Giải bài tập VBT Vật lý lớp 8 bài 12: Sự nổi
Giải VBT Vật Lý 8 bài 12: Sự nổi
Giải bài tập VBT Vật lý lớp 8 bài 12: Sự nổi được VnDoc giới thiệu tới các bạn học sinh. Hy vọng tài liệu này sẽ giúp các bạn rèn luyện kỹ năng giải bài tập cũng như học tốt môn Lý lớp 8. Mời các bạn cùng tham khảo
- Giải bài tập VBT Vật lý lớp 8 bài 8: Áp suất chất lỏng - Bình thông nhau
- Giải bài tập VBT Vật lý lớp 8 bài 9: Áp suất khí quyển
- Giải bài tập VBT Vật lý lớp 8 bài 10: Lực đẩy Ác-si-mét
- Giải bài tập VBT Vật lý lớp 8 bài 11: Thực hành: Nghiệm lại lực đẩy Ác-si-mét
Câu C1 trang 55 VBT Vật Lí 8:
Lời giải:
Một vật ở trong lòng chất lỏng chịu tác dụng của các lực đẩy Ác-si-mét và trọng lực P.
Các lực này cùng phương và ngược chiều và có độ lớn bằng nhau.
Câu C2 trang 55 VBT Vật Lí 8: Vẽ các vectơ lực tương ứng với 3 trường hợp trên hình 12.1a, b, c SGK.
Lời giải:
a) FA < P
Vật chuyển động xuống dưới: (Chìm xuống đáy bình).

b) FA = P
Vật đứng yên: (Lơ lửng trong chất lỏng).

c) FA > P
Vật chuyển động lên trên: (Nổi lên mặt thoáng).

