Lý thuyết Khoa học tự nhiên 9 Chân trời sáng tạo bài 10
Lý thuyết Khoa học tự nhiên 9 bài 10: Đoạn mạch song song có nội dung chi tiết và các câu trắc nghiệm trong chương trình sách mới. Các bạn có thể tham khảo để chuẩn bị tốt cho bài học mới trong chương trình sách Chân trời sáng tạo
Bài: Đoạn mạch song song
A. Lý thuyết Khoa học tự nhiên 9 bài 10
1. Đoạn mạch song song
- Đoạn mạch song song là đoạn mạch điện có các thiết bị điện được mắc thành các nhánh riêng biệt
2. Cường độ dòng điện trong đoạn mạch song song
- Cường độ dòng điện chạy trong đoạn mạch gồm 2 điện trở mắc song song
I = I1 + I2
- Cường độ dòng điện chạy trong đoạn mạch gồm n điện trở mắc song song
I = I1 + I2 +... +In
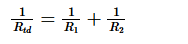
3. Điện trở tương đương của đoạn mạch song song
- Điện trở tương đương của đoạn mạch gồm 2 điện trở mắc song song:
\(\frac{1}{R_{td}}=\frac{1}{R_1}+\frac{1}{R_2}\)
- Điện trở tương đương của đoạn mạch gồm n điện trở mắc song song:
\(\frac{1}{R_{td}}=\frac{1}{R_1}+\frac{1}{R_2}+...+\frac{1}{R_n}\)
Sơ đồ tư duy Đoạn mạch song song
B. Trắc nghiệm Khoa học tự nhiên 9 bài 10
Câu 1: Trong phòng học đang sử dụng một đèn dây tóc và một quạt trần có cùng hiệu điện thế 220V. Biết các dụng cụ đều hoạt động bình thường. Thông tin nào sau đây là đúng?
A. Bóng đèn và quạt trần mắc song song với nhau.
B. Cường độ dòng điện qua bóng đèn và quạt trần có giá trị bằng nhau.
C. Tổng các hiệu điện thế giữa hai đầu các dụng cụ điện bằng hiệu điện thế giữa hai đầu đoạn mạch.
D. Bóng đèn và quạt trần mắc nối tiếp với nhau.
Hướng dẫn giải
Đáp án đúng là: A
Vì trong đoạn mạch mắc song song, hiệu điện thế của các mạch rẽ luôn bằng nhau và bằng hiệu điện thế đặt vào hai đầu đoạn mạch.
Câu 2: Hai điện trở R1 = 4Ω, R2 = 6Ω mắc song song với nhau vào đoạn mạch có hiệu điện thế U = 2,4V. Điện trở tương đương của đoạn mạch là
A. 10 Ω.
B. 2,4 Ω.
C. 24 Ω.
D. 2 Ω.
Hướng dẫn giải
Đáp án đúng là: B
Điện trở tương đương của đoạn mạch là:
\(\frac{1}{R_{td}}=\frac{1}{R_1}+\frac{1}{R_2}=\frac{1}{4}+\frac{1}{6}=\frac{5}{12}\)
\(⇒R_{td}=\frac{12}{5}=2,4Ω\)
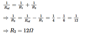
Câu 3: Hai điện trở R1, R2 mắc song song với nhau. Biết R1 = 6Ω, điện trở tương đương của mạch là Rtđ = 4Ω. Điện trở R2 nhận giá trị nào dưới đây?
A. 2 Ω.
B. 12 Ω.
C. 4 Ω.
D. 10 Ω.
Hướng dẫn giải
Đáp án đúng là: B
Điện trở R2 là:

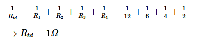
Câu 4: Mắc bốn điện trở R1 = 12Ω; R1 = 2R2 = 3R3 = 4R4 song song với nhau vào mạch điện. Điện trở tương đương của đoạn mạch này là
A. 1Ω.
B. 3Ω.
C. 5Ω.
D. 6Ω.
Hướng dẫn giải
Đáp án đúng là: A
Điện trở R2 là: R1 : 2 = 12 : 2 = 6Ω.
Điện trở R3 là: R1 : 3 = 12 : 3 = 4Ω.
Điện trở R4 là: R1 : 4 = 12 : 4 = 2Ω.
Điện trở tương đương của đoạn mạch này là:

Câu 5: Hai điện trở R1 và R2 được mắc song song với nhau, trong đó R1 = 6 Ω, dòng điện mạch chính có cường độ I = 1,2A và dòng điện đi qua điện trở R2 có cường độ I2 = 0,4A. Tính R2.
A. 10 Ω.
B. 12 Ω.
C. 15 Ω.
D. 13 Ω.
Hướng dẫn giải
Đáp án đúng là: B
Cường độ dòng điện chạy qua R1 là: I1 = I – I2 = 1,2 – 0,4 = 0,8A
Hiệu điện thế đặt vào hai đầu điện trở R1 là: U1 = I1 . R1 = 0,8. 6 = 4,8V
Do R1 song song R2 nên U2 = U1 = 4,8V
![]()
Câu 6: Phát biểu nào dưới đây không đúng đối với đoạn mạch gồm các điện trở mắc song song?
A. Cường độ dòng điện trong mạch chính bằng tổng cường độ dòng điện trong các mạch rẽ.
B. Hiệu điện thế giữa hai đầu đoạn mạch bằng tổng các hiệu điện thế giữa hai đầu mỗi điện trở mắc trong đoạn mạch.
C. Hiệu điện thế giữa hai đầu đoạn mạch bằng hiệu điện thế giữa hai đầu mỗi điện trở mắc trong đoạn mạch.
D. Hiệu điện thế giữa hai đầu mỗi điện trở mắc trong đoạn mạch tỉ lệ thuận với điện trở đó.
Hướng dẫn giải
Đáp án đúng là: B
Đối với đoạn mạch gồm các điện trở mắc song song,
U = U1 = U2
I = I1 + I2
![]()
Câu 7: Đặt một hiệu điện thế UAB vào hai đầu đoạn mạch gồm hai điện trở R1 và R2 mắc song song. Hiệu điện thế giữa hai đầu mỗi điện trở tương ứng là U1, U2. Hệ thức nào sau đây là đúng?
A. RAB = R1 + R2.
B. IAB = I1 = I2
C. I1R2 = I2R1.
D. UAB = U1 = U2.
Hướng dẫn giải
Đáp án đúng là: D
Đối với đoạn mạch gồm các điện trở mắc song song:
U = U1 = U2
I = I1 + I2
![]()
Câu 8: Biểu thức nào dưới đây là đúng với đoạn mạch có hai điện trở mắc song song?
A. I = I1 + I2.
B. I = I1 = I2.
C. U = U1 + U2.
D. I1U1 = I2U2.
Hướng dẫn giải
Đáp án đúng là: A
Đối với đoạn mạch gồm các điện trở mắc song song,
![]()
Câu 9: Trong các công thức sau đây, công thức nào không phù hợp với đoạn mạch mắc song song?
A. I = I1 + I2 + ... + In.
B. U = U1 = U2 = ... = Un.
C. R = R1 + R2 + ... Rn.
![]()
Hướng dẫn giải
Đáp án đúng là: C
Đối với đoạn mạch gồm các điện trở mắc song song:

Câu 10: Phát biểu nào sau đây là sai?
A. Trong đoạn mạch mắc song song, hiệu điện thế của các mạch rẽ luôn bằng nhau.
B. Trong đoạn mạch mắc song song, tổng hiệu điện thế của các mạch rẽ bằng hiệu điện thế hai đầu đoạn mạch.
C. Trong đoạn mạch mắc song song, tổng cường độ dòng điện của các mạch rẽ bằng cường độ dòng điện trong mạch chính.
D. Trong đoạn mạch mắc song song, điện trở tương đương của cả mạch luôn nhỏ hơn các điện trở thành phần.
Hướng dẫn giải
Đáp án đúng là: B
Đối với đoạn mạch gồm các điện trở mắc song song, hiệu điện thế của các mạch rẽ luôn bằng nhau.
![]()
Câu 11: Một đoạn mạch gồm hai điện trở R1 = 5 Ω, R2 = 10 Ω mắc song song với nhau vào hai điểm có hiệu điện thế 5V. Điện trở tương đương và cường độ dòng điện qua mạch chính là
A. Rtđ = 15Ω, I = 0,3A.
B. Rtđ = 0,3Ω, I = 20A.
C. Rtđ = 10/3Ω, I = 1,5A.
D. Rtđ = 5Ω, I = 1A.
Hướng dẫn giải
Đáp án đúng là: C
Điện trở tương đương của đoạn mạch là:

Câu 12: Một đoạn mạch gồm 3 điện trở mắc song song R1 = 4Ω, R2 = 3Ω, R3 = 5Ω. Hiệu điện thế giữa 2 đầu R3 là 7,5V.
|
Phát biểu |
Đúng |
Sai |
|
a. Điện trở tương đương của đoạn mạch là 12Ω. |
||
|
b. Hiệu điện thế giữa 2 đầu R1, R2 là 7,5V. |
||
|
c. Cường độ dòng điện chạy qua R1 là 1,5A. |
||
|
d. Cường độ dòng điện chạy trong mạch chính là 1,5A. |
Hướng dẫn giải
Đáp án đúng là: a – Sai; b – Đúng; c – Sai; d – Sai
a – Sai: Điện trở tương đương của đoạn mạch là:

b – Đúng: Trong đoạn mạch gồm các điện trở mắc song song, U = U1 = U2 = U3 = 7,5V.
c – Sai: Trong đoạn mạch gồm các điện trở mắc song song, U = U1 = U2 = U3 = 7,5V.
Cường độ dòng điện chạy qua R1 là: I1 = U1 : R1 = 7,5 : 4 = 1,875A
d – Sai: Cường độ dòng điện chạy trong mạch chính là:
I = U : R

>>>> Bài tiếp theo: Lý thuyết Khoa học tự nhiên 9 Chân trời sáng tạo bài 11