Giải bài tập SGK Toán lớp 7: Ôn tập chương II: Hàm số và đồ thị
Giải bài tập Toán lớp 7: Ôn tập chương II: Hàm số và đồ thị
Giải bài tập SGK Toán lớp 7: Ôn tập chương II: Hàm số và đồ thị với lời giải chi tiết, rõ ràng theo khung chương trình sách giáo khoa Toán lớp 7. Lời giải hay bài tập Toán 7 này gồm các bài giải tương ứng với từng bài học trong sách giúp cho các bạn học sinh ôn tập và củng cố các dạng bài tập, rèn luyện kỹ năng giải môn Toán. Mời các bạn tham khảo
Giải bài tập SGK Toán lớp 7 bài 5: Hàm số
Giải bài tập SGK Toán lớp 7 bài 6: Mặt phẳng tọa độ
Giải bài tập SGK Toán lớp 7 bài 7: Đồ thị của hàm số y = ax (a ≠ 0)
Câu hỏi ôn tập chương 2 Đại Số (trang 76 SGK Toán 7 tập 1):
1. a) Khi nào thì hai đại lượng y và x tỉ lệ thuận với nhau? Cho ví dụ.
b) Khi nào thì hai đại lượng y và x tỉ lệ nghịch với nhau? Cho ví dụ.
Lời giải
a) Nếu đại lượng y liên hệ với đại lượng x theo công thức: y = kx (với k là hằng số khác 0) thì ta nói y tỉ lệ thuận với x theo hệ số tỉ lệ k.
Ví dụ: Quãng đường đi được s (km) theo thời gian t (h) của một vật chuyển động đều với vận tốc 15 km/h
⇒ s = 15t (km) và khi đó hai đại lượng s tỉ lệ thuận với đại lượng t theo hệ số tỉ lệ k = 15
b) Nếu đại lượng y liên hệ với đại lượng x theo công thức: y=a/x hay xy = a (a là một hằng số khác 0) thì ta nói y tỉ lệ nghịch với x theo hệ số tỉ lệ a.
Ví dụ: Số bút y (chiếc) trong mỗi hộp theo x khi chia đều 100 chiếc bút vào x hộp
⇒ y = 100/x và khi đó y tỉ lệ nghịch với x theo hệ số tỉ lệ a=100
Câu hỏi ôn tập chương 2 Đại Số (trang 76 SGK Toán 7 tập 1): 2. Gọi x và y theo thứ tự là độ dài cạnh và chu vi của tam giác đều. Đại lượng y tỉ lệ thuận hay tỉ lệ nghịch với đại lượng x?
Lời giải
Chu vi của tam giác đều có độ dài cạnh x là: y = x + x + x = 3x
⇒ y tỉ lệ thuận với x theo hệ số tỉ lệ là 3
Câu hỏi ôn tập chương 2 Đại Số (trang 76 SGK Toán 7 tập 1): 3. Các kích thước của hình hộp chữ nhật thay đổi sao cho thể tích của nó luôn bằng 36m3. Nếu gọi diện tích đáy và chiều cao của hình hộp đó là y (m2 ) và x (m) thì hai đại lượng y và x tỉ lệ thuận hay tỉ lệ nghịch với nhau?
Lời giải
Theo đề bài ta có: Thể tích hình hộp luôn bằng 36m3 ⇒ xy = 36
⇒ y tỉ lệ nghịch với x theo hệ số tỉ lệ là 36
Câu hỏi ôn tập chương 2 Đại Số (trang 76 SGK Toán 7 tập 1): 4. Đồ thị của hàm số y = ax (a≠0) có dạng như thế nào?
Lời giải
Đồ thị của hàm số y = ax (a ≠ 0) là một đường thẳng đi qua gốc tọa độ.
Bài 48 (trang 76 SGK Toán 7 Tập 1): Một tấn nước biển chứa 25kg muối. Hỏi 250g nước biển đó chứa bao nhiêu gam muối?
Lời giải:
Ta có: 1 tấn = 1000000g ; 25kg = 25000g
Gọi lượng muối trong 250g nước biển là x. Vì lượng nước biển và lượng muối chứa trong đó là hai đại lượng tỉ lệ thuận nên theo tính chất của đại lượng tỉ lệ thuận ta có:
![]()
Vậy 250 gam nước biển chưa 6,25g muối
Bài 49 (trang 76 SGK Toán 7 Tập 1): Hai thanh sắt và chì có khối lượng bằng nhau. Hỏi thanh nào có thể tích lớn hơn và lớn hơn bao nhiêu lần, biết rằng khối lượng riêng của sắt là 7,8 (g/cm3) và của chì là 11,3 (g/cm3).
Lời giải:
Vì m = V.D và m là hằng số có khối lượng bằng nhau nên V và D là hai đại lượng tỉ lệ nghịch với nhau với hệ số tỉ lệ dương.
Theo tính chất của đại lượng tỉ lệ nghịch ta có:

