Giao diện mới của VnDoc Pro: Dễ sử dụng hơn - chỉ tập trung vào lớp bạn quan tâm. Vui lòng chọn lớp mà bạn quan tâm: Lưu và trải nghiệm
Đóng
Điểm danh hàng ngày
  • Hôm nay +3
  • Ngày 2 +3
  • Ngày 3 +3
  • Ngày 4 +3
  • Ngày 5 +3
  • Ngày 6 +3
  • Ngày 7 +5
Bạn đã điểm danh Hôm nay và nhận 3 điểm!
Nhắn tin Zalo VNDOC để nhận tư vấn mua gói Thành viên hoặc tải tài liệu Hotline hỗ trợ: 0936 120 169

Đề thi giải toán trên Máy tính cầm tay lớp 12 THPT tỉnh Quảng Ninh năm 2012 - 2013

Lớp: Lớp 12
Loại File: ZIP
Phân loại: Tài liệu Tính phí

Nhằm giúp các bạn chuẩn bị thật tốt kiến thức để làm bài thi đạt hiệu quả cao, Vndoc.com xin giới thiệu: Đề thi giải toán trên Máy tính cầm tay lớp 12 THPT tỉnh Quảng Ninh năm 2012 - 2013.

Đề thi giải toán trên Máy tính:

SỞ GIÁO DỤC VÀ ĐÀO TẠO
QUẢNG NINH

ĐỀ THI CHÍNH THỨC

KÌ THI CẤP TỈNH GIẢI TOÁN TRÊN MÁY TÍNH CẦM TAY
LỚP 12 - NĂM HỌC: 2012 - 2013

Ngày thi: 19/12/2012

ĐỀ THI MÔN: TOÁN (THPT)

BÀI 1 (5 điểm)

Cho hàm số Đề thi giải toán trên Máy tính cầm tay lớp 12 THPT tỉnh Quảng Ninh có đồ thị (C).

1.1) Tìm tọa độcác giao điểm A, B giữa (C) và đường thẳng d: y = – x – 1.

1.2) Tính gần đúng góc (độ, phút, giây) giữa hai tiếp tuyến của (C) tại A và tại B.

BÀI 2 (5 điểm)

Cho phương trình: (3cosx – 1)(4cosx – 1)(6cosx – 1)(12cosx – 1) = 12.

2.1) Tìm các nghiệm gần đúng của phương trình đã cho.

2.2) Tính gần đúng tổng tất cả các nghiệm trong đoạn [0; 2012] của phương trình trên.

BÀI 3 (5 điểm)

Một điểm M nằm phía trong ∆ ABC biết rằng MA = 1; MB = 2; MC = 3 và góc MAB = 500; góc MBC = 400. Tính gần đúng diện tích ∆ ABC và  MCA (độ; phút; giây).

BÀI 4 (5 điểm)

Viết P(x) = 1 + x + x2 + ... + x2012 dưới dạng a0 + a1(1 – x) + a2(1 – x)2 + ... + a2012(1 – x)2012. Tính a2 và a3.

BÀI 5 (5 điểm)

Cho hình chóp tứ giác đều S.ABCD; biết khoảng cách từ A đến mp(SCD) bằng (m). Tính gần đúng góc (độ, phút, giây) giữa mặt bên và mặt đáy để thể tích khối chóp S.ABCD nhỏ nhất. Tính gần đúng thể tích đó.

BÀI 6 (5 điểm)

Tính gần đúng thể tích khối đa diện đều loại 12 mặt, biết cạnh là 1.

ĐỀ THI MÔN: TOÁN (GIÁO DỤC THƯỜNG XUYÊN)

Bài 1 (5 điểm):

Tính gần đúng giá trị cực đại và giá trị cực tiểu của hàm số y = x3 + ax2 + bx + c. biết rằng đồ thị hàm số đó đi qua 3 điểm A(-1; -13), B(1; -5) và C(2; -7).

Bài 2 (5 điểm):

Tính gần đúng nghiệm (độ, phút, giây) của phương trình: 2sin2x – 5cos2x = - 4

Bài 3 (5 điểm):

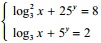
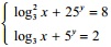
Tìm gần đúng nghiệm của hệ phương trình: Đề thi giải toán trên Máy tính cầm tay lớp 12 THPT tỉnh Quảng Ninh

Bài 4 (5 điểm):

Trong mặt phẳng với hệ tọa độ Oxy cho hai đường tròn (C1): x2 + y2 – 2x – 6y – 6 = 0 và (C2): x2 + y2 – 2x + 3y – 2 = 0. Tính gần đúng độ dài dây cung chung của hai đường tròn đó.

Bài 5 (5 điểm):

Cho hình chóp S.ABC có cạnh SA vuông góc với đáy, đáy ABC là tam giác cân tại A có trung tuyến 5cm = AD. Cạnh SB tạo với đáy (ABC) một góc 45o và tạo với mặt phẳng (SAD) một góc 15o. Tính gần đúng độ dài cạnh SB của hình chóp.

Bài 6 (5 điểm):

Tính gần đúng giá trị lớn nhất và giá trị nhỏ nhất của hàm số sau: Đề thi giải toán trên Máy tính cầm tay lớp 12 THPT tỉnh Quảng Ninh

Chọn file muốn tải về:
Đóng Chỉ thành viên VnDoc PRO/PROPLUS tải được nội dung này!
Đóng
79.000 / tháng
Đặc quyền các gói Thành viên
PRO
Phổ biến nhất
PRO+
Tải tài liệu Cao cấp 1 Lớp
30 lượt tải tài liệu
Xem nội dung bài viết
Trải nghiệm Không quảng cáo
Làm bài trắc nghiệm không giới hạn
Mua cả năm Tiết kiệm tới 48%
1

Có thể bạn quan tâm

Xác thực tài khoản!

Theo Nghị định 147/2024/ND-CP, bạn cần xác thực tài khoản trước khi sử dụng tính năng này. Chúng tôi sẽ gửi mã xác thực qua SMS hoặc Zalo tới số điện thoại mà bạn nhập dưới đây:

Số điện thoại chưa đúng định dạng!
Số điện thoại này đã được xác thực!
Bạn có thể dùng Sđt này đăng nhập tại đây!
Lỗi gửi SMS, liên hệ Admin
Sắp xếp theo
🖼️

Lớp 12

Xem thêm
🖼️

Gợi ý cho bạn

Xem thêm