Giao diện mới của VnDoc Pro: Dễ sử dụng hơn - chỉ tập trung vào lớp bạn quan tâm. Vui lòng chọn lớp mà bạn quan tâm: Lưu và trải nghiệm
Đóng
Điểm danh hàng ngày
  • Hôm nay +3
  • Ngày 2 +3
  • Ngày 3 +3
  • Ngày 4 +3
  • Ngày 5 +3
  • Ngày 6 +3
  • Ngày 7 +5
Bạn đã điểm danh Hôm nay và nhận 3 điểm!
Nhắn tin Zalo VNDOC để nhận tư vấn mua gói Thành viên hoặc tải tài liệu Hotline hỗ trợ: 0936 120 169
Phân loại: Tài liệu Tính phí
Chuột Chít Khoa Học Tự Nhiên lớp 9

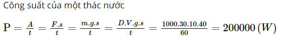
Tính công suất của một thác nước, biết rằng thác nước có độ cao 40m và cứ mỗi phút có 30m3 nước đổ xuống

Bài 5 trang 17 SGK Khoa học tự nhiên 9 Chân trời sáng tạo:

Tính công suất của một thác nước. Biết rằng thác nước có độ cao 40 m và cứ mỗi phút có 30 m3 nước đổ xuống. Khối lượng riêng của nước là 1 000 kg/m3.

2
Xác thực tài khoản!

Theo Nghị định 147/2024/ND-CP, bạn cần xác thực tài khoản trước khi sử dụng tính năng này. Chúng tôi sẽ gửi mã xác thực qua SMS hoặc Zalo tới số điện thoại mà bạn nhập dưới đây:

Số điện thoại chưa đúng định dạng!
Số điện thoại này đã được xác thực!
Bạn có thể dùng Sđt này đăng nhập tại đây!
Lỗi gửi SMS, liên hệ Admin
2 Câu trả lời
  • Bi
    Bi

    Trong 1 phút, lượng nước mà thác đổ xuống là:

    m = d/V = 1000/30 = 33,33 (kg)

    Trong một phút, thác nước thực hiện một công là:

    A = P.h = 10m.h = 10.33,33.40 = 1,33.104 (J)

    Công suất của thác nước này là:

    P = A/t = 1,33.104/60 = 2,2. 102 (W)

    0 Trả lời 23/09/24
  • Bọ Cạp
    Bọ Cạp

    0 Trả lời 23/09/24

Khoa Học Tự Nhiên

Xem thêm