Giải bài tập SGK Toán lớp 7 bài 4: Đơn thức đồng dạng
Giải bài tập Toán 7 bài 4: Đơn thức đồng dạng
Giải bài tập SGK Toán lớp 7 bài 4: Đơn thức đồng dạng với lời giải chi tiết, rõ ràng theo khung chương trình sách giáo khoa Toán lớp 7. Lời giải hay bài tập Toán 7 này gồm các bài giải tương ứng với từng bài học trong sách giúp cho các bạn học sinh ôn tập và củng cố các dạng bài tập, rèn luyện kỹ năng giải môn Toán. Mời các bạn tham khảo.
- Giải bài tập SGK Toán lớp 7 bài 1: Khái niệm về biểu thức đại số
- Giải bài tập SGK Toán lớp 7 bài 2: Giá trị của một biểu thức đại số
- Giải bài tập SGK Toán lớp 7 bài 3: Đơn thức
Để tiện trao đổi, chia sẻ kinh nghiệm về giảng dạy và học tập các môn học lớp 7, VnDoc mời các thầy cô giáo, các bậc phụ huynh và các bạn học sinh truy cập nhóm riêng dành cho lớp 7 sau: Nhóm Tài liệu học tập lớp 7. Rất mong nhận được sự ủng hộ của các thầy cô và các bạn.
Toán 7 Bài 4: Đơn thức đồng dạng
Trả lời câu hỏi Toán 7 Tập 2 Bài 4 trang 33: Cho đơn thức 3x2 yz.
a) Hãy viết ba đơn thức có phần biến giống phần biến của đơn thức đã cho.
b) Hãy viết ba đơn thức có phần biến khác phần biến của đơn thức đã cho.
Lời giải
Phần biến của đơn thức 3x2 yz là x2 yz
Nên ta có:
a) Ba đơn thức có phần biến giống phần biến của đơn thức đã cho là: 5x2yz; 111x2yz
b) Ba đơn thức có phần biến khác phần biến của đơn thức đã cho là: xyz; 3x2y2z; 14x3 y2 z2
Trả lời câu hỏi Toán 7 Tập 2 Bài 4 trang 33: Ai đúng? Khi thảo luận nhóm, bạn Sơn nói:
“0,9xy2 và 0,9x2y là hai đơn thức đồng dạng” Bạn Phúc nói: “Hai đơn thức trên không đồng dạng”. Ý kiến của em?
Lời giải
Phần biến của đơn thức 0,9xy2 là xy2
Phần biến của đơn thức 0,9x2 y là x2 y
Phần biến của hai đơn thức khác nhau nên hai đơn thức đó không đồng dạng.
Trả lời câu hỏi Toán 7 Tập 2 Bài 4 trang 34: Hãy tìm tổng của ba đơn thức: xy3; 5xy3 và -7xy3.
Lời giải
Ta có: xy3 + 5xy3 + (-7xy3) = (3 + 5 - 7) xy3 = 1. xy3 = xy3
Bài 15 (trang 34 SGK Toán 7 tập 2): Xếp các đơn thức sau thành từng nhóm các đơn thức đồng dạng:
\(\frac{5}{3} x^2y\);
\(xy^2\);
\(-\frac{1}{2}x^2y\);
\(-2xy^2\) ;
\(x^2y\);
\(\frac{1}{4} xy^2\);
\(-\frac{2}{5} x^2y\); xy
Hướng dẫn giải
- Đơn thức đồng dạng là đơn thức có phần biến giống nhau.
Lời giải
- Nhóm đơn thức đồng dạng thứ nhất:
\(\frac{5}{3} x^2y ,-\frac{1}{2}x^2y;x^2y;-\frac{2}{5}x^2y\)
- Nhóm đơn thức đồng dạng thứ hai:
\(xy^2;-2xy^2;\frac{1}{4}xy^2\)
- Đơn thức xy không có đơn thức nào đồng dạng.
Bài 16 (trang 34 SGK Toán 7 tập 2): Tìm tổng của ba đơn thức: 25xy2; 55xy2 và 75xy2.
