Đề thi giữa học kì 2 lớp 11 môn Toán năm 2018 - 2019 trường THPT Việt Nam - Ba Lan - Hà Nội
Đề kiểm tra giữa học kì 2 Toán 11
VnDoc xin giới thiệu tới bạn đọc Đề thi giữa học kì 2 lớp 11 môn Toán năm 2018 - 2019 trường THPT Việt Nam - Ba Lan - Hà Nội. Tài liệu gồm 50 câu hỏi trắc nghiệm, thời gian làm bài 90 phút. Mời các bạn tham khảo.
- Đề kiểm tra 1 tiết lớp 11 Đại số và Giải tích chương 3 - Đề số 1
- Đề kiểm tra 1 tiết lớp 11 Đại số và Giải tích chương 3 - Đề số 2
- Đề kiểm tra 15 phút lớp 11 Đại số và Giải tích chương 3 - Đề số 1
- Đề kiểm tra 15 phút lớp 11 Đại số và Giải tích chương 3 - Đề số 2
- Đề kiểm tra 15 phút lớp 11 Đại số và Giải tích chương 3 - Đề số 3
- Đề kiểm tra 1 tiết lớp 11 Hình học chương 3 - Đề số 1
---------------------------
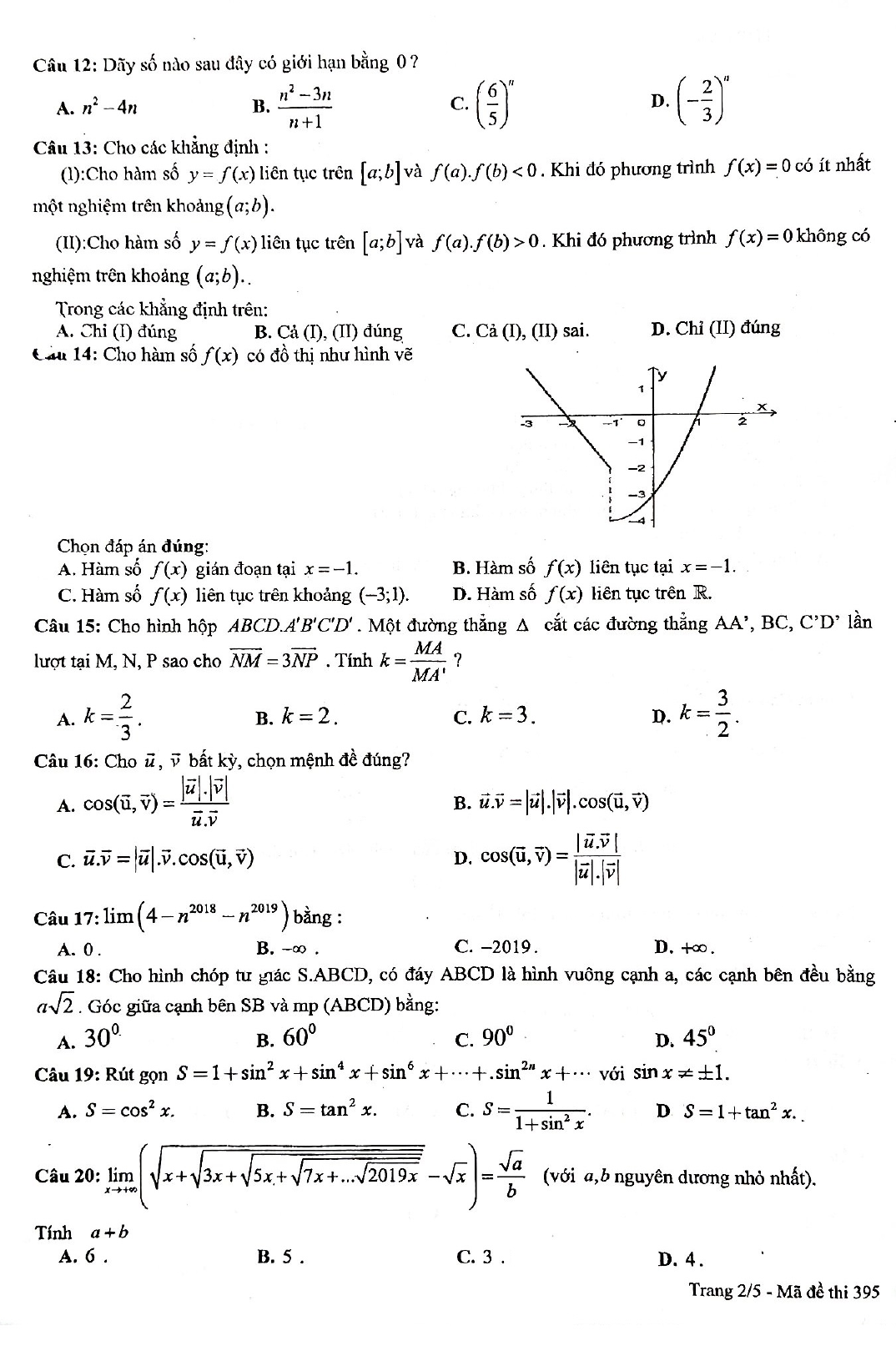
Trên đây VnDoc đã giới thiệu tới các bạn Đề thi giữa học kì 2 lớp 11 môn Toán năm 2018 - 2019 trường THPT Việt Nam - Ba Lan - Hà Nội. Để có kết quả cao hơn trong học tập, VnDoc mời các bạn học sinh tham khảo Giải bài tập Sinh học lớp 11, Giải bài tập Vật lý lớp 11, Giải bài tập Hóa học lớp 11, Giải bài tập Toán lớp 11, Tài liệu học tập lớp 11 mà VnDoc tổng hợp và đăng tải.


