Giải VTH Khoa học tự nhiên 8 Kết nối tri thức bài 33
Giải vở thực hành Khoa học tự nhiên 8 bài 33: Máu và hệ tuần hoàn của cơ thể người sách Kết nối tri thức hay, chi tiết sẽ giúp học sinh dễ dàng tham khảo bài tập trong VTH Khoa học tự nhiên 8.
Bài: Máu và hệ tuần hoàn của cơ thể người
Bài 33.1 trang 40 Vở thực hành KHTN 8: Xác định tên và chức năng các thành phần của máu được đánh số trong Hình 33.1 SGK KHTN 8.
Lời giải:
Tên và chức năng các thành phần của máu được đánh số trong Hình 33.1:
1. Tiểu cầu: Tham gia bảo vệ cơ thể nhờ cơ chế làm đông máu.
2. Hồng cầu: Vận chuyển oxygen và carbon dioxide trong máu.
3. Bạch cầu: Tham gia bảo vệ cơ thể.
4. Huyết tương: Duy trì máu ở trạng thái lỏng giúp máu dễ dàng lưu thông trong mạch; vận chuyển chất dinh dưỡng, các chất cần thiết khác và chất thải.
Bài 33.2 trang 40 Vở thực hành KHTN 8: Điều gì sẽ xảy ra với cơ thể chúng ta nếu thiếu một trong các thành phần của máu?
Lời giải:
- Nếu thiếu một trong các thành phần của máu thì cơ thể sẽ gặp các bệnh lý liên quan đến máu, ảnh hưởng đến chức năng của nhiều cơ quan, thậm chí tử vong.
- Ví dụ: Nếu thiếu tiểu cầu sẽ gây tình trạng xuất huyết, khả năng đông máu và khả năng chống nhiễm trùng sẽ giảm. Nếu thiếu hồng cầu có thể gây bệnh thiếu máu, hoặc có triệu chứng như khó thở, chóng mặt, da xanh, tim đập nhanh,… Nếu thiếu bạch cầu thường khiến sức đề kháng của cơ thể yếu hơn, dễ nhiễm trùng.
Bài 33.3 trang 40 Vở thực hành KHTN 8: Giải thích vì sao con người sống trong môi trường chứa nhiều vi khuẩn có hại nhưng vẫn có thể sống khoẻ mạnh.
Lời giải:
Con người sống trong môi trường chứa nhiều vi khuẩn có hại nhưng vẫn có thể sống khỏe mạnh vì cơ thể có khả năng miễn dịch (khả năng nhận diện, ngăn cản sự xâm nhập của mầm bệnh, đồng thời chống lại mầm bệnh khi nó đã xâm nhập vào cơ thể).
Bài 33.4 trang 40 Vở thực hành KHTN 8: Tiêm vaccine có vai trò gì trong việc phòng bệnh?
Lời giải:
Việc tiêm vaccine giúp con người tạo ra miễn dịch chủ động cho cơ thể: Mầm bệnh đã chết hoặc suy yếu,… trong vaccine có tác dụng kích thích tế bào bạch cầu tạo ra kháng thể, kháng thể tạo ra tiếp tục tồn tại trong máu giúp cơ thể miễn dịch với bệnh đã được tiêm vaccine.
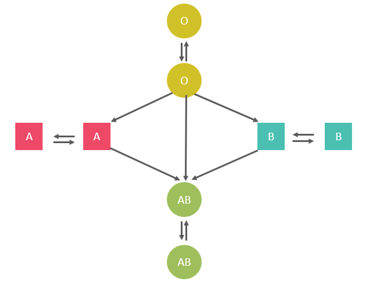
Bài 33.5 trang 40 Vở thực hành KHTN 8: Hoàn thành sơ đồ truyền máu bằng cách đánh dấu chiều mũi tên thể hiện mối quan hệ cho, nhận giữa các nhóm máu:

Lời giải:
Sơ đồ truyền máu thể hiện mối quan hệ cho, nhận giữa các nhóm máu:

Bài 33.6 trang 41 Vở thực hành KHTN 8: Người có nhóm máu A có thể nhận những nhóm máu nào? Nếu truyền nhóm máu không phù hợp sẽ dẫn đến hậu quả gì?
