Giải bài tập VBT Vật lý lớp 8 bài 7: Áp suất
Giải VBT Vật Lý 8 bài 7: Áp suất
Giải bài tập VBT Vật lý lớp 8 bài 7: Áp suất. Tài liệu giúp các bạn học sinh củng cố lại phần kiến thức đã học và kỹ năng giải bài tập. Hy vọng với lời giải chi tiết này giúp ích cho các bạn học tập tốt hơn môn Lý lớp 8. Mời các bạn cùng tham khảo
- Giải bài tập VBT Vật lý lớp 8 bài 3: Chuyển động đều - Chuyển động không đều
- Giải bài tập VBT Vật lý lớp 8 bài 4: Biểu diễn lực
- Giải bài tập VBT Vật lý lớp 8 bài 5: Sự cân bằng lực - Quán tính
- Giải bài tập VBT Vật lý lớp 8 bài 6: Lực ma sát
Câu C1 trang 35 VBT Vật Lí 8: Trong số các áp lực ghi ở hình dưới 7.3a và b SGK, thì áp lực là:
Lời giải:
a) Hình a: Áp lực chính là trọng lực của máy kéo.
b) Hình b: Áp lực là lực của ngón tay tác dụng lên đầu đinh và lực của mũi đinh tác dụng lên bảng gỗ.
II - Áp suất
1. Tác dụng của áp lực phụ thuộc vào những yếu tố nào?
Câu C2 trang 35 VBT Vật Lí 8: Điền các dấu “=”, “>”, “<” thích hợp cho các chỗ trống của bảng 7.1 SGK:
Lời giải:
| Áp lực (F) | Diện tích bị ép (S) | Độ lún (h) |
| F2 > F1 | S2 = S1 | h2 > h1 |
| F3 = F1 | S3 < S1 | h3 > h1 |
Giải thích:
- Cùng diện tích bị ép như nhau, nếu độ lớn của áp lực càng lớn thì tác dụng nó cũng càng lớn.
- Cùng độ lớn của áp lực như nhau, nếu diện tích bị ép càng nhỏ thì tác dụng của áp lực càng lớn.
Như vậy, tác dụng của áp lực phụ thuộc vào diện tích bị ép và độ lớn của áp lực.
Câu C3 trang 35 VBT Vật Lí 8:
Lời giải:
Kết luận
Tác dụng của áp lực càng lớn khỉ áp lực càng mạnh và diện tích bị ép càng nhỏ.
III - Vận dụng
Câu C4 trang 36 VBT Vật Lí 8:
Lời giải:
Nguyên tắc để làm tăng, giảm áp suất là thay đổi áp lực và diện tích bị ép (dựa vào công thức tính áp suất p = F/S).
Muốn tăng áp suất thì phải tăng áp lực và giảm diện tích bị ép.
Ví dụ: Lưỡi dao, lưỡi kéo thường mái sắc, mũi đinh thường thật nhọn để giảm diện tích bị ép.
Câu C5 trang 36 VBT Vật Lí 8:
Lời giải:
Đổi S2 = 250 cm2 = 0,025 m2.
Áp suất của xe tăng lên mặt đường là:

Áp suất của xe ô tô lên mặt đường là:

Vậy áp suất của xe tăng lên mặt đường nhỏ hơn áp suất của ô tô lên mặt đường.
Trả lời câu hỏi ở phần đầu bài: Máy kéo nặng nề lại chạy được bình thường trên nền đất mềm, còn ô tô nhẹ hơn nhiều lại có thể bị lún bánh và sa lầy trên chính quãng đường này vì: máy kéo có các bản xích giống như xe tăng, áp suất do máy kéo tác dụng xuống mặt đường nhỏ hơn so với áp suất của ô tô tác dụng xuống mặt đường.
Ghi nhớ:
- Áp lực là lực ép có phương vuông góc với mặt bị ép.
- Áp suất được tính bằng công thức:

trong đó: F: áp lực (N), S: diện tích bị ép (m2), P: áp suất (N/m2 hay Pa)
- Đơn vị của áp suất là paxcan (Pa): 1Pa = 1 N/m2.
Bài 7.2 trang 36-37 VBT Vật Lí 8: Trong các cách tăng, giảm áp suất sau đây, cách nào không đúng?
A. Muốn tăng áp suất thì tăng áp lực, giảm diện tích bị ép.
B. Muốn tăng áp suất thì giảm áp lực, tăng diện tích bị ép.
C. Muốn giảm áp suất thì phải giảm áp lực, giữ nguyên diện tích bị ép.
D. Muốn giảm áp suất thì phải giữ nguyên áp lực, tăng diện tích bị ép.
Lời giải:
Chọn B.
Vì ta có công thức tính áp suất:
\(p=\frac{F}{S}\) nên muốn tăng áp suất thì tăng áp lực, giảm diện tích bị ép. Đáp án không đúng là đáp án B.
Bài 7.4 trang 37 VBT Vật Lí 8: Ở cách đặt nào thì áp suất, áp lực của viên gạch ở hình 7.2 là nhỏ nhất, lớn nhất?

