Trắc nghiệm Quy đồng mẫu nhiều phân số
Trắc nghiệm Toán lớp 6: Quy đồng mẫu nhiều phân số bao gồm 2 phần trắc nghiệm và tự luận có đáp án và hướng dẫn giải chi tiết cho các em học sinh tham khảo, củng cố rèn luyện kỹ năng giải Toán Chương 3 Số học lớp 6. Mời các em học sinh tham khảo chi tiết.
Quy đồng mẫu nhiều phân số
I. Câu hỏi trắc nghiệm Quy đồng mẫu nhiều phân số Toán lớp 6
Câu 1: Mẫu số chung của các phân số
là
A. 180
B. 500
C. 750
D. 450
Đáp án
Ta có:
5 = 5.1
18 = 2.32
75 = 3.52
⇒ BCNN(5; 18; 75) = 2.32.52 = 450
Vậy ta có thể chọn một mẫu chung là 450
Chọn đáp án D
Câu 2: Qui đồng mẫu các phân số ta được các phân số
lần lượt là

Đáp án
Ta có 12 = 22.3; 16 = 24; 20 = 25.5

Vậy các phân số sau khi được quy đồng lần lượt là 
Chọn đáp án A
Câu 3: Quy đồng mẫu số hai phân số
được hai phân số lần lượt là:

Đáp án

Chọn đáp án A
Câu 4: Mẫu chung nguyên dương nhỏ nhất của các phân số
là:
A. 32.72
B. 33.73.11.19
C. 32.72.11.19
D. 33.72.11.19
Đáp án
BCNN hay mẫu số chung nguyên dương nhỏ nhất của hai mẫu đã cho là 33.72.11.19
Chọn đáp án D
II. Bài tập tự luận Quy đồng mẫu nhiều phân số Toán lớp 6
Câu 1: Quy đồng mẫu các phân số sau: 
Đáp án

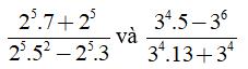
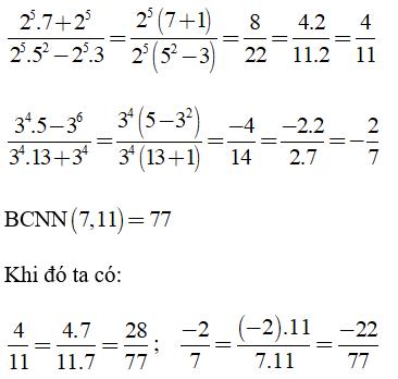
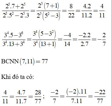
Câu 2: Rút gọn hai biểu thức rồi quy đồng

Đáp án
Ta có:

Trắc nghiệm Toán 6: Quy đồng mẫu nhiều phân số bao gồm 4 câu hỏi trắc nghiệm và 2 câu hỏi tự luận có đáp án chi tiết cho từng câu hỏi cho các em học sinh tham khảo rèn luyện kỹ năng giải Toán lớp 6 về số nguyên ôn tập chương 3 Số học Toán 6, chuẩn bị cho các bài thi bài kiểm tra trong năm học.
Ngoài các dạng bài tập Toán 6, các em học sinh tham khảo các bài giải SGK môn Toán lớp 6, Môn Ngữ văn 6, Môn Vật lý 6, môn Sinh Học 6, Lịch sử 6, Địa lý 6..... chi tiết mới nhất trên VnDoc.com.