Đề thi học sinh giỏi giải toán trên máy tính cầm tay năm học 2011 - 2012 môn Toán khối 10
SỞ GIÁO DỤC VÀ ĐÀO TẠO
|
KỲ THI CHỌN HSG GIẢI TOÁN TRÊN MÁY TÍNH CẦM TAY
|
Chú ý:
- Các giá trị phải tính ra số thập phân, lấy chính xác 5 chữ số thập phân không làm tròn.
- Thí sinh phải ghi tóm tắt cách giải hay công thức tính.
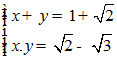
Câu 1.
Biết x, y là nghiệm của hệ phương trình: 
Tính giá trị biểu thức A = x3 + y3
Câu 2.
Tìm ba số thực a, b, c biết Parabol (P): y = ax2 + bx + c có đỉnh nằm trên trục hoành và đi qua hai điểm![]()
Câu 3.
Cho tam giác ABC, gọi M là điểm xác định bởi BM = BC - 3AB, N là điểm xác định bởi CN = m.AC -BC. Tìm giá trị m để ba điểm A, M, N thẳng hàng.
Câu 4.
Giải phương trình: ![]()
Câu 5.
Cho tam giác ABC có độ dài ba đường trung tuyến bằng 15; 18; 21. Tính diện tích của tam giác ABC.
Câu 6.
Cho đa thức f(x) = x5 + x2 + 1 có năm nghiệm x1, x2, x3, x4, x5
Kí hiệu p(x) = x2 - 81. Hãy tìm tích A = p(x1).p(x2).p(x3).p(x4).p(x5)
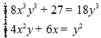
Câu 7.
Giải hệ phương trình: 
Câu 8.
Cho tam giác ABC có chu vi 58cm, góc B = 57018', góc C = 82035' . Tính cạnh BC.
Câu 9.
Tính giá trị gần đúng của biểu thức:
Câu 10.
Cho ba số thực a, b, c đều dương và thỏa mãn điều kiện a+b+c=1. Hãy tìm giá trị lớn nhất của biểu thức P = abc(a+b)(b+c)(c+a).