Đề thi chọn học sinh giỏi lớp 11 môn Toán cấp tỉnh năm 2018 - 2019 Sở GD&ĐT Quảng Ngãi
Đề thi chọn học sinh giỏi môn Toán lớp 11
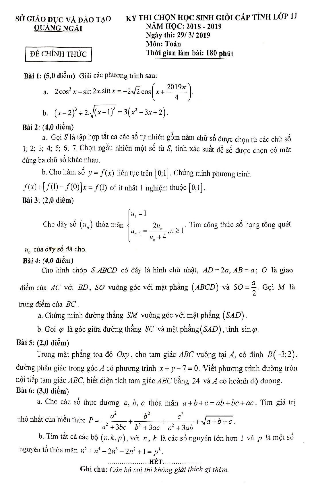
VnDoc xin giới thiệu tới bạn đọc Đề thi chọn học sinh giỏi lớp 11 môn Toán cấp tỉnh năm 2018 - 2019 Sở GD&ĐT Quảng Ngãi. Nội dung tài liệu gồm 6 câu hỏi bài tập, thời gian làm bài 180 phút. Mời các bạn tham khảo.
- Bộ đề thi học kì 1 lớp 11 môn Toán năm 2018 - 2019
- Đề thi học kì 1 lớp 11 môn Toán năm 2018 - 2019 Sở GD&ĐT Bắc Giang
- Đề thi học kì 1 lớp 11 môn Toán năm 2018 - 2019 trường THPT Nguyễn Viết Xuân - Vĩnh Phúc
- Đề thi chọn học sinh giỏi lớp 11 môn Toán cấp tỉnh năm 2018 - 2019 Sở GD&ĐT Bắc Ninh
- Đề thi chọn học sinh giỏi lớp 11 môn Toán cấp tỉnh năm 2018 - 2019 Sở GD&ĐT Nghệ An (Bảng A)
- Đề thi chọn học sinh giỏi lớp 11 môn Toán cấp tỉnh năm 2018 - 2019 Sở GD&ĐT Thanh Hóa
Trên đây VnDoc đã giới thiệu tới các bạn Đề thi chọn học sinh giỏi lớp 11 môn Toán cấp tỉnh năm 2018 - 2019 Sở GD&ĐT Quảng Ngãi. Để có kết quả cao hơn trong học tập, VnDoc mời các bạn học sinh tham khảo Giải bài tập Sinh học lớp 11, Giải bài tập Vật lý lớp 11, Giải bài tập Hóa học lớp 11, Giải bài tập Toán lớp 11, Tài liệu học tập lớp 11 mà VnDoc tổng hợp và đăng tải.