Hướng dẫn giải
- Để cộng (hay trừ) các đơn thức đồng dạng, ta cộng (hay trừ) các hệ số với nhau và giữ nguyên phần biến.
Lời giải
Tổng của ba đơn thức:
\(25x{y^2} +55x{y^2} + 75x{y^2} =(25+55+75).xy^2=155xy^2\)
Vậy tổng của ba đơn thức là
\(155xy^2\)
Bài 17 (trang 35 SGK Toán 7 tập 2): Tính giá trị của biểu thức sau tại x = 1 và y = -1
\(\frac{1}{2}{x^5}y - \frac{3}{4}{x^5}y + {x^5}y\)
Hướng dẫn giải
- Để tính giá trị của biểu thức khi biết các giá trị của biến ta thay lần lượt từng biến đã cho vào biểu thức rồi tính giá trị biểu thức đó.
Lời giải
Thay x = 1 và y = -1 vào biểu thức ta có:
\(\frac{1}{2}.{1^5}.(-1) - \frac{3}{4}.{1^5}.(-1) + {1^5}.(-1)=-\dfrac{9}{4}\)
Vậy giá trị của biểu thức tại x = 1 và y = -1 là:
\(-\dfrac{9}{4}\)
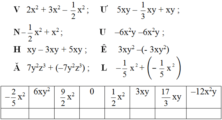
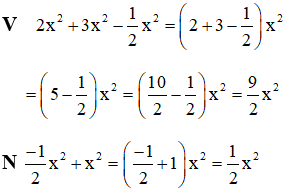
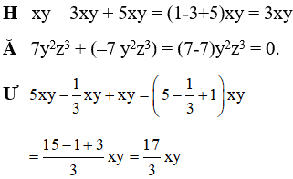
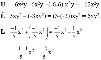
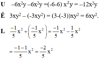
Bài 18 (trang 35 SGK Toán 7 tập 2): Đố: Tên của tác giả cuốn Đại Việt sử kí dưới thời vua Trần Nhân Tông được đặt cho một đường phố của thủ đô Hà Nội. Em sẽ biết tên tác giả đó bằng cách tính các tổng và hiệu dưới đây rồi viết chữ tương ứng vào ô dưới kết quả đơn thức cho tổng bảng sau:

Hướng dẫn giải
- Để cộng (hay trừ) các đơn thức đồng dạng, ta cộng (hay trừ) các hệ số với nhau và giữ nguyên phần biến.
Lời giải
Trước hết ta thu gọn các đơn thức đồng dạng để xác định mỗi chữ cái tương ứng với kết quả nào trong ô trống của bảng.




Vậy tên tác giả cuốn Đại Việt sử kí là LÊ VĂN HƯU
Bài 19 (trang 36 SGK Toán 7 tập 2): Tính giá trị của biểu thức 16x2y5 – 2x3y2 tại x = 0,5 và y = -1.
Hướng dẫn giải
- Để tính giá trị của biểu thức khi biết các giá trị của biến ta thay lần lượt từng biến đã cho vào biểu thức rồi tính giá trị biểu thức đó.
Lời giải
Thay x = 0,5 và y = -1 vào biểu thức ta có:
16.(0,5)2.(-1)5 - 2.(0,5)3.(-1)2 = -4,25
Bài 20 (trang 36 SGK Toán 7 tập 2): Viết ba đơn thức đồng dạng với đơn thức -2x2y rồi tính tổng của cả bốn đơn thức đó.
Hướng dẫn giải
- Để cộng (hay trừ) các đơn thức đồng dạng, ta cộng (hay trừ) các hệ số với nhau và giữ nguyên phần biến.