Lời giải:
Bài giải
Trong cả ba cách thì áp lực bằng nhau đặt vì trọng lượng viên gạch không đổi.
Vị trí a) có áp suất lớn nhất vì diện tích tiếp xúc nhỏ nhất.
Vị trí c) có áp suất nhỏ nhất vì diện tích tiếp xúc lớn nhất.
Bài 7.5 trang 37 VBT Vật Lí 8: Một người tác dụng lên mặt sàn một áp suất 1,7.104 N/m2. Diện tích của hai bàn chân tiếp xúc với mặt sàn là 0,03m2. Hỏi trọng lượng và khối lượng của người đó?
Lời giải:
Trọng lượng của người bằng áp lực của người đó tác dụng nên mặt sàn:
P = F = p x S = 1,7.104N/m2 x 0,03m2 = 510N.
Vì P = 10.m nên khối lượng của người là:
Bài 7.6 trang 38 VBT Vật Lí 8: Đặt một bao gạo 60kg lên một cái ghế bốn chân có khối lượng 4kg. Diện tích tiếp xúc với mặt đất của mỗi chân ghế là 8cm2. Tính áp suất các chân ghế tác dụng lên mặt đất.
Tóm tắt:
m1 = 60 kg; m2 = 4 kg;
S0 = 8 cm2 = 0,0008 m2;
Áp suất: p = ?
Lời giải:
Trọng lượng của bao gạo là: P1 = 10.m1 = 10.60 = 600 N.
Trọng lượng của ghế là: P2 = 10.m2 = 10.4 = 40 N.
Diện tích tiếp xúc của 4 chân ghế với mặt đất là:
S = 4.8 cm2 = 4.0,0008 m2 = 0,0032 m2.
Áp suất các chân ghế tác dụng lên mặt đất là:

Bài 7a trang 38 VBT Vật Lí 8: Lực nào đóng vai trò áp lực trong hình 7.1?
A. Lực F1→
B. Lực F2→
C. Lực F3→
D. Lực F4→
Lời giải:
Chọn B.
Vì áp lực là lực ép có phương vuông góc với mặt bị ép.
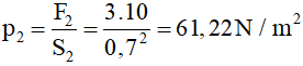
Bài 7b trang 38 VBT Vật Lí 8: Hãy so sánh áp lực và áp suất trên mặt sàn nằm ngang của hai vật hình lập phương. Vật thứ nhất có khối lượng 2kg và cạnh dài 5dm; vật thứ hai có khối lượng 3kg và cạnh dài 70cm. Nếu đặt hai vật trên cùng một mặt phẳng mềm thì vật nào sẽ lún xuống sâu hơn?
Lời giải:
Đổi: 5dm = 0,5 m; 70cm = 0,7 m.
Áp suất trên mặt sàn nằm ngang của vật thứ nhất là:
Áp suất trên mặt sàn nằm ngang của vật thứ hai là:
Có: 61,22 N/m2 < 80N/m2 ⇒ Áp suất trên mặt sàn nằm ngang của vật thứ nhất lớn hơn áp suất của vật thứ hai. Do đó vật thứ nhất sẽ lún xuống sâu hơn.
Bài 7c trang 39 VBT Vật Lí 8: Đặt một bao bột mì 30kg lên một cái bàn ba chân có khối lượng 10kg. Diện tích tiếp xúc với mặt đất của mỗi bàn chân là 10cm2. Tính áp suất các chân bàn tác dụng lên mặt đất.
Tóm tắt:
Bột mì: m1 = 30kg.
Bàn có m2 = 10kg; chân bàn có: S = 10cm2 = 0,00001m2.
Áp suất p = ? (N/m2).
Lời giải:
Áp lực lên mặt đất bằng tổng trọng lượng của bao bột mì và cái bàn:
F = P1 + P2 = 10.m1 + 10.m2 = 10.30 + 10.10 = 400N.
Áp suất các chân bàn tác dụng lên mặt đất là:

....................................
Ngoài Giải bài tập VBT Vật lý lớp 8 bài 7: Áp suất. Mời các bạn học sinh còn có thể tham khảo các đề thi học học kì 1 lớp 8, đề thi học học kì 2 lớp 8 các môn Toán, Văn, Anh, Hóa, Lý, Địa, Sinh mà chúng tôi đã sưu tầm và chọn lọc. Với đề thi học kì 2 lớp 8 này giúp các bạn rèn luyện thêm kỹ năng giải đề và làm bài tốt hơn. Chúc các bạn ôn thi tốt