Giải bài tập VBT Vật lý lớp 8 bài 11: Thực hành: Nghiệm lại lực đẩy Ác-si-mét
Giải VBT Vật Lý 8 bài 11: Thực hành: Nghiệm lại lực đẩy Ác-si-mét
Giải bài tập VBT Vật lý lớp 8 bài 11: Thực hành: Nghiệm lại lực đẩy Ác-si-mét được VnDoc giới thiệu tới các bạn học sinh. Hy vọng tài liệu này sẽ giúp các bạn rèn luyện kỹ năng giải bài tập cũng như học tốt môn Lý lớp 8. Mời các bạn cùng tham khảo
- Giải bài tập VBT Vật lý lớp 8 bài 7: Áp suất
- Giải bài tập VBT Vật lý lớp 8 bài 8: Áp suất chất lỏng - Bình thông nhau
- Giải bài tập VBT Vật lý lớp 8 bài 9: Áp suất khí quyển
- Giải bài tập VBT Vật lý lớp 8 bài 10: Lực đẩy Ác-si-mét
I – Chuẩn bị
II - Nội dung thực hành
1. Đo lực đẩy Ác-si-mét
Câu C1 trang 53 VBT Vật Lí 8:
Lời giải:
Xác định độ lớn lực đẩy Ác-si-mét bằng công thức: FA = d.V
2. Đo trọng lượng của phần nước có thể tích bằng thể tích của vật.
Câu C2 trang 53 VBT Vật Lí 8:
Lời giải:
Thể tích (V) của vật được tính theo công thức: V = V2 - V1
Câu C3 trang 53 VBT Vật Lí 8:
Lời giải:
Trọng lượng của phần nước bị vật chiếm chỗ được tính theo công thức:
PN = P2 - P1
III - Mẫu báo cáo thực hành
Họ và tên học sinh: ........................................
Lớp: ..................................
1. Trả lời câu hỏi:
Câu C4 trang 53 VBT Vật Lí 8:
Lời giải:
Công thức tính lực đẩy Ác-si-mét là: FA = d.V
Trong đó: d là trọng lượng riêng của chất lỏng, đơn vị: N/m3, V là thể tích phần chất lỏng bị vật chiếm chỗ, đơn vị: m3.
Câu C5 trang 53 VBT Vật Lí 8: Muốn kiểm chứng độ lớn của lực đẩy Ác-si-mét cần phải đo các đại lượng sau:
Lời giải:
a) Độ lớn lực đẩy Ác-si-mét (FA)
b) Trọng lượng phần chất lỏng bị vật chiếm chỗ (PN)
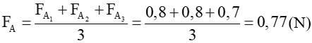
2. Kết quả đo lực đẩy Ác-si-mét
| Lần đo | Trọng lượng P của vật (N) | Hợp lực F của trọng lượng và lực đẩy Ác-si-mét tác dụng lên vật khi vật được nhúng chìm trong nước (N) | Lực đẩy Ác-si-mét: FA = P - F (N) |
| 1 | 1,5 | 0,7 | 0,8 |
| 2 | 1,6 | 0,8 | 0,8 |
| 3 | 1,5 | 0,8 | 0,7 |
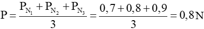
Kết quả trung bình:

3. Kết quả đo trọng lượng của phần nước có thể tích bằng thể tích của vật
| Lần đo | Trọng lượng P1(N) | Trọng lượng P2(N) | Trọng lượng phần nước bị vật chiếm chỗ: PN = P2 - P1(N) |
| 1 | 1 | 1,7 | 0,7 |
| 2 | 1 | 1,8 | 0,8 |
| 3 | 0,9 | 1,8 | 0,9 |

4. Nhận xét kết quả đo và rút ra kết luận
+ Kết quả đo có sai số, do có các sai sót trong quá trình đo, hoặc do đọc sai giá trị lực kế.
+ Kết luận: Nếu bỏ qua sai số trong quá trình đo thì lực đẩy Ác-si-mét có độ lớn bằng trọng lượng phần chất lỏng bị vật chiếm chỗ.
....................................
Ngoài Giải bài tập VBT Vật lý lớp 8 bài 11: Thực hành: Nghiệm lại lực đẩy Ác-si-mét. Mời các bạn học sinh còn có thể tham khảo các đề thi học học kì 1 lớp 8, đề thi học học kì 2 lớp 8 các môn Toán, Văn, Anh, Hóa, Lý, Địa, Sinh mà chúng tôi đã sưu tầm và chọn lọc. Với đề thi học kì 2 lớp 8 này giúp các bạn rèn luyện thêm kỹ năng giải đề và làm bài tốt hơn. Chúc các bạn ôn thi tốt