Vậy thể tích thanh sắt lớn hơn và lớn hơn khoảng 1,45 lần
Bài 50 (trang 77 SGK Toán 7 Tập 1): Ông Minh dự định xây một bể nước có thể tích là V. Nhưng sau đó ông muốn thay đổi kích thước so với dự định ban đầu như sau: Cả chiều dài và chiều rộng đáy bể đều giảm đi một nửa. Hỏi chiều cao phải thay đổi như thế nào để bể xây được vẫn có thể tích là V?
Lời giải:
Vì V = hS => diện tích đáy và chiều cao (khi V không đổi) tỉ lệ nghịch với nhau.
Gọi a,b là chiều rộng và chiều dài ban đầu thì
\(\frac{a}{2};\frac{b}{2}\)
là chiều rộng và chiều dài lúc sau. Ta có:

Bài 51 (trang 77 SGK Toán 7 Tập 1): Viết tọa độ điểm A, B, C, D, E, F, G trong hình 32.

Lời giải:
Tọa độ các điểm đó là:
A(-2; 2) ; B(-4; 0)
C(1; 0) ; D(2; 4)
E(3; -2) ; F(0; -2)
G(-3; -2)
Bài 52 (trang 77 SGK Toán 7 Tập 1): Trong mặt phẳng tọa độ vẽ tam giác ABC với các đỉnh A (3; 5) ; B(3; -1) ; C(-5; -1). Tam giác ABC là tam giác gì?
Lời giải:
- Vẽ tam giác ABC trên mặt phẳng tọa độ:

- Tam giác ABC là tam giác vuông tại B.
Bài 53 (trang 77 SGK Toán 7 Tập 1): Một vận động viên xe đạp đi được quãng đường 140km từ TP Hồ Chí Minh đễn Vĩnh Long với vận tốc 35km/h. Hãy vẽ đồ thị của chuyển động trên trong hệ trục tọa độ Oxy (với một đơn vị trên trục hoành) biểu thị 1 giờ và một đơn vị trên trục tung biểu thị 20km.
Lời giải:
Ta có quãng đường đi được và thời gian là hai đại lượng tỉ lệ thuận.
Ta có công thức S = 35t.
Với t = 1 => S = 35 ta được A(1 ; 35) thuộc đồ thị.
Với S = 140 => t = 4 ta được B(4 ; 140) thuộc đồ thị.
Ta được đồ thị chuyển động là đoạn thằng OB như trên hình vẽ.

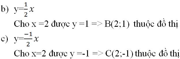
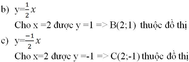
Bài 54 (trang 77 SGK Toán 7 Tập 1): Vẽ trên cùng một hệ trục tọa độ đồ thị của các hàm số sau:
![]()
Lời giải:
Nhận xét: Khi cho x = 0 thì ta đều được y = 0 với cả 3 hàm số => cả 3 đồ thị hàm số đều đi qua điểm 0(0 ; 0)
a) y = -x
Cho x = 1 được y = -1 => A(1 ; -1) thuộc đồ thị

Vẽ đồ thị:

Bài 55 (trang 77 SGK Toán 7 Tập 1): Những điểm nào sau đây không thuộc đồ thị của hàm số y = 3x - 1
![]()
Lời giải:
Ta có y = 3x - 1

Với C(0; 1) thì y = 3.0 - 1 = -1 nên điểm C không thuộc đồ thị.
Với D(0; -1) thì y = 3.0 - 1 = -1 nên điểm D thuộc đồ thị.
Vậy B và D thuộc đồ thị hàm số y = 3x - 1.
Xem hình 33 đố em biết được
a) Trẻ em trên 5 tuổi (60 tháng) cân nặng bao nhiêu là bình thường, là suy dinh dưỡng vừa, là suy dinh dương nặng, là suy dinh dưỡng rất nặng.
b) Một em bé cân nặng 9,5kg khi tròn 24 tháng tuổi thuộc loại bình thường, suy dinh dưỡng vừa, suy dinh dưỡng nặng, suy dinh dưỡng rất nặng.
Lời giải:
a) Trẻ em tròn 5 tuổi nặng 19kg là bình thường, 14kg là suy dinh dưỡng vừa, 12kg là suy dinh dưỡng nặng, 10kg là suy dinh dưỡng rất nặng.
b) Em bé cân nặng 9,5kg khi tròn 24 tháng là suy dinh dưỡng vừa.