Lời giải:
- Nếu một người có nhóm máu A cần được truyền máu, người này có thể nhận nhóm máu A và nhóm máu O.
- Nếu truyền nhóm máu không phù hợp, hồng cầu của máu truyền vào cơ thể sẽ bị ngưng kết bởi các kháng thể của người nhận ngay trong lòng mạch máu, có thể xảy ra các phản ứng đồng loạt, gây sốc, nguy hiểm đến tính mạng của người được truyền máu.
Bài 33.7 trang 41 Vở thực hành KHTN 8: Nêu cấu tạo của hệ tuần hoàn và trình bày sự phối hợp các cơ quan thể hiện chức năng của cả hệ tuần hoàn
Lời giải:
- Cấu tạo của hệ tuần hoàn gồm có tim và hệ mạch. Trong đó, hệ mạch gồm động mạch, mao mạch và tĩnh mạch.
- Sự phối hợp các cơ quan thể hiện chức năng của cả hệ tuần hoàn: Tim hoạt động như một chiếc bơm, vừa hút, vừa đẩy máu lưu thông trong hệ tuần hoàn. Động mạch vận chuyển máu từ tim đến mao mạch để trao đổi nước, chất khí, các chất giữa máu và các tế bào; máu trao đổi tại mao mạch theo tĩnh mạch trở về tim.
Bài 33.8 trang 41 Vở thực hành KHTN 8:
1. Tìm hiểu nguyên nhân, triệu chứng, hậu quả của một số bệnh về máu, tim mạch.
2. Đề xuất biện pháp phòng bệnh, bảo vệ hệ tuần hoàn và cơ thể. Giải thích cơ sở của các biện pháp đó.
Lời giải:
1. Nguyên nhân, triệu chứng, hậu quả của một số bệnh về máu, tim mạch:
|
Tên bệnh |
Nguyên nhân |
Triệu chứng |
Hậu quả |
|
Thiếu máu |
- Do không sản xuất đủ hoặc giảm số lượng hồng cầu hoặc huyết sắc tố (hemoglobin) dẫn đến máu giảm khả năng vận chuyển oxygen trong cơ thể. - Hoặc do mất quá nhiều máu khi bị thương, khi đến kì kinh nguyệt. |
Mệt mỏi, da xanh, tim đập nhanh, đau thắt ngực, ngất và khó thở khi gắng sức… |
Khiến cơ thể mệt mỏi và suy giảm chất lượng cuộc sống; có thể dẫn đến các biến chứng nghiêm trọng như rối loạn nhịp tim kéo dài, ngất xỉu đột ngột, mẹ bầu có thể sinh non, thậm chí tử vong. |
|
Huyết áp cao |
- Huyết áp tăng cao lúc đầu có thể do sau khi luyện tập thể dục, thể thao, khi tức giận hay khi bị sốt,… Nếu tình trạng này kéo dài có thể làm tổn thương cấu trúc thành động mạch và gây ra bệnh huyết áp cao. - Do chế độ ăn nhiều đường và muối, thức ăn chứa nhiều chất béo,… |
Nhức đầu, tê hoặc ngứa râm ran ở các chi, chóng mặt, hoa mắt, buồn nôn, chảy máu cam, … |
Có thể gây ra nhiều biến chứng như nguy hiểm về sau như: nhồi máu cơ tim, đột quỵ, suy thận,… |
|
Xơ vữa động mạch |
- Do chế độ ăn chưa hợp lí, hút thuốc lá, ít vận động,… dẫn đến hàm lượng cholesterol trong máu tăng cao kết hợp với Ca2+ ngấm vào thành mạch. |
Các triệu chứng cụ thể phụ thuộc vào vị trí động mạch bị xơ vữa như: Đau thắt ngực, tê bì tay chân hoặc cảm giác yếu ớt vô lực, khó nói hoặc nói lắp, mất thị lực tạm thời ở một mắt hoặc cơ mặt bị rủ xuống,… |
- Làm hẹp lòng mạch, mạch bị xơ vữa, dẫn đến tăng huyết áp, giảm dòng máu, tạo thành các cục máu đông dẫn đến tắc mạch. Nếu các cục máu đông xuất hiện ở động mạch vành tim gây đau tim, còn ở động mạch não là nguyên nhân gây đột quỵ. |
2. Đề xuất biện pháp phòng bệnh, bảo vệ hệ tuần hoàn và cơ thể. Giải thích cơ sở của các biện pháp đó.
|
Biện pháp phòng bệnh |
Cơ sở của biện pháp |
|
Có chế độ dinh dưỡng hợp lí, đủ chất; hạn chế thức ăn chế biến sẵn chứa nhiều muối, đường hoặc dầu mỡ; ăn uống hợp vệ sinh;… |
Bổ sung sắt và các chất cần thiết tốt cho hệ tuần hoàn. Ăn nhiều muối, đường, dầu mỡ tác động không tốt đến tim và hệ mạch, tăng nguy cơ xơ vữa động mạch,… Ngăn chặn sự xâm nhập của một số virus, vi khuẩn,… gây bệnh cho cơ thể. |
|
Khắc phục và hạn chế những nguyên nhân làm tăng nhịp tim và huyết áp không mong muốn: Hạn chế sử dụng các chất kích thích như rượu, bia, thuốc lá,…; tạo cuộc sống vui tươi, thoải mái về tinh thần, giảm căng thẳng;… |
Nếu tăng nhịp tim kéo dài sẽ dẫn đến bệnh suy tim và có thể làm tim ngừng hoạt động. Nếu tăng huyết áp kéo dài có thể sẽ làm tổn thương cấu trúc thành động mạch và gây bệnh. |
|
Rèn luyện thể dục, thể thao vừa sức, hợp lí. |
Nâng dần sức chịu đựng của tim và cơ thể, tăng khả năng hoạt động của hệ tuần hoàn. |
|
Khám sức khỏe định kì. |
Phát hiện bệnh tật liên quan đến tim mạch để chữa trị kịp thời hay có chế độ hoạt động và sinh hoạt phù hợp để bệnh được kiểm soát. |
|
Đảm bảo môi trường sống sạch sẽ, tiêu diệt các tác nhân truyền bệnh qua đường máu. |
Giảm thiếu tối đa sự ảnh hưởng và gây hại của các tác nhân truyền bệnh qua đường máu. |
Bài 33.9 trang 41 Vở thực hành KHTN 8:
1. Khi thực hiện biện pháp buộc dây garô cần lưu ý những điều gì?
2. Vì sao chỉ dùng biện pháp buộc dây garô để sơ cứu những vết thương chảy máu động mạch ở tay hoặc chân? Những vết thương chảy máu động mạch không phải ở
tay, chân cần được xử lí như thế nào?
Lời giải:
1. Khi thực hiện biện pháp buộc dây garô cần lưu ý:
- Buộc dây garô ở vị trí gần sát vết thương (cao hơn vết thương về phía tim).
- Buộc dây garô với lực ép đủ làm cầm máu, tránh trường hợp thắt quá chặt.
- Ghi chú thời gian đặt garô, không buộc quá lâu vì có thể làm hoại tử phần cơ quan bên dưới chỗ thắt garô.
2.
- Chỉ dùng biện pháp buộc dây garô để sơ cứu những vết thương chảy máu động mạch ở tay hoặc chân vì: Tay và chân là những mô đặc nên biện pháp buộc dây garô mới có hiệu quả. Ở những vị trí khác (như bẹn, bụng, đầu, cổ) biện pháp buộc dây garô vừa không có hiệu quả cầm máu, vừa gây nguy hiểm đến tính mạng.
- Những vết thương chảy máu động mạch không phải ở tay, chân cần được xử lí bằng cách ấn tay vào động mạch gần vết thương (phía gần tim) để cầm máu. Sau đó, nhanh chóng đưa bệnh nhân đến cơ sở y tế gần nhất.
Bài 33.10 trang 42 Vở thực hành KHTN 8: Kết quả điều tra một số bệnh về máu và tim mạch:
Bảng 33.2.
|
Tên bệnh |
Số người mắc |
Nguyên nhân |
Biện pháp phòng chống |
Lời giải:
Bảng 33.2.
|
Tên bệnh |
Số người mắc |
Nguyên nhân |
Biện pháp phòng chống |
|
Thiếu máu |
4/100 |
Do chế độ ăn thiếu sắt; do chảy máu quá nhiều máu khi bị thương, khi đến kì kinh nguyệt;… |
Thực hiện chế độ ăn cân đối giàu sắt, vitamin; tăng hấp thu sắt bằng uống nước hoa quả như cam, chanh khi ăn thức ăn nhiều sắt; không nên uống trà, cà phê ngay sau ăn; điều trị sớm các bệnh làm giảm hấp thu sắt như: rối loạn tiêu hóa, kinh nguyệt kéo dài… các bệnh gây chảy máu mạn tính;… |
|
Huyết áp cao |
2/100 |
Lúc đầu có thể là kết quả nhất thời sau khi luyện tập thể dục, thể thao, khi tức giận hay khi bị sốt,… Nếu tình trạng này kéo dài có thể làm tổn thương cấu trúc thành động mạch và gây ra bệnh huyết áp cao. Hoặc do chế độ ăn nhiều đường và muối, thức ăn chứa nhiều chất béo,… |
Có chế độ ăn uống khoa học; kiểm soát cân nặng hợp lí; rèn luyện thể dục, thể thao thường xuyên; khám sức khỏe định kì;… |
|
Xơ vữa động mạch |
1/100 |
Do chế độ ăn chưa hợp lí, hút thuốc lá, vận động ít,… |
Thực hiện chế độ ăn khoa học, chọn thực phẩm tốt cho tim mạch như ưu tiên trái cây, rau, ngũ cốc nguyên hạt và hạn chế chất béo bão hòa, muối, đường; luyện tập thể dục thể thao thường xuyên; duy trì cân nặng hợp lí; hạn chế uống rượu bia, hút thuốc lá; kiểm soát căng thẳng;… |
Bài 33.11 trang 42 Vở thực hành KHTN 8: Hiến máu có hại cho sức khoẻ không? Vì sao?
1. Hiến máu có hại cho sức khoẻ không? Vì sao?
2. Những ai có thể hiến máu được và những ai không thể hiến máu?
Lời giải:
1. Hiến máu có hại cho sức khoẻ không? Vì sao?
- Hiến máu không có hại cho sức khỏe nếu thể tích máu hiến phù hợp với thể trạng cũng như tần suất hiến hợp lí.
- Giải thích: Nếu hiến máu phù hợp thì mặc dù sau khi hiến máu, các chỉ số trong cơ thể có chút thay đổi nhưng vẫn nằm trong giới hạn sinh lí bình thường, không gây ảnh hưởng đến hoạt động thường ngày của cơ thể. Thậm chí, hiến máu còn được xem là một cơ hội giúp sức khỏe được tăng cường tốt hơn vì giúp kích thích khả năng tạo máu, thải sắt ứ trệ trong các cơ quan.
2. Những ai có thể hiến máu được và những ai không thể hiến máu?
- Những người có thể hiến máu được là:
+ Người từ 18 – 60 tuổi, cân nặng ít nhất là 42 kg đối với nữ và 45 kg đối với nam. Không bị nhiễm hoặc không có các hành vi lây nhiễm HIV và các bệnh lây nhiễm qua đường truyền máu khác.
+ Người đã hiến máu lần gần nhất trước đó 12 tuần hoặc hiến thành phần máu lần gần nhất trước đó 3 tuần.
+ Phụ nữ không có thai hoặc không nuôi con nhỏ dưới 1 tuổi.
- Những người không thể hiến máu là:
+ Người đã nhiễm hoặc đã thực hiện hành vi có nguy cơ nhiễm HIV.
+ Người đã nhiễm viêm gan B, viêm gan C và các virus lây qua đường truyền máu.
+ Người có các bệnh mãn tính: tim mạch, huyết áp, hô hấp,…
Bài 33.12 trang 42 Vở thực hành KHTN 8: Trước khi đo huyết áp, nếu người được đo vận động mạnh hay căng thẳng thì kết quả đo không chính xác. Em hãy đưa ra những lưu ý cho người cần đo huyết áp để có kết quả đo chính xác và giải thích cơ sở của những lưu ý vừa nêu.
Lưu ý trước khi đo:
Cơ sở:
Lời giải:
- Lưu ý trước khi đo: Yêu cầu người đo huyết áp nằm hoặc ngồi nghỉ ngơi ở tư thế thoải mái, thư giãn.
- Cơ sở: Huyết áp có thể biến động tạm thời khi hoạt động thể lực, xúc động,… Do đó, để có kết quả giá trị huyết áp chính xác, người được đo phải ở trạng thái nghỉ ngơi, thư giãn.
Bài 33.13 trang 42 Vở thực hành KHTN 8: Độ tuổi bị đột quỵ và xơ vữa động mạch ngày càng trẻ hoá. Bằng kiến thức đã học, em hãy dự đoán các nguyên nhân gây nên hai bệnh trên. Từ đó đưa ra các việc làm cụ thể để phòng chống bệnh.
Lời giải:
- Nguyên nhân gây nên đột quỵ và xơ vữa động mạch: Do chế độ ăn nhiều muối, đường, chất béo; lối sống ít vận động; sử dụng nhiều chất kích thích như rượu, bia; béo phì; tuổi cao;…
- Biện pháp phòng chống: Thực hiện chế độ ăn khoa học, chọn thực phẩm tốt cho tim mạch như ưu tiên trái cây, rau, ngũ cốc nguyên hạt và hạn chế chất béo bão hòa, muối, đường; luyện tập thể dục thể thao thường xuyên; duy trì cân nặng hợp lí; hạn chế uống rượu bia, hút thuốc lá; kiểm soát căng thẳng;…
Bài 33.14 trang 42 Vở thực hành KHTN 8: Vì sao người có nhóm máu O có thể truyền máu được cho người có nhóm máu A, B, AB và O nhưng họ chỉ nhận được duy nhất nhóm máu O?
Lời giải:
- Người có nhóm máu O có thể truyền máu được cho người có nhóm máu A, B, AB và O vì trên hồng cầu của nhóm máu O không có kháng nguyên nên sẽ không gây hiện tượng kết dính với kháng thể trong máu của người nhận có nhóm máu bất kì.
- Người có nhóm máu O chỉ nhận được duy nhất nhóm máu O vì trong huyết tương của người có nhóm máu O có cả 2 loại kháng thể là α và β nên sẽ gây hiện tượng kết dính với kháng nguyên trên hồng cầu của bất kì nhóm máu truyền nào khác O.
>>> Bài tiếp theo: Giải VTH Khoa học tự nhiên 8 Kết nối tri thức bài 34
Trên đây là toàn bộ lời giải Giải Vở thực hành KHTN lớp 8 bài 33: Máu và hệ tuần hoàn của cơ thể người Kết nối tri thức với cuộc sống. Các em học sinh tham khảo thêm KHTN lớp 8 Chân trời sáng tạo và KHTN lớp 8 Cánh Diều. VnDoc liên tục cập nhật lời giải cũng như đáp án sách mới của SGK cũng như SBT các môn cho các bạn cùng tham khảo.