Lý thuyết Khoa học tự nhiên 9 Chân trời sáng tạo bài 6
VnDoc xin giới thiệu bài Lý thuyết Khoa học tự nhiên lớp 9 bài 6: Phản xạ toàn phần sách Chân trời sáng tạo hay, chi tiết cùng với bài tập trắc nghiệm chọn lọc có đáp án giúp học sinh nắm vững kiến thức trọng tâm, ôn luyện để học tốt môn KHTN 9.
Bài: Phản xạ toàn phần
A. Lý thuyết Khoa học tự nhiên 9 bài 6
1. Hiện tượng phản xạ toàn phần
- Hiện tượng phản xạ toàn phần là hiện tượng phản xạ toàn bộ tia tới, xảy ra ở mặt phân cách giữa hai môi trường trong suốt
2. Điều kiện xảy ra phản xạ toàn phần
- Ánh sáng truyền từ môi trường có chiết suất lớn sang môi trường có chiết suất nhỏ hơn: n1 > n2
- Góc tới lớn hơn hoặc bằng góc tới giới hạn: i ≥ igh với
\(\sin_{igh}=\frac{n2}{n1}\)
B. Trắc nghiệm Khoa học tự nhiên 9 bài 6
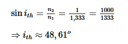
Câu 1: Chiếu một tia sáng đơn sắc từ trong nước tới mặt phân cách với không khí. Biết chiết suất của nước và của không khí đối với ánh sáng đơn sắc này lần lượt là 1,333 và 1. Góc tới hạn phản xạ toàn phần ở mặt phân cách giữa nước và không khí đối với ánh sáng đơn sắc này là
A. 41,40°.
B. 53,12°.
C. 36,88°.
D. 48,61°.
Hướng dẫn giải
Đáp án đúng là: D
Góc tới hạn phản xạ toàn phần ở mặt phân cách giữa nước và không khí đối với ánh sáng đơn sắc này là:

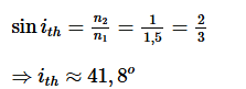
Câu 2: Biết chiết suất của thủy tinh là 1,5; của nước là 4/3. Góc tới hạn phản xạ toàn phần khi ánh sáng truyền từ thủy tinh sang nước là
A. 46,8o
B. 72,5o.
C. 62,7o.
D. 41,8o.
Hướng dẫn giải
Đáp án đúng là: C
Góc tới hạn phản xạ toàn phần khi ánh sáng truyền từ thủy tinh sang nước:

Câu 3: Biết chiết suất của thủy tinh là 1,5. Góc tới hạn phản xạ toàn phần khi ánh sáng truyền từ thủy tinh sang không khí là
A. 48,6o
B. 72,75°
C. 62,7°
D. 41,8°.
Hướng dẫn giải
Đáp án đúng là: D
Chiết suất của không khí là 1.
Góc tới hạn phản xạ toàn phần khi ánh sáng truyền từ thủy tinh sang không khí.

Câu 4. Nước có chiết suất 1,33. Chiếu ánh sáng từ nước ra ngoài không khí, góc có thể xảy ra hiện tượng phản xạ toàn phần là
A. 20o.
B. 30o.
C. 40o.
D. 60o.
Hướng dẫn giải
Đáp án đúng là: D
Chiết suất của không khí là 1.
Góc tới hạn phản xạ toàn phần khi ánh sáng truyền từ nước ra không khí.

Điều kiện xảy ra hiện tượng phản xạ toàn phần là: i ≥ ith.
Vậy góc có thể xảy ra hiện tượng phản xạ toàn phần là 600.
Câu 5: Với n1 là chiết suất của môi trường chứa tia tới; n2 là chiết suất của môi trường chứa tia khúc xạ. Góc tới hạn được xác định bởi biểu thức:

Hướng dẫn giải
Đáp án đúng là: D
Với n1 là chiết suất của môi trường chứa tia tới; n2 là chiết suất của môi trường chứa tia khúc xạ. Góc tới hạn được xác định bởi biểu thức:
\(\sin_{ith}=\frac{n2}{n1}\)
Câu 6: Sợi quang trong cáp quang ứng dụng hiện tượng gì?
A. Hiện tượng khúc xạ ánh sáng.
B. Hiện tượng phản xạ ánh sáng.
C. Hiện tượng phản xạ toàn phần.
D. Hiện tượng tán sắc ánh sáng.
Hướng dẫn giải
Đáp án đúng là: C
Cáp quang được dùng để truyền tín hiệu ánh sáng ứng dụng trong thông tin liên lạc, y học…. Cáp quang gồm một bó sợi quang. Khi ánh sáng đi vào sợi quang thì xảy ra hiện tượng phản xạ toàn phần. Hiện tượng này được lặp lại nhiều lần liên tiếp trên thành sợi khiến ánh sáng được dẫn truyền bên trong sợi quang.
Câu 7: Khi nói về hiện tượng phản xạ toàn phần. Phát biểu nào sau đây sai?
A. Góc tới lúc bắt đầu không quan sát thấy tia khúc xạ được gọi là góc tới hạn.
B. Phản xạ toàn phần chỉ xảy ra khi ánh sáng đi từ môi trường có chiết suất lớn sang môi trường có chiết suất nhỏ hơn.
C. Phản xạ toàn phần xảy ra khi góc tới lớn hơn góc tới hạn phản xạ toàn phần.
D. Góc tới hạn của phản xạ toàn phần được xác định bằng tỉ số chiết suất giữa môi trường có chiết suất lớn với môi trường có chiết suất nhỏ hơn.
Hướng dẫn giải
Đáp án đúng là: D
Sin góc tới hạn của phản xạ toàn phần được xác định bằng tỉ số chiết suất giữa môi trường có chiết suất nhỏ với môi trường có chiết suất lớn hơn.
Câu 8: Trong các ứng dụng sau đây, ứng dụng của hiện tượng phản xạ toàn phần là
A. gương phẳng.
B. gương cầu.
C. thấu kính.
D. cáp dẫn sáng trong nội soi.
Hướng dẫn giải
Đáp án đúng là: D
Cáp quang được dùng để truyền tín hiệu ánh sáng ứng dụng trong thông tin liên lạc, y học….Cáp quang gồm một bó sợi quang. Khi ánh sáng đi vào sợi quang thì xảy ra hiện tượng phản xạ toàn phần. Hiện tượng này được lặp lại nhiều lần liên tiếp trên thành sợi khiến ánh sáng được dẫn truyền bên trong sợi quang.
Câu 9: Khi chiếu tia sáng tới lăng kính nhưng chỉ thu được tia phản xạ. Hiện tượng này gọi là gì?
A. Hiện tượng khúc xạ ánh sáng.
B. Hiện tượng phản xạ ánh sáng.
C. Hiện tượng phản xạ toàn phần.
D. Hiện tượng tán sắc ánh sáng.
Hướng dẫn giải
Đáp án đúng là: C
Khi chiếu tia sáng tới lăng kính mà chỉ thấy tia phản xạ, toàn bộ tia tới bị phản xạ tại mặt phẳng phân cách giữa bản bán trụ và không khí. Hiện tượng này gọi là hiện tượng phản xạ toàn phần.
Câu 10: Một tia sáng đi từ thuỷ tinh đến mặt phân cách với nước. Biết chiết suất của thuỷ tinh là 1,5; chiết suất của nước là 4/3. Để có tia sáng đi vào nước thì góc tới (i) phải thoả mãn điều kiện nào dưới đây?
A. i ≥ 62o44’.
B. i < 62o44’.
C. i < 65o48’.
D. i < 48o35’.
Hướng dẫn giải
Đáp án đúng là: B
Để có tia sáng đi vào nước thì không xảy ra hiện tượng phản xạ toàn phần.
Điều kiện xảy ra hiện tượng phản xạ toàn phần là: i ≥ ith.
Trong đó ith được xác định bởi:

Vậy để có tia sáng đi vào nước thì góc tới i < 62o44’
Câu 11: Chiếu một tia sáng từ thủy tinh sang không khí.
|
Phát biểu |
Đúng |
Sai |
|
a. Khi xảy ra hiện tượng khúc xạ ánh sáng, góc khúc xạ r lớn hơn góc tới i. |
||
|
b. Nếu tiếp tục tăng góc tới i, ta không quan sát thấy tia khúc xạ nữa. |
||
|
c. Toàn bộ tia tới bị phản xạ tại mặt phân cách giữa hai môi trường. Hiện tượng này gọi là hiện tượng khúc xạ toàn phần. |
||
|
d. Điều kiện để chỉ nhìn thấy tia phản xạ là góc tới i nhỏ hơn góc tới hạn. |
Hướng dẫn giải
Đáp án đúng là: a – Đúng; b – Đúng; c – Sai; d - Sai
a – Đúng:Một tia sáng truyền từ thủy tinh ra ngoài không khí thì có góc khúc xạ r lớn hơn góc tới i.
b – Đúng: Nếu tiếp tục tăng góc tới i, ta không quan sát thấy tia khúc xạ nữa mà chỉ còn thấy tia phản xạ.
c – Sai: Toàn bộ tia tới bị phản xạ tại mặt phân cách giữa hai môi trường. Hiện tượng này gọi là hiện tượng phản xạ toàn phần.
d – Sai: Điều kiện để chỉ nhìn thấy tia phản xạ là góc tới i lớn hơn hoặc bằng góc tới hạn.
Câu 12: Ánh sáng truyền trong môi trường có chiết suất n1, tới mặt phân cách với môi trường có chiết suất n2 với góc tới i ≠ 0.
|
Phát biểu |
Đúng |
Sai |
|
a. Khi n2 > n1 thì không xảy ra hiện tượng phản xạ toàn phần. |
||
|
b. Khi n2 < n1 là một trong những điều kiện để xảy ra hiện tượng phản xạ toàn phần. |
||
|
c. Khi góc tới i = góc tới hạn ith (với |
||
|
d. Khi n2 > n1 và góc tới i ≥ góc tới hạn ith (với |
Hướng dẫn giải
Đáp án đúng là: a – Đúng; b – Đúng; c – Sai; d - Sai
a – Đúng: Khi n2 > n1 thì không xảy ra hiện tượng phản xạ toàn phần.
b – Đúng: Khi n2 < n1 là một trong những điều kiện để xảy ra hiện tượng phản xạ toàn phần.
c – Sai: Khi góc tới i ≥ góc tới hạn ith (với
\(\sin_{ith}=\frac{n2}{n1}\)) thì xảy ra hiện tượng phản xạ toàn phần.
d – Sai: Khi n2 < n1 và góc tới i ≥ góc tới hạn ith (với
\(\sin_{ith}=\frac{n2}{n1}\)) thì xảy ra hiện tượng phản xạ toàn phần.
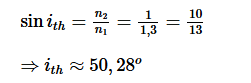
Câu 13: Một tia sáng đi từ kim cương đến mặt phân cách với thủy tinh. Biết chiết suất của kim cương là 2,419; chiết suất của thủy tinh là 1,52. Góc tới hạn của tia sáng phản xạ toàn phần khi đó là bao nhiêu?
Hướng dẫn giải
Đáp án đúng là: 38,93o
Giải thích:
Góc tới hạn phản xạ toàn phần khi ánh sáng truyền từ kim cương đến mặt phân cách với thủy tinh là:

Câu 14: Một tia sáng đi từ thủy tinh đến mặt phân cách với nước. Biết chiết suất của nước là 1,333; chiết suất của thủy tinh là 1,52. Góc tới hạn của tia sáng phản xạ toàn phần khi đó là bao nhiêu?
Hướng dẫn giải
Đáp án đúng là: 61,28o
Giải thích:
Góc tới hạn phản xạ toàn phần khi ánh sáng truyền từ thủy tinh đến mặt phân cách với nước là:

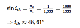
Câu 15. Tính góc tới hạn phản xạ toàn phần khi ánh sáng truyền từ nước sang không khí. Biết chiết suất của nước là 43 .
Hướng dẫn giải
Đáp án đúng là: 48,59o
Giải thích:
Chiết suất của không khí là 1.
Góc tới hạn phản xạ toàn phần khi ánh sáng truyền từ nước ra không khí.

Điều kiện xảy ra hiện tượng phản xạ toàn phần là: i ≥ ith.
Vậy góc có thể xảy ra hiện tượng phản xạ toàn phần là 48,59o.
>>>> Bài tiếp theo: Lý thuyết Khoa học tự nhiên 9 Chân trời sáng tạo bài 7