?
Lời giải:
a) Ta có P(x) = 0 khi 3 – 2x = 0

b) Đa thức Q(x) không có nghiệm, bởi vì:
x2 ≥ 0 ∀x ∈ R.
2 > 0
=> Q(x) = x2 + 2 > 0 ∀x ∈ R.
Do đó, không có giá trị x nào thuộc R để Q(x) = 0 hay đa thức Q(x) không có nghiệm.
(Lưu ý: với mọi giá trị x bất kì thì giá trị của biểu thức có số mũ chẵn (ví dụ: x2, x4, ...) thì đều luôn lớn hơn hoặc bằng 0.
Hay nói cách khác: Nhân 2, 4, ... số nguyên cùng dấu (ví dụ: x2 = x.x) thì luôn có giá trị lớn hơn hoặc bẳng 0.)