Lời giải:
Có vô số đơn thức đồng dạng với đơn thức –2x2y. Chẳng hạn:
Ba đơn thức đồng dạng với –2x2y là: 5x2y ; 2,5x2y ; –3x2y
Tổng cả bốn đơn thức:
–2x2y + 5x2y + 2,5x2y + (–3x2y)
= (-2 + 5 + 2,5 - 3)x2y
= 2,5x2y
Bài 21 (trang 36 SGK Toán 7 tập 2): Tính tổng của các đơn thức:
\(\frac{3}{4}xy{z^2}\)
\(\frac{1}{2}xy{z^2}\)
\(- \frac{1}{4}xy{z^2}\)
Hướng dẫn giải
- Để cộng (hay trừ) các đơn thức đồng dạng, ta cộng (hay trừ) các hệ số với nhau và giữ nguyên phần biến
Lời giải chi tiết
\(\frac{3}{4}xy{z^2} + \frac{1}{2}xy{z^2} + - \frac{1}{4}xy{z^2} = \left( {\frac{3}{4} + \frac{1}{2} + \frac{{ - 1}}{4}} \right).\left( {xy{z^2}} \right) = xy{z^2}\)
Bài 22 (trang 36 SGK Toán 7 tập 2): Tính tích các đơn thức sau rồi tìm bậc của đơn thức nhận được:
a.
\(\frac{{12}}{{15}}{x^4}{y^2}\) và
\(\frac{5}{9}xy\)
b.
\(- \frac{1}{7}{x^2}y\) và
\(- \frac{2}{5}x{y^4}\)
Hướng dẫn giải
- Để nhân hai đơn thức ta nhân phần hệ số với hệ số, nhân phần biến với phần biến.
Lời giải chi tiết
a.
\(\frac{{12}}{{15}}{x^4}{y^2}\) và
\(\frac{5}{9}xy\)
Tích đơn thức:
\(\frac{{12}}{{15}}{x^4}{y^2}.\frac{5}{9}xy = \left( {\frac{{12}}{{15}}.\frac{5}{9}} \right).\left( {{x^4}.x} \right).\left( {{y^2}.y} \right) = \frac{4}{9}{x^5}{y^3}\)
Bậc của đơn thức nhận được: 8
b.
\(- \frac{1}{7}{x^2}y\) và
\(- \frac{2}{5}x{y^4}\)
Tích đơn thức:
\(- \frac{1}{7}{x^2}y. - \frac{2}{5}x{y^4} = \left( {\frac{{ - 1}}{7}.\frac{{ - 2}}{5}} \right).\left( {{x^2}.x} \right).\left( {y.{y^4}} \right) = \frac{2}{{35}}{x^3}{y^5}\)
Bậc của đơn thức nhận được: 8
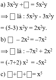
Bài 23 (trang 36 SGK Toán 7 tập 2): Điền các đơn thức thích hợp vào ô trống:

Phân tích đề
Chỉ có các đơn thức đồng dạng mới cộng trừ được cho nhau. Do đó, với bài này, bạn chỉ cần điền vào ô trống một đơn thức để có tổng hoặc hiệu như đã cho.
Lời giải:

Ví dụ một số cặp 3 đơn thức:
(x5; x5; 3x5); (15x5; –12x5; –2x5); (x5, 2x5, -2x5); ....
Bạn điền các đơn thức trên vào ô trống với thứ tự tùy ý.
-------------------------------------------------------------
Trên đây là lời giải chi tiết cho các bài tập SGK Toán 7 Bài 4 Đơn thức đồng dạng dành cho các em học sinh tham khảo, nắm được cách giải các dạng toán Chương 4: Biểu thức đại số. Qua đó giúp các em học sinh ôn tập nắm chắc kiến thức cơ bản môn Toán lớp 7 và hỗ trợ các em học sinh trong các kì thi trong năm học lớp 7.
Ngoài Giải bài tập SGK Toán lớp 7 bài 4: Đơn thức đồng dạng, mời các bạn tham khảo thêm: Giải bài tập Toán lớp 7, Giải Vở BT Toán 7, Đề thi học kì 1 lớp 7, Đề thi giữa kì 1 lớp 7, Đề thi học kì 2 lớp 7... được cập nhật liên tục trên VnDoc.com.