Giải bài tập SGK Toán lớp 7 bài 5: Hàm số
Giải bài tập Toán lớp 7 bài 5: Hàm số
Giải bài tập SGK Toán lớp 7 bài 5: Hàm số với lời giải chi tiết, rõ ràng theo khung chương trình sách giáo khoa Toán lớp 7. Lời giải hay bài tập Toán 7 này gồm các bài giải tương ứng với từng bài học trong sách giúp cho các bạn học sinh ôn tập và củng cố các dạng bài tập, rèn luyện kỹ năng giải môn Toán. Mời các bạn tham khảo
Giải bài tập SGK Toán lớp 7 bài 2: Một số bài toán về đại lượng tỉ lệ thuận
Giải bài tập SGK Toán lớp 7 bài 3: Đại lượng tỉ lệ nghịch
Giải bài tập SGK Toán lớp 7 bài 4: Một số bài toán về đại lượng tỉ lệ nghịch
Trả lời câu hỏi Toán 7 Tập 1 Bài 5 trang 63: Tính các giá trị tương ứng của m khi V = 1; 2; 3; 4
Lời giải
Ta có: m = 7,8 V
V = 1 ⇒ m = 7,8 . 1 = 7,8
V = 2 ⇒ m = 7,8 . 2 = 15,6
V = 3 ⇒ m = 7,8 . 3 = 23,4
V = 4 ⇒ m = 7,8 . 4 = 31,2
Trả lời câu hỏi Toán 7 Tập 1 Bài 5 trang 63: Tính và lập bảng các giá trị tương ứng của t khi v = 5; 10; 25; 50
Lời giải
Ta có: t = 50/v
⇒ v = 5 thì t = 50 : 5 = 10
V = 10 thì t = 50 : 10 = 5
V = 25 thì t = 50 : 25 = 2
V = 50 thì t = 50 : 50 = 1
|
v |
5 |
10 |
25 |
50 |
|
t |
10 |
5 |
2 |
1 |
Bài 24 (trang 63 SGK Toán 7 Tập 1): Các giá trị tương ứng của hai đại lượng x và y được cho trong bảng sau:
|
x |
-4 |
-3 |
-2 |
-1 |
1 |
2 |
3 |
4 |
|
y |
16 |
9 |
4 |
1 |
1 |
4 |
9 |
16 |
Đại lượng y có phải là hàm số của đại lượng x không?
Lời giải:
Vì mỗi giá trị của x ta xác định đượsc chỉ một giá trị tương ứng của y nên đại lượng y là hàm số của đại lượng x.
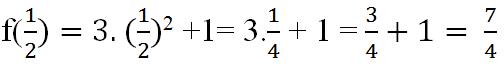
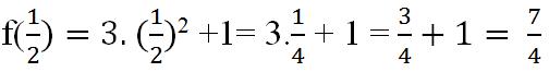
Bài 25 (trang 64 SGK Toán 7 Tập 1): Cho hàm số y = f(x) = 3x2 + 1. Tính
![]()
Lời giải:
Ta có y = f(x) = 3x2 + 1. Do đó:
![]()
f(1) = 3.12 + 1 = 4.
f(3) = 3.32 + 1 = 3.9 + 1 = 28.
Bài 26 (trang 64 SGK Toán 7 Tập 1): Cho hàm số y= 5x - 1. Lập bảng giá trị tương ứng của y khi:
![]()
Lời giải:
Ta có y = 5x - 1
Khi x = -5 thì y = 5.(-5) - 1 = -25 - 1 = -26
Khi x = -4 thì y = 5.(-4) - 1 = -20 - 1 = -21
Khi x = -3 thì y = 5.(-3) - 1 = -15 - 1 = -16
Khi x = -2 thì y = 5.(-2) - 1 = -10 - 1 = -11
Khi x = 0 thì y = 5.(0) - 1 = 0 - 1 = -1

Bài 27 (trang 64 SGK Toán 7 Tập 1): Đại lượng y có phải là hàm số của đại lượng x không, nếu bảng các giá trị tương ứng của chúng là
a)

b)
|
x |
0 |
1 |
2 |
3 |
4 |
|
y |
2 |
2 |
2 |
2 |
2 |
Lời giải:
a) Vì mọi giá trị của x ta xác định được chỉ một giá trị tương ứng của y nên đại lượng y là hàm số của đại lượng x.
b) Đại lượng y là hàm số của đại lượng x.
Nhận xét: Với mọi x thì y luôn nhận một giá trị là 2 nên đây là một hàm hằng.
Bài 28 (trang 64 SGK Toán 7 Tập 1): Cho hàm số
![]()
a) f(5) =? ; f(-3) =?
b) Hãy điền các giá trị tương ứng của hàm số vào bảng sau:

Lời giải:
![]()
b) Lần lượt thay x bởi -6, -4 ; -3 ; 2 ; 5 ; 6 ; 12 vào công thức
![]()
ta được các giá trị tương ứng y là -2, -3, -4, 6, 2, 4, 2, 1.
Ta được bảng sau:

Bài 29 (trang 64 SGK Toán 7 Tập 1): Cho hàm số y = f(x) = x2 - 2. Hãy tính f(2); f(1); f(0); f(-1); f(-2)
Lời giải:
Ta có y= f(x) = x2 - 2
Do đó f(2) = 22 - 2 = 4 - 2 = 2
f(1) = 12 - 2 = 1 - 2 = -1
f(0) = 02 - 2 = 0 - 2 = -2
f(-1) = (-1)2 - 2 = 1 - 2 = -1
f(-2) = (-2)2 - 2 = 4 - 2 = 2
Bài 30 (trang 64 SGK Toán 7 Tập 1): Cho hàm số y = f(x) = 1 - 8x. Khẳng định nào sau đây là đúng
a) f(-1) = 9?
b, f(-1/2) = -3?
c) f(3) = 25?
Lời giải:
Ta có y = f(x) = 1 - 8x
a) f(-1) = 1 - 8(-1) = 1 + 8 = 9 nên khẳng định là đúng.
![]()
c) f(3) = 1 - 8.3 = 1 - 24 = -23 nên khẳng định là sai
Bài 31 (trang 65 SGK Toán 7 Tập 1): Cho hàm số ![]()
Điền số thích hợp vào ô trống trong bảng sau
|
x |
-0,5 |
4,5 |
9 |
|||
|
y |
-2 |
0 |
Lời giải:
Từ công thức
![]()
Lần lượt thay các giá trị x, y đã cho trong bảng vào hai biểu thức trên để tìm các giá trị còn lại. Ta được bảng sau:
