Đề kiểm tra giữa học kì 1 môn Vật lý lớp 11 năm học 2014 - 2015 trường THPT Gia Định, TP. Hồ Chí Minh
Đề kiểm tra giữa học kì 1 môn Vật lý lớp 11
Đề kiểm tra giữa học kì 1 môn Vật lý lớp 11 năm học 2014 - 2015 trường THPT Gia Định, TP. Hồ Chí Minh là đề thi định kì giữa học kì 1 lớp 11 môn Vật lý có đáp án dành cho các bạn tự ôn tập, hệ thống lại kiến thức, nhằm đạt kết quả tốt trong bài thi giữa học kì I cũng như bài thi cuối kì sắp tới. Mời các bạn cùng tham khảo.
Đề kiểm tra giữa học kì 1 môn Vật lý lớp 11 năm học 2015 - 2016 trường THPT Thống Nhất A, Đồng Nai
THPT GIA ĐỊNH
KIỂM TRA GIỮA HỌC KỲ I. NK 2014 -2015
Môn: Vật lý. Thời gian : 45 phút
Khối 11 - Ban A
A) PHẦN CHUNG: Cho tất cả học sinh khối 11
Câu 1: (1,5 điểm)
Trong điện trường đều có ba điểm A, B, C tạo thành một tam giác đều cạnh là 8 cm. Biết đường sức của điện trường song song với cạnh AB và chiều có hướng từ A đến B, cường độ điện trường E = 15000 V/m. Tìm các hiệu điện thế UAB, UAC, UBC.
Câu 2: (1,5 điểm)
Khi một điện tích q = 2 µC di chuyển từ điểm A đến điểm B trong điện trường đều thì lực điện thực hiện được công A = 0,8 mJ. Biết điện thế tại A là 600 V, A và B nằm dọc theo chiều của một đường sức của điện trường và AB = 2 cm. Tìm điện thế tại B và độ lớn cường độ điện trường.
Câu 3: (2 điểm)

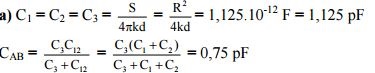
Cho một bộ tụ gồm 3 tụ giống nhau được mắc như hình vẽ. Mỗi tụ là một tụ điện không khí phẳng gồm hai bản hình tròn có bán kính 9 mm đặt cách nhau 2 mm.
Lấy k = 9.109 N.m2/C2
a. Tìm điện dung của mỗi tụ và điện dung tương đương của bộ tụ.
b. Đặt vào hai đầu bộ tụ một hiệu điện thế UAB = 9 V. Tìm điện tích và hiệu điện thế của mỗi tụ. Suy ra năng lượng của mỗi tụ.
Câu 4: (3 điểm)

Cho mạch điện có sơ đồ như hình vẽ. Trong đó nguồn điện có suất điện động E = 18 V, điện trở trong r = 0,5 Ω, mạch ngoài gồm các điện trở R1 =1,5 Ω, R2 = R3 = R4 = 6 Ω. Biết vôn kế có điện trở rất lớn, khóa K có điện trở không đáng kể. Khi đóng khóa K, tìm cường độ dòng điện qua từng điện trở và số chỉ của vôn kế.
B) PHẦN RIÊNG: Học sinh phải làm đúng phần riêng dành cho lớp mình.
Phần 1: Dành cho các lớp 11A5-11A6-11A7-10A8-11AT
Câu 5: (2 điểm)

Cho đoạn mạch điện có sơ đồ hình vẽ. Trong đó điện trở R = 5 Ω, hai tụ điện có điện dung C1 = 3 µF và C2 = 6 µF. Khi đặt
vào hai đầu mạch hiệu điện thế UAB = 16 V thì điện tích của mỗi tụ điện là 20 μC và đèn sáng bình thường. Tìm công suất
định mức và hiệu điện thế định mức của đèn Đ.
Phần 2: Dành cho các lớp 11CT-11CH-11A1-11A2-11A3-11A4
Câu 5: (2 điểm)

Cho đoạn mạch điện có sơ đồ như hình vẽ. Biết rằng R1 là bóng đèn loại (18V – 16,2 W), các điện trở R2 = 12 Ω, R3 = 30 Ω, ampe kế có điện trở không đáng kể. Đặt vào hai đầu mạch một hiệu điện thế UAB = 30 V thì đèn sáng bình thường. Tìm giá trị của điện trở R4 và số chỉ ampe kế.
Đáp án đề kiểm tra giữa học kì 1 môn Vật lý lớp 11
A) PHẦN CHUNG: Cho tất cả học sinh khối 11A
Câu 1: (1,5 điểm)
Hình vẽ tam giác ABC trong điện trường đều, có thể hiện AH và HB
UAB = E.AB = 1200 V
UAC = E. AH = E.AB/2 = 600 V
UBC = - E.HB = - E.AB/2 = - 600 V
Câu 2: (1,5 điểm)
AAB = qUAB = q(VA – VB)
![]()
![]()
Câu 3: (2 điểm)

b) Q3 = QAB = CABUAB = 6,75 pC; U3 = Q3/C3 = 6 V
U2 = U1 = UAB – U3 = 3 V
Q2 = Q1 = C1U1 = 3,375 pC
5 W1 = W2 = 1/2 C1U12 = 5,0625.10-12 J
W3 = 1/2 C3U32 = 2,025.10-11 J
Câu 4: (3 điểm)
![]()
Dòng điện qua R1: ![]()
UMB = I.R234 = 12 V
I4 = UMB/R4 = 2 A
I2 = I3 = UMB/(R3+R2) = 1 A
Số chỉ V kế: UAN = UAM + UMN = IR1 + I2R2 = 10,5 V
Nếu học sinh không vẽ mạch điện mà làm đúng chỉ cho 1,5 đ cho toàn bài. Nếu học sinh có vẽ mạch điện mà không vẽ chiều dòng điện mà làm đúng chỉ cho 2,5 đ cho toàn bài.
B) PHẦN RIÊNG: Học sinh phải làm đúng phần riêng dành cho lớp mình. Học sinh nào làm sai phần riêng cho không điểm (00)
Phần 1: Dành cho các lớp 11A5-11A6-11A7- 11A8-11AT
Câu 5: (2 điểm)
![]()
Iđ = I = UMB/R = 2 A
Uđ = UAM = UAB – UMB = 6 V
Pđ = UđIđ = 12 V
Nếu học sinh không vẽ mạch điện mà làm đúng chỉ cho 1 đ cho toàn bài. Nếu học sinh có vẽ mạch điện mà không vẽ chiều dòng điện mà làm đúng chỉ cho 1,5 đ cho toàn bài.
Phần 2: Dành cho các lớp 11CT-11CH-11A1-11A2-11A3-11A4
Câu 5: (2 điểm)
Đèn sáng bình thường: I1 = Iđ = Pđ/Uđ = 0,9 A
UAC = Uđ = 18 V
I3 = UAC/R3 = 0,6 A
UCB = UAB – UAC = 12 V
I2 = UCB/R2 = 1 A
I4 = I1 + I3 – I2 = 0,5 A
R4 = UCB/I4 = 24
I1 < I2 => I1 + Ia = I2 => Ia = I2 – I1 = 0,1 A
Nếu học sinh không vẽ mạch điện mà làm đúng chỉ cho 1 đ cho toàn bài. Nếu học sinh có vẽ mạch điện mà không vẽ chiều dòng điện mà làm đúng chỉ cho 1,5 đ cho toàn bài.