II - ĐỘ LỚN CỦA LỰC ĐẨY ÁC-SI-MÉT KHI VẬT NỔI TRÊN MẶT THOÁNG CỦA CHẤT LỎNG
Câu C3 trang 55 VBT Vật Lí 8:
Lời giải:
Miếng gỗ thả vào nước lại nổi vì trọng lượng riêng của gỗ nhỏ hơn so với trọng lượng riêng của nước nên khi thả miếng gỗ vào nước thì nó sẽ chịu lực đẩy Ác-si-mét, khi nó ngập trong nước thì lực đẩy Ác-si-mét lớn hơn trọng lực P nên nó đẩy khối gỗ lên làm khối gỗ nổi.
Câu C4 trang 55 VBT Vật Lí 8:
Lời giải:
Khi miếng gỗ nổi trên mặt nước, trọng lượng P của nó và lực đẩy Ác-si-mét bằng nhau vì miếng gỗ nổi và đứng yên trên mặt nước.
Câu C5 trang 56 VBT Vật Lí 8:
Lời giải:
Câu B không đúng. Vì trong công thức tính lực đẩy Ác-si-met: FA = d.V trong đó d là trọng lượng riêng của chất lỏng, còn V là thể tích của phần nước bị miếng gỗ chiếm chỗ, cũng chính là thể tích của phần miếng gỗ chìm trong nước hay phần thể tích được gạch chéo trong hình 12.2.
III - VẬN DỤNG
Câu C6 trang 56 VBT Vật Lí 8:
Lời giải:
Biết P = dv.V (trong đó dv là trọng lượng riêng của chất làm vật. V là thể tích của vật) và FA = d1.V (trong đó d1 là trọng lượng riêng của chất lỏng), hãy chứng minh rằng nếu vật là một khối đặc nhúng ngập vào trong chất lỏng thì:
- Vật sẽ chìm xuống khi: dv > d1
- Vật sẽ lơ lửng trong chất lỏng khi: dv = d1
- Vật sẽ nổi lên mặt chất lỏng khi: dv < d1
Chứng minh:
So sánh trọng lượng của vật và lực đẩy Ác-si-mét do chất lỏng tác dụng lên vật:
P = dv.V và FA = d1.V (vì vật là khối đặc ngập trong chất lỏng nên khi đo thể tích chất lỏng chiếm chỗ bằng thể tích của vật luôn).
Nếu:
- Vật sẽ chìm xuống nếu P > FA ↔ dv.V > d1.V ⇔ dv > d1.
- Vật sẽ lơ lửng trong chất lỏng nếu P = FA ↔ dv.V = d1.V ⇔ dv = d1.
- Vật sẽ nổi lên mặt chất lỏng nếu P < FA ⇔ dv.V < d1.V ⇔ dv < d1.
Câu C7 trang 56 VBT Vật Lí 8: Con tàu bằng thép nặng hơn hòn bi bằng thép lại nổi, còn hòn bi bằng thép thì lại chìm vì:
Lời giải:
Cấu trúc của hòn bi thép và chiếc tàu bằng thép khác nhau nên trọng lượng riêng hai vật này khác nhau. Tàu bằng thép rất nặng nhưng lại rỗng bên trong (trong là không khí hay những vật liệu nhẹ khác) do đó nếu xét cả con tàu thì trọng lượng riêng của tàu nhỏ hơn trọng lượng riêng của nước nên tàu nổi trên mặt nước. Trong khi đó trọng lượng riêng của viên bi thép lớn hơn trọng lượng riêng của nước nên nó chìm.
Câu C8 trang 56 VBT Vật Lí 8:
Lời giải:
Thả hòn bi thép vào thủy ngân thì hòn bi sẽ nổi vì trọng lượng riêng của thép (78000 N/m3) nhỏ hơn trọng lượng riêng của thủy ngân (136000 N/m3).
Câu C9 trang 56 VBT Vật Lí 8: Hãy chọn dấu “=”, “<”, “>” thích hợp điền vào chỗ trống:
Lời giải:
+ Hai vật M và N có cùng thể tích được nhúng ngập trong nước nên lực đẩy Ác-si-mét tác dụng lên hai vật là bằng nhau: FAM = FAN
+ Vật M chìm xuống đáy bình nên FAM < PM
+ Vật N lơ lửng trong chất lỏng nên FAM = PN
+ PM > PN
Ghi nhớ:
- Nếu ta thả một vật vào trong chất lỏng thì:
+ Vật chìm xuống khi lực đẩy Ác- si-mét FA nhỏ hơn trọng lượng P: FA < P
+ Vật nổi lên khi: FA > P
+ Vật lơ lửng trong chất lỏng khi: FA = P.
- Khi vật nổi lên trên mặt chất lỏng thì lực đẩy Ác-si-mét:
FA = d.V, trong đó V là thể tích của phần vật chìm trong chất lỏng (không phải là thể tích V của vật (V' < V)), d là trọng lượng riêng của chất lỏng.
Bài 12.1 trang 57 VBT Vật Lí 8: Khi vật nổi trên chất lỏng thì lực đẩy Ác – si – mét có cường độ:
A. Bằng trọng lượng của phần vật chìm trong nước.
B. Bằng trọng lượng của phần nước bị vật chiếm chỗ.
C. Bằng trọng lượng vật.
D. Bằng trọng lượng riêng của nước nhân với thể tích của vật.
Lời giải:
Bài 12.1 trang 57 VBT Vật Lí 8: Khi vật nổi trên chất lỏng thì lực đẩy Ác – si – mét có cường độ:
A. Bằng trọng lượng của phần vật chìm trong nước.
B. Bằng trọng lượng của phần nước bị vật chiếm chỗ.
C. Bằng trọng lượng vật.
D. Bằng trọng lượng riêng của nước nhân với thể tích của vật.
Lời giải:
Mực nước trong bình không thay đổi do lực đẩy Ác-si-mét trong cả hai trường hợp có độ lớn bằng trọng lượng của miếng gỗ và quả cầu (thể tích nước bị chiếm chỗ trong cả hai trường hợp đó cũng bằng nhau).
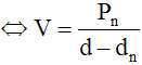
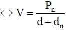
Bài 12.7 trang 57-58 VBT Vật Lí 8: Một vật có trọng lượng riêng là 26000N/m3. Treo vật vào một lực kế rồi nhúng vật ngập trong nước thì lực kế chỉ 150N. Hỏi nếu treo vật ở ngoài không khí thì lực kế chỉ bao nhiêu? Cho biết trọng lượng riêng của nước là 10000N/m3.
Tóm tắt:
d = 26000N/m3; Pn = 150N; dn = 10000N/m3; P = ?
Lời giải:
Nhúng chìm vật trong nước, vật chịu tác dụng của lực đẩy Ác-si-mét nên vật nhẹ hơn ngoài không khí.
Do lực đẩy Ác-si-mét chính là hiệu số giữa trọng lượng của vật ở ngoài không khí với trọng lượng của vật ở trong nước nên:
FA = P – Pn
Trong đó: P là trọng lượng của vật ở ngoài không khí, Pn là trọng lượng của vật ở trong nước.
Hay dn.V = d.V – Pn
Trong đó: V là thể tích của vật; dn là trọng lượng riêng của nước, d là trọng lượng riêng của vật.
Suy ra: d.V – dn.V= Pn ⇔ V.(d – dn) = Pn

Trọng lượng của vật ở ngoài không khí là:

Bài 12a trang 58 VBT Vật Lí 8: Một vật m được treo bằng một sợi dây buộc dưới một đĩa cân, ở ngoài không khí thì đòn cân thăng bằng khi đặt lên đĩa cân bên kia một quả cân 1kg. Nhúng vật m chìm vào nước thì đòn cân lệch về phía nào? Phải thêm vào đĩa cân có treo vật m một quả cân bao nhiêu gam để đòn cân trở lại thăng bằng? Biết m có thể tích 15cm3.
Lời giải:
Ta có: V = 15cm3 = 0,000015m3.
Khi ở ngoài không khí thì đòn cân thăng bằng nên khối lượng của vật bằng khối lượng quả cân: m = 1kg.
Nhúng vật m vào nước: ⇒ Nó chịu tác dụng của 2 lực là lực đẩy Ác-si-met FA và trọng lượng P.
⇒ Hợp lực tác dụng lên m là:
P’ = P – FA = 10.m – V.dnước = 10.1 – 0,000015.10000 = 9,85N.
Vậy phải thêm vào bên đĩa có vật m1 vật có trọng lượng:
P1 = P – P’ = 0,15N.
Khối lượng của vật m1 thêm vào là:
m1 = P1/10 = 0,15/10 = 0,015kg = 15g.
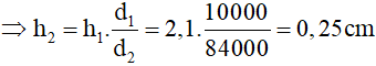
Bài 12b* trang 58 VBT Vật Lí 8: Một bình hình trụ chứa nước tới độ cao 15cm. Khi thả một cốc nhỏ bằng đồng thau nổi trong bình thì mực nước dâng lên 2,1cm. Mực nước trong bình là bao nhiêu khi cốc chìm hẳn trong bình. Cho dnước = 10000N/m3 và dđồng = 84000N/m3.
Lời giải:
Gọi S là diện tích đáy hình trụ, V là thể tích cốc đồng thau.
Ta có: h = 15 cm; h1 = 2,1cm; d1 = 10000N/m3; d2 = 84000N/m3.
- Khi cốc nổi trong bình thì trọng lực cân bằng với lực đẩy Ác-si-mét:
P = FA
Trong đó: P = d2.V; FA = d1.V1
(V1 là thể tích phần cốc ngập trong nước = thể tích phần nước dâng lên: V1 = S.h1).
→ d2.V = d1.S.h1 (1)
- Khi cốc chìm hoàn toàn trong nước thì nước dâng thêm đoạn h2 sao cho phần thể tích dâng lên bằng thể tích của vật:
S.h2 = V (2)
Từ (1) và (2) ta được: d2.S.h2 = d1.S.h1

- Mực nước trong bình lúc này là:
h′ = h + h2 = 15 + 0,25 = 15,25cm.
....................................
Ngoài Giải bài tập VBT Vật lý lớp 8 bài 12: Sự nổi. Mời các bạn học sinh còn có thể tham khảo các đề thi học học kì 1 lớp 8, đề thi học học kì 2 lớp 8 các môn Toán, Văn, Anh, Hóa, Lý, Địa, Sinh mà chúng tôi đã sưu tầm và chọn lọc. Với đề thi học kì 2 lớp 8 này giúp các bạn rèn luyện thêm kỹ năng giải đề và làm bài tốt hơn. Chúc các bạn ôn thi tốt