Lý thuyết Khoa học tự nhiên 9 Chân trời sáng tạo bài 3
Lý thuyết Khoa học tự nhiên 9 bài 3: Công và công suất có nội dung chi tiết và các câu trắc nghiệm trong chương trình sách mới, các bạn có thể tham khảo để chuẩn bị tốt cho bài học mới trong chương trình sách Chân trời sáng tạo
Bài: Công và công suất
A. Lý thuyết Khoa học tự nhiên 9 bài 3
1. Công
Lập biểu thức công
- Công cơ học (Công) là số đo phần năng lượng mà vật nhận vào hoặc mất đi do tương tác với vật khác.
- Công A được xác định bởi biểu thức: A = F.s
Trong đó:
F là lực tác dụng lên vật (N)
S là quãng đường dịch chuyển theo hướng của lực (m)
- Khi F = 1 N, s = 1 m thì A = 1 N. 1 m = 1 Nm
- Đơn vị: Jun (J) (1 J = 1 Nm)
1 kJ = 103 J
1 MJ = 106 J
1 BTU = 1055 J
1 cal = 4,186 J
1 kcal = 1000 cal = 4186 J
2. Công suất
Tìm hiểu công suất
- Công suất là đại lượng đặc trưng cho tốc độ thực hiện công và được xác định bởi công thực hiện trong một đơn vị thời gian
\(P=\frac{A}{t}\)
Trong đó:
A là công thực hiện được (J)
t là thời gian thực hiện công (s)
- Đơn vị: Oát (W)
\(1W=\frac{1J}{1s}\)
1 kW = 103 W
1 MW = 106 W
1 GW = 109 W
1 HP = 746 W
1 BTU/h = 0,293 W
B. Trắc nghiệm Khoa học tự nhiên 9 bài 3
Câu 1: Một máy động cơ có công suất P = 75W, hoạt động trong t = 2h thì tổng công của máy cơ sinh ra là
A. 550 kJ.
B. 530 kJ.
C. 540 kJ.
D. 560 kJ.
Đáp án đúng là: C
Đổi 2h = 7200s
Công thức tính công suất:
\(P=\frac{A}{t}\)
Vậy công của máy cơ sinh ra là: A = P .t = 75. 7200 = 540000 (J) = 540 kJ
Câu 2: Một máy cơ có công suất P = 360W, máy đã sinh ra công A = 720kJ. Vậy thời gian máy đã hoạt động là
A. 20 giây.
B. 200 giây.
C. 2000 giây.
D. 20000 giây.
Đáp án đúng là: A
Đổi 720 kJ = 720000J
Thời gian máy thực hiện công là:
\(P=\frac{A}{t}⇒t=\frac{A}{P}=\frac{720000}{360}=2000s\)
Câu 3: Một lực F tác dụng vào vật làm vật dịch chuyển quãng đường s theo phương của lực thì công của lực F được tính bằng công thức
A. A = F.s.
\(B.\ A=\frac{F}{s}\)
\(C.A=\frac{s}{F}.\)
D. A = F.v.
Đáp án đúng là: A
Một lực F không đổi làm vật dịch chuyển một quãng đường s theo hướng của lực được xác định bởi biểu thức: A = F.s
Câu 4: Trường hợp nào sau đây lực tác dụng vào vật nhưng không sinh công?
A. Cầu thủ bóng đá sút vào trái bóng.
B. Vận động viên cầu lông đang đánh cầu.
C. Vận động viên cờ vua đang ngồi yên suy nghĩ.
D. Vận động viên đẩy tạ đang đẩy quả tạ bay đi.
Đáp án đúng là: C
Khi một lực tác dụng lên vật làm vật dịch chuyển một quãng đường theo hướng của lực, người ta nói lực đã thực hiện một công cơ học.
Trường hợp C, vận động viên cờ vua đang ngồi yên suy nghĩ nên không có công cơ học.
Câu 5: Một ô tô đang chuyển động thẳng đều đi được quãng đường 200 m với lực tác dụng lên ô tô là 200N. Công của động cơ ô tô lúc này là
A. A = 400 J.
B. A = 40 000 J.
C. A = 4 000 J.
D. A = 40 J.
Đáp án đúng là: B
Công của động cơ ô tô lúc này là: A = F.s = 200.200 = 40000J
Câu 6: Trường hợp nào sau đây lực tác dụng vào vật có khả năng sinh công?
A. Viên phấn đặt trên mặt bàn.
B. Chiếc bút đang rơi.
C. Nước trong cốc đặt trên bàn.
D. Hòn đá đang nằm trên mặt đất.
Đáp án đúng là: B
Lực tác dụng vào vật và làm vật dịch chuyển theo phương của lực. Khi đó ta nói lực đã thực hiện một công cơ học.
Câu 7: Trong các trường hợp dưới đây, trường hợp nào trọng lực thực hiện công?
A. Đầu tàu hỏa đang kéo đoàn tàu chuyển động.
B. Người công nhân dùng ròng rọc cố định kéo vật nặng lên.
C. Ô tô đang chuyển động trên đường nằm ngang.
D. Quả nặng rơi từ trên xuống.
Đáp án đúng là: D
Lực tác dụng vào vật và làm vật dịch chuyển theo phương của lực. Khi đó ta nói lực đã thực hiện một công cơ học.
A, B, C: lực làm vật chuyển động không phải trọng lực.
Câu 8: Đâu là công thức tính công suất?
A. A = P.t.
\(B.\ P=\frac{A}{t}\)
C. P=A.t .
D. P=A+t .
Đáp án đúng là: B
Công thức tính công suất:
\(P=\frac{A}{t}\)
Trong đó: + P là công suất (W)
+ A là công cơ học (J)
+ t là thời gian thực hiện công cơ học (s)
Câu 9: Đơn vị của công cơ học là
A. jun (J).
B. niutơn (N).
C. mét (m).
D. ampe (A).
Đáp án đúng là: A
Trong hệ SI, đơn vị của công cơ học là Jun (J).
Câu 10: Trường hợp nào sau đây có công cơ học? Chọn đáp án đúng nhất.
A. Khi có lực tác dụng vào vật.
B. Khi có lực tác dụng vào vật và vật chuyển động theo phương vuông góc với phương của lực.
C. Khi có lực tác dụng vào vật và vật chuyển động theo phương không vuông góc với phương của lực.
D. Khi có lực tác dụng vào vật nhưng vật vẫn đứng yên.
Đáp án đúng là: C
Khi có lực tác dụng vào vật và vật chuyển động theo phương vuông góc với phương của lực thì công thực hiện bằng không.
Câu 11: Hai bạn Nam và Hùng kéo nước từ giếng lên. Nam kéo gàu nước nặng gấp đôi, thời gian kéo gàu nước lên của Hùng chỉ bằng một nửa thời gian của Nam.
|
Phát biểu |
Đúng |
Sai |
|
a. Công suất của Nam lớn hơn vì gàu nước của Nam nặng gấp đôi. |
||
|
b. Công suất của Hùng lớn hơn vì thời gian kéo của Hùng chỉ bằng một nửa thời gian kéo của Nam. |
||
|
c. Công thực hiện của Nam gấp đôi của Hùng. |
||
|
d. Công suất của Nam và Hùng là bằng nhau. |
Đáp án đúng là: a – Sai; b – Sai; c – Sai; d – Đúng.
Giải thích:
Gọi lực kéo gàu nước lên của Nam và hùng lần lượt là F1, F2.
Thời gian Nam và Hùng kéo gàu nước lên lần lượt là t1, t2.
Chiều cao của giếng nước là h.
- Trọng lượng của gàu nước do Nam kéo nặng gấp đôi do Hùng kéo:
P1 = 2P2 ⇒ F1 = 2F2
- Thời gian kéo gàu nước lên của Hùng chỉ bằng một nửa thời gian của Nam: t2 = t1/2

⇒ P1=P2 ⇒ Công suất của Nam và Hùng là như nhau.
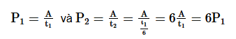
Câu 12: Để cày một sào đất, nếu dùng trâu cày thì mất 2 giờ, nếu dùng máy cày thì mất 20 phút.
|
Phát biểu |
Đúng |
Sai |
|
a. Thời gian trâu cày gấp 6 lần thời gian máy cày. |
||
|
b. Công thực hiện của trâu cày và máy cày là như nhau. |
||
|
c. Công suất của máy cày lớn hơn và lớn hơn 6 lần so với công suất của trâu. |
||
|
d. Công suất của trâu cày và máy cày là như nhau. |
Đáp án đúng là: a– Đúng; b – Đúng; c – Đúng; d - Sai
a – đúng: Trâu cày mất t1 = 2 giờ; Máy cày cày mất t2 = 20 phút = 1/3 giờ
Vậy thời gian trâu cày gấp 2 : 13 = 6 (lần) thời gian máy cày.
b – đúng: Vì cả 2 cùng cày một sào đất nên công thực hiện là như nhau A1 = A2 = A.
c – đúng: Gọi P1 và P2 lần lượt là công suất của trâu và máy cày.
Công suất của trâu và máy cày lần lượt là:

d – Sai: Công suấ t của máy cày lớn hơn và lớn hơn 6 lần so với công suất của trâu
Câu 13: Một người đẩy một xe với một lực 300N làm xe chuyển động đều trên đường nằm ngang với vận tốc 5 m/s. Công suất của người đó thực hiện là bao nhiêu?
Đáp án đúng là: 1500W
Giải thích:
Công suất của người đó thực hiện là:
\(P=\frac{A}{t}=\frac{F.s}{t}=F.v=300.5=1500W\)
Câu 14: Người ta cần một động cơ sinh ra một công 360kJ trong 1 giờ 20 phút. Động cơ người ta cần lựa chọn có công suất bao nhiêu?
Đáp án đúng là: 75W
Giải thích:
Đổi 360 kJ = 360000J; t = 1 giờ 20 phút = 4800s
Động cơ người ta cần lựa chọn có công suất là:
\(P=\frac{A}{t}=\frac{360000}{4800}=75W\)
Câu 15: Một máy động cơ có công suất P = 100W, hoạt động trong t = 2h thì tổng công của máy cơ sinh ra là bao nhiêu?
Đáp án đúng là: 720kW
Giải thích:
Đổi t = 2 giờ = 7200s
Động cơ người ta cần lựa chọn có công suất là:
\(P=\frac{A}{t}⇒A=P.t=100.7200=720000W=720kW\)
>>>> Bài tiếp theo: Lý thuyết Khoa học tự nhiên 9 Chân trời sáng tạo bài 4