Đề thi giữa học kì 2 môn Toán lớp 9 trường THCS Cao Dương, Hà Nội năm 2015 - 2016
Đề thi giữa học kì 2 môn Toán lớp 9
Đề thi học kì 2 môn Toán lớp 9 năm 2015 - 2016 trường THCS Cao Dương, Hà Nội là tài liệu tham khảo được VnDoc sưu tầm và giới thiệu tới các bạn học sinh để ôn thi học kì II môn Toán lớp 9, ôn thi cuối kì. Mời các bạn cùng tham khảo nhằm đạt kết quả cao trong bài thi của mình.
Đề thi giữa học kì 2 môn Toán đại số lớp 9 Phòng GD&ĐT Bình Giang, Hải Dương năm học 2015 - 2016
Đề thi giữa học kì 2 môn Toán hình học lớp 9 Phòng GD&ĐT Bình Giang, Hải Dương năm học 2015 - 2016
Đề thi học kì 2 môn Ngữ văn lớp 9 phòng GD&ĐT Gò Vấp, TP Hồ Chí Minh năm 2014 - 2015
| TRƯỜNG THCS CAO DƯƠNG | KIỂM TRA GIỮA HỌC KÌ II Năm học: 2015-2016 Môn: Toán 9 Thời gian: 90 phút |
Bài 1: (2 điểm) Giải phương trình và hệ phương trình sau:
a) ![]()
b) x2 4x + 3 = 0
Bài 2: (2,5 điểm)
Cho (P): y = x2 và (d): y = x+2
a) Vẽ (P) và (d) trên cùng một mặt phẳng tọa độ.
b) Tìm toạ độ giao điểm của (P) và (d) bằng phép tính.
Bài 3: (2 điểm) Một ô tô dự định đi từ A đến B với vận tốc đã định. Nếu ô tô đó tăng vận tốc thêm10km mỗi giờ thì đến B sớm hơn dự định 1 giờ 24 phút , nếu ô tô giảm vận tốc đi 5 km mỗi giờ thì đến B muộn hơn 1 giờ. Tính độ dài quãng đường AB và vận tốc dự định.
Bài 4. (3 điểm) Cho tam giác ABC có ba góc nhọn nội tiếp đường tròn (O). Các đường cao AD, BE, CF cắt nhau tại H và cắt đường tròn (O) lần lượt tại M,N,P.
Chứng minh rằng:
a) Các tứ giác AEHF, BCEF nội tiếp .
b) AE.AC = AH.AD; AD.BC = BE.AC.
c) H và M đối xứng nhau qua BC.
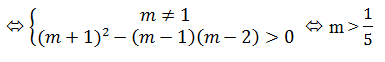
Bài 5. (0.5 điểm) Cho phương trình: (m - 1)x2 – 2(m+1)x+ m – 2 = 0 (1) (m là tham số).
Tìm giá trị của m để phương trình (1) có hai nghiệm phân biệt.
Đáp án đề thi giữa học kì 2 môn Toán lớp 9
Bài 1: (2 điểm)
a) giải đúng nghiệm (x; y) = (-1;2) và kl 1đ
b) giải đúng và kl tập nghiệm: S = {1; 3} 1đ
Bài 2: (2,5 điểm)
a) Lập bảng giá trị và vẽ (P), (d) đúng 1.5đ
b) Xác định đúng tọa độ giao điểm của (P) và (D) 1đ
Bài 3: (2 điểm)
Chọn đúng 2 ẩn số và đặt đk đúng. 0.5đ
Lập hệ phương trình đúng 0,75đ
Giải đúng hệ phương trình 0,5đ
Trả lời đúng quãng đường AB là 280km, vận tốc dđ là 40 km/h 025đ
Bài 4.

Vẽ hình đúng, viết giả thiết, kết luận 0.5đ
a) Chứng minh đúng phần a 1đ
b) CM: 0.25đ
=>.......=>AE.AC = AH.AD 0.25đ
CM: 0.25đ
=>.......=>AD.BC = BE.AC 0.25đ
c) CM: BC là đường trung trực của HM => M đối xứng với H qua BC. 0.5đ
Bài 5
Điều kiện để phương trình (1) có hai nghiệm phân biệt là:
0.25đ
0